Have a personal or library account? Click to login

In vivo production of entomopathogenic nematodes using Galleria mellonella: costs and effect of diets on nematode pathogenicity Cover

In vivo production of entomopathogenic nematodes using Galleria mellonella: costs and effect of diets on nematode pathogenicity

Open Access
|Oct 2019

Figures & Tables

Figure 1:

Weight (mean ± standard deviation) of G. mellonella larvae obtained at the cocoon spinning stage by diet tested. No larvae emerged on diet DC3, and so there were no data. Weights followed by the same letter do not significantly differ at P < 0.05. BW, beeswax; Gly, standard glycerol-based artificial diet; DC1 to DC3, three varieties of adult dog croquettes.
Weight (mean ± standard deviation) of G. mellonella larvae obtained at the cocoon spinning stage by diet tested. No larvae emerged on diet DC3, and so there were no data. Weights followed by the same letter do not significantly differ at P < 0.05. BW, beeswax; Gly, standard glycerol-based artificial diet; DC1 to DC3, three varieties of adult dog croquettes.

Figure 2:

Variation curve of the number of G. mellonella larvae produced for all five diets as a function of time. BW, beeswax; Gly, standard glycerol-based artificial diet; DC1 to DC3, three varieties of adult dog croquettes.
Variation curve of the number of G. mellonella larvae produced for all five diets as a function of time. BW, beeswax; Gly, standard glycerol-based artificial diet; DC1 to DC3, three varieties of adult dog croquettes.

Figure 3:

Mortality rate (mean ± standard deviation) of G. mellonella larvae based on diet, nematode isolate, and exposure time (T1-T4): (A) T1 (1 wk); (B) T2 (2 wks); (C) T3 (3 wks); and (D) T4 (4 wks). Mortality rates followed by the same letter do not significantly differ at P < 0.05. BW, beeswax; Gly, standard glycerol-based artificial diet; DC1, adult dog croquettes.
Mortality rate (mean ± standard deviation) of G. mellonella larvae based on diet, nematode isolate, and exposure time (T1-T4): (A) T1 (1 wk); (B) T2 (2 wks); (C) T3 (3 wks); and (D) T4 (4 wks). Mortality rates followed by the same letter do not significantly differ at P < 0.05. BW, beeswax; Gly, standard glycerol-based artificial diet; DC1, adult dog croquettes.

Figure 4:

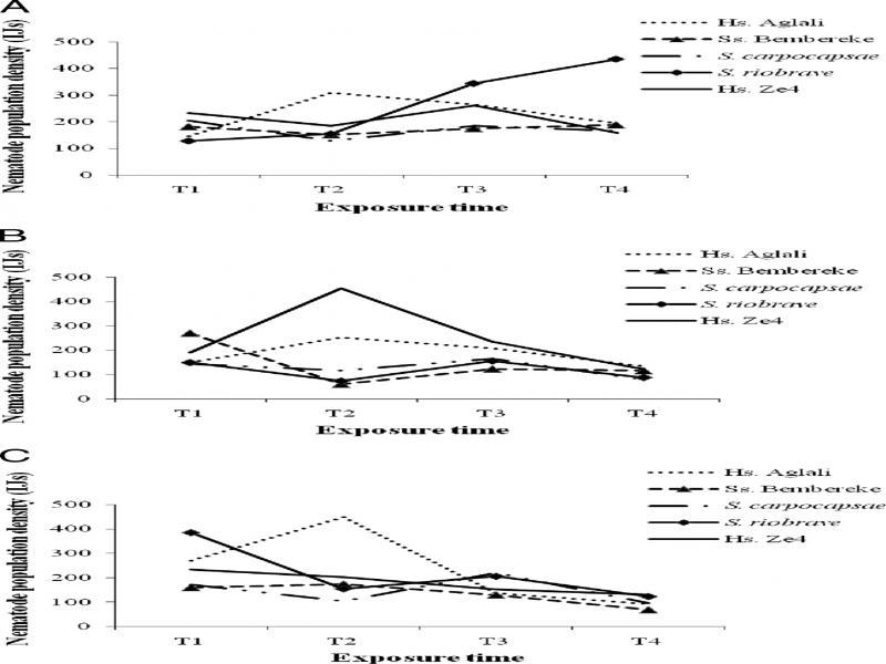
Nematode population density resulting from dissection of infected G. mellonella larvae fed on BW (beeswax), DC1 (adult dog croquettes), and Gly (standard glycerol-based artificial diet) over time (T1-T4). The nematode population densities presented are the means obtained in 50 μ l of suspension/larvae: (A) BW; (B) DC1; and (C) Gly.
Nematode population density resulting from dissection of infected G. mellonella larvae fed on BW (beeswax), DC1 (adult dog croquettes), and Gly (standard glycerol-based artificial diet) over time (T1-T4). The nematode population densities presented are the means obtained in 50 μ l of suspension/larvae: (A) BW; (B) DC1; and (C) Gly.

Figure 5:

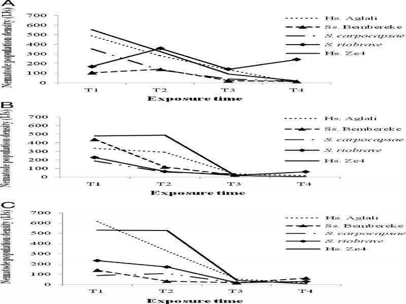
Nematode population density based on nematode isolate and exposure time (T1-T4), over 7 d after the first appearance of nematodes in White traps for the BW (beeswax), DC1 (adult dog croquettes), and Gly (standard glycerol-based artificial diet) diets. The nematode population densities presented are the means obtained in 50 μ l of suspension/larvae: (A) BW; (B) DC1; and (C) Gly.
Nematode population density based on nematode isolate and exposure time (T1-T4), over 7 d after the first appearance of nematodes in White traps for the BW (beeswax), DC1 (adult dog croquettes), and Gly (standard glycerol-based artificial diet) diets. The nematode population densities presented are the means obtained in 50 μ l of suspension/larvae: (A) BW; (B) DC1; and (C) Gly.

Figure 6:

Relationship between costs of producing diets of G. mellonella and nematode population densities.
Relationship between costs of producing diets of G. mellonella and nematode population densities.
DOI: https://doi.org/10.21307/jofnem-2019-066 | Journal eISSN: 2640-396X | Journal ISSN: 0022-300X
Language: English
Page range: 1 - 15
Submitted on: Jul 2, 2019
|
Published on: Oct 5, 2019
In partnership with: Paradigm Publishing Services
Publication frequency: 1 issue per year

© 2019 Régina Kotchofa, Hugues Baimey, published by Society of Nematologists, Inc.
This work is licensed under the Creative Commons Attribution 4.0 License.