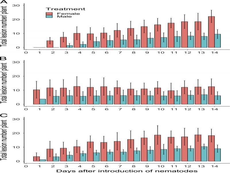
Figure 1:

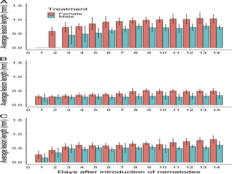
Figure 2:

Figure 3:

Figure 4:

Mean and range of nematode data on roots of pea, dill, and alfalfa inoculated with 40 females or 40 males_
| Pea | Dill | Alfalfa | ||||
|---|---|---|---|---|---|---|
| Female | Male | Female | Male | Female | Male | |
| Total nematodes/Petri dish | 25 (14-32) | 25 (15-35) | 35 (29-39) | 32 (28-36) | 30 (26-35) | 31 (26-34) |
| Average nematode/lesion | 1.1 (0.6-1.9) | 2.5** (1.6-4.2) | 2.7 (2.0-4.7) | 2.6 (1.0-4.3) | 1.5 (1.0-2.2) | 3.3** (1.7-4.6) |
| Endoparasites | 24 (14-32) | 22 (15-13) | 31 (24-36) | 27 (22-33) | 27 (24-32) | 28 (23-33) |
| Ectoparasites | – | – | 0.6 (0-1) | 1.8* (0-6) | 0.5 (0-2) | 1.1 (0-2) |
| Egressed nematodes | 0.7 (0-4) | 2.7* (0-12) | 3.8 (2-6) | 5.3 (1-12) | 3.9 (1-10) | 3.1 (1-6) |
| Survival rate (%) | – | – | 97 | 96 | 100 | 94 |