Figure 1:

Figure 2:

Figure 3:

Figure 4:

Figure 5:

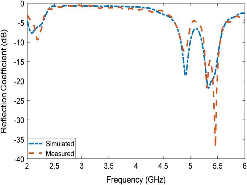
Figure 6:

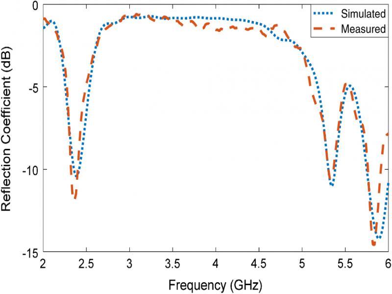
Figure 7:

Dimensions of the DBFMPA and TBFMPA_
| S. No. | Parameter | Value (in mm) (DBFMPA) | Value (in mm) (TBFMPA) |
|---|---|---|---|
| 1 | wg | 57.9 | 53.6 |
| 2 | lg | 57.9 | 52 |
| 3 | W | 28.95 | 26.8 |
| 4 | L | 28.95 | 26 |
| 5 | w1 | 9.65 | 8.93 |
| 6 | l1 | 9.65 | 8.67 |
| 7 | wf | 2.89 | 2.89 |
| 8 | lf | 14.775 | 15.29 |
| 9 | DGS1w | 3.33 | 2.977 |
| 10 | DGS1l | 3.33 | 2.88 |
| 11 | DGS2w | 10.35 | 10 |
| 12 | DGS2l | 12.87 | 13.33 |
| 13 | w2 | – | 2.977 |
| 14 | l2 | – | 2.88 |
| 15 | fi | – | 2.29 |
| 16 | hs | 1.5 | 1.5 |
| 17 | hg | 5.07 | 5.07 |
Directivity, gain, and bandwidth of the antenna without DGS and reflector plane_
| Resonant frequency (GHz) | Directivity (dBi) | Gain (dB) | Bandwidth (%) |
|---|---|---|---|
| 5.052 | 6.385 | 0.811 | 3.93 |
| 5.844 | 7.504 | 0.4159 | 2.66 |
Directivity, gain, and bandwidth of DBFMPA without DGS and reflector plane_
| Resonant frequency (GHz) | Directivity (dBi) | Gain (dB) | Bandwidth (%) |
|---|---|---|---|
| 4.905 | 6.283 | 1.281 | 3.27 |
| 5.554 | 7.167 | −0.169 | 3.34 |
Directivity, gain, and bandwidth of DBFMPA with DGS and reflector plane_
| Resonant frequency (GHz) | Directivity (dBi) | Gain (dB) | Bandwidth (%) |
|---|---|---|---|
| 4.9 | 7.343 | 2.67 | 3.52 |
| 5.3 | 7.952 | 1.48 | 6.14 |
Directivity, gain, and bandwidth of the TBFMPA with DGS and reflector plane_
| Resonant frequency (GHz) | Directivity (dBi) | Gain (dB) | Bandwidth (%) |
|---|---|---|---|
| 2.385 | 6.883 | 2.9 | 2.477 |
| 5.344 | 7.671 | 2.82 | 0.75 |
| 5.889 | 8.536 | 2.69 | 4.255 |