In recent research, it shows that there is a substantial increase in the usage of wireless local area networks (WLAN) technology almost everywhere in the world. WLAN technologies are upgraded regularly, and the more upgrade there is, the more people want to engage in these technologies. The industrial, scientific and medical (ISM) band is defined as a set of unlicensed frequencies allowed in most countries between 0.902 and 5.925 GHz. Formerly these bands had been reserved for undesirable; however, they also support a few communication users, often military. The applications in the ISM bands take account of wireless LANs (WLANs), wireless body area networks (WBANs), and short-range links for advanced traveler schemes. Wireless technology has assisted to make networking easier by allowing multiple computer customers to concurrently share resources without meddlesome wiring. Wireless LANs are very flexible within reception area, allow for communication without planning, and are robust against disasters. WLANs have the capability of maintaining connectivity from almost anywhere within the radio coverage (Mazar, 2014; “List of WLAN Channels”, 2019). WBANs play an important role in the health care system (Kaushik et al., 2019).
A microstrip antenna is a narrowband, wide-beam antenna made-up by engraving the antenna component design in metal trace fused to an insulating dielectric substrate (Balanis, 2005). Its extensive use is because of its planar nature, simplicity of manufacture, simple integration with solid state gadgets, great heat sinking, and great mechanical backing. The most serious limitations of microstrip antenna are its narrow bandwidth and poor gain (Balanis, 2005). Various techniques such as shorting post loading (Deshmukh et al., 2013; Kumar and Singh, 2011; Singh et al., 2010), gap-coupling (Kumar, 2014; Kumar and Singh, 2009; Mishra et al., 2019; Sharma, 2014), metamaterials (Yem and Lan, 2018), photonic band gap crystals (Sudha and Vedavathy, 2001), frequency selective surface (Yahya et al., 2018), defected ground structure (Ajay et al., 2019; Kumar and Masa-Campos, 2015; Kapoor et al., 2020; Kumar, 2017; Njokweni and Kumar, 2020), etc., can be used to improve the antenna performance. Multiband antennas are required to be used for different bands applications. The dual-band antenna in (Mabaso and Kumar, 2018) is designed utilizing the DGS technology. In Singh et al. (2017), a coplanar waveguide-fed leaf-shaped monopole antenna is designed for triple-band applications. The gain of the antenna can be improved by using DGS along with reflecting surface (Ngobese and Kumar, 2018; Nhlengethwa and Kumar, 2020; Olawoye and Kumar, 2020). Fractal geometry also helps to achieve multiband and improvement in antenna performance (Benyetho et al., 2017; Kubacki et al., 2018; Lincy et al., 2013; Mishra et al., 2017; Sharma and Sharma, 2018).
One of the practices to diminish capacity of patch antenna is to utilize a fractal geometry. Applying fractal geometry techniques to conventional antenna configuration increases the antenna electrical length which in turn reduces the overall size of the antenna hence optimizes the antenna shape (Cohen, 1995). Fractal antennas are generally designed with multiple copies of similar shapes, but the sizes of the shapes are different. Some unique qualities of fractal structures are self-similarity, where there is a periodic decrement or increment of the shapes. The widely used patterns are from Sierpinski, Minkowski, Hilbert, and Koch. The fractals in antennas offer advantages like optimized gain, improved VSWR, wideband performance and antenna miniaturization. The distinctive factors of fractals for example, self-similarity and space filling properties permit the realization of antennas with fascinating attributes (Cohen, 1995). Modern era of wireless technology demands wider band, low profile, low cost, and multiband antenna having huge military and commercial applications. But the microstrip patch antenna has a problem of narrow bandwidth. So, in the enormous change of the technology, the requirement of fractal antenna has increased because of its multiband operation.
In this paper, the design, simulation, and fabrication of compact DBFMPA and TBFMPA with enhanced gain are presented. The patch antenna without fractal iteration is presented in (Nhlengethwa and Kumar, 2020). The antenna with the first fractal iteration provides the dual-band behavior due to the presence of the slot in the patch. The slot in the patch also behaves as a resonating structure and the antenna structure provides the dual-band operation. The antenna with the second fractal iteration provides the triple-band operation as more slots are included in the structure. These slots also radiate and the antenna structure provides the triple-band operation. The presented design also aims to achieve high gain and cover a larger communication area with acceptable signal fidelity. The antenna utilizes the DGS and a reflector surface for enhancing the gain of the antenna. Rest of the paper is organized as follows. The second section presents the antenna geometry and design of the DBFMPA and TBFMPA. The third section presents the simulated and measured results of the DBFMPA and TBFMPA. The conclusion and future scope of the work are given in the fourth section.
The design and geometry of the DBFMPA and TBFMPA are presented in this section. A square patch is chosen in the design. The two iterations are combined to get the resultant geometry. The intention of the geometry is acknowledged by progressive iterations on a basic square patch. Fig. 1 illustrates the consecutive iterations of the Sierpinski carpet geometry (Weisstein, 2020).
Figure 1:
Iterations of the carpet geometry (Weisstein, 2020).

The expansion of remote knowledge has inspired engineers to invent new antenna designs that cover extensive variety of frequencies, and are suitable for multipurpose and WLAN applications. The patch is designed by using transmission line model. For good radiation efficiency, the width (W) is calculated as (Balanis, 2005):
The effective dielectric constant is given by (Balanis, 2005):
The extended length (
The effective length (
Rearranging the above equation, we get an expression for the resonant frequency (Balanis, 2005):
The length of the antenna is given by (Balanis, 2005):
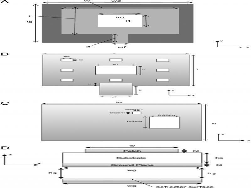
The proposed antennas are designed utilizing iterative stages. A comparable radiating patch is utilized all through the stages and the patch size is adjusted in the consecutive steps. Starting with a square and superimposing other comparative squares upon it, we at that point get the required geometry. Fig. 2 shows the structure of the DBFMPA and TBFMPA. The top view of DBFMPA (iteration-1), the top view of TBFMPA (iteration-2), ground plane with DGS, and the side view of the antennas are shown in Fig. 2A, Fig. 2B, Fig. 2C and Fig. 2D, respectively. The antenna is fed by using microstrip line feeding. The antennas use slotted ground plane. The DGS decreases the return loss of the antenna. The slots in the ground plane and the reflector surface are used to enhance the gain of the antenna.
Figure 2:
Geometrical configuration (A) Top view of DBFMPA (iteration-1), (B) Top view of TBFMPA (iteration-2), (C) Ground plane with DGS, (D) Side view.

The design procedure follows the various calculations for a microstrip patch antenna. The antenna is designed using FR4 (Flame Retardant 4) with dielectric constant of substrate
Dimensions of the DBFMPA and TBFMPA.
| S. No. | Parameter | Value (in mm) (DBFMPA) | Value (in mm) (TBFMPA) |
|---|---|---|---|
| 1 | wg | 57.9 | 53.6 |
| 2 | lg | 57.9 | 52 |
| 3 | W | 28.95 | 26.8 |
| 4 | L | 28.95 | 26 |
| 5 | w1 | 9.65 | 8.93 |
| 6 | l1 | 9.65 | 8.67 |
| 7 | wf | 2.89 | 2.89 |
| 8 | lf | 14.775 | 15.29 |
| 9 | DGS1w | 3.33 | 2.977 |
| 10 | DGS1l | 3.33 | 2.88 |
| 11 | DGS2w | 10.35 | 10 |
| 12 | DGS2l | 12.87 | 13.33 |
| 13 | w2 | – | 2.977 |
| 14 | l2 | – | 2.88 |
| 15 | fi | – | 2.29 |
| 16 | hs | 1.5 | 1.5 |
| 17 | hg | 5.07 | 5.07 |
Figure 3:
Fabricated antennas (A) Top view of DBFMPA, (B) Top view of TBFMPA, (C) Ground plane with slots, (D) Side view.

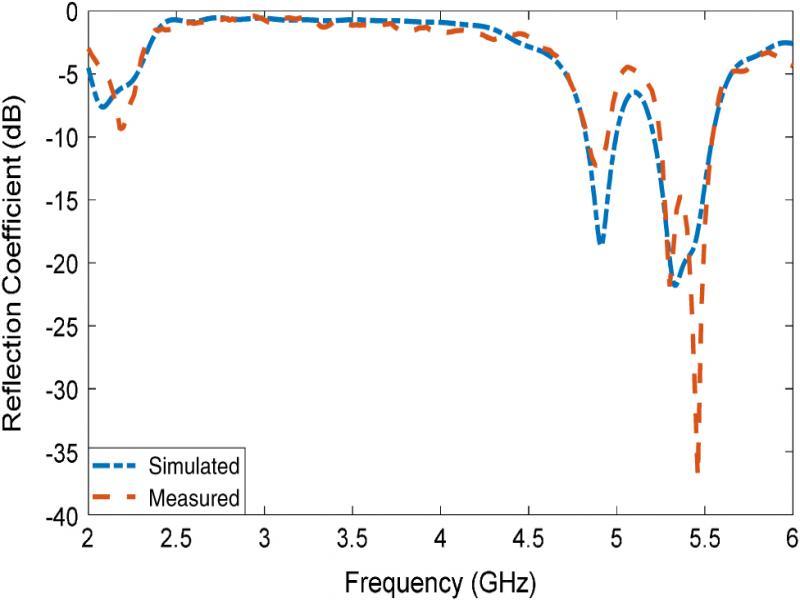
This section presents the simulated and measured results for DBFMPA and TBFMPA. The simulated and measured reflection coefficient of the DBFMPA with DGS and reflected surface is depicted in Fig. 4. It is noted from this figure that the antenna shows dual-band characteristics. The two resonances at 4.9 and 5.3 GHz with reflection coefficient less than −10 dB are produced by the antenna. The resonance at 2.4 GHz is not effective to the radiated energy as it does not cross the −10 dB. From the simulated reflection coefficient, the bandwidth of the DBFMPA is observed from 4.827 to 5 GHz for 4.9 GHz resonant frequency and from 5.21 to 5.54 GHz for 5.3 GHz resonant frequency.
Figure 4:
Reflection coefficient against frequency of the DBFMPA.

The simulated radiation patterns of the DBFMPA are presented in Fig. 5. The simulated radiation patterns at 4.9 GHz, 3-D gain pattern at 4.9 GHz, radiation patterns at 5.3 GHz, and 3-D gain pattern at 5.3 GHz are depicted in Fig. 5A, Fig. 5B, Fig. 5C and Fig. 5D, respectively. Various parameters for the DBFMPA without DGS and reflected surface are summarized in Table 2. The DBFMPA without DGS and reflected surface produces two resonances at 4.905 and 5.554 GHz. The maximum gain and maximum directivity of the dual-band microstrip patch antenna without DGS and reflected surface are 1.281 dB (at 4.905 GHz) and 7.167 dBi (at 5.554 GHz), respectively.
Directivity, gain, and bandwidth of DBFMPA without DGS and reflector plane.
| Resonant frequency (GHz) | Directivity (dBi) | Gain (dB) | Bandwidth (%) |
|---|---|---|---|
| 4.905 | 6.283 | 1.281 | 3.27 |
| 5.554 | 7.167 | −0.169 | 3.34 |
Figure 5:
Radiation patterns of DBFMPA (A) Radiation patterns at 4.9 GHz, (B) 3-D gain pattern at 4.9 GHz, (C) Radiation patterns at 5.3 GHz, (D) 3-D gain pattern at 5.3 GHz.

Various parameters of the DBFMPA with DGS and reflected surface are summarized in Table 3. The gain enhancing technique of utilizing DGS and the reflecting surface is useful, and the antenna operates at two frequencies with enhanced gain and directivity. The maximum gain is 2.67 dB (at 4.9 GHz) and the maximum directivity is 7.952 dBi (at 5.3 GHz). The antenna depicts to be operational in the frequency ranges of 4.827–5 GHz and 5.21–5.54 GHz with 4.9 and 5.3 GHz being the resonant frequencies, respectively. The resonant frequency of the measured results corresponds with the simulated results, even though there were deviations in the measured results which resulted in the 5.3 GHz frequency band to have two resonant frequencies. This could be due to resonance losses arising from faults that occurred during the fabrication process. The bandwidth of the 5.3 GHz band was achieved and not varied much. The antenna certainly operates in the 4.9 and 5.3 GHz WLAN frequency bands.
Directivity, gain, and bandwidth of DBFMPA with DGS and reflector plane.
| Resonant frequency (GHz) | Directivity (dBi) | Gain (dB) | Bandwidth (%) |
|---|---|---|---|
| 4.9 | 7.343 | 2.67 | 3.52 |
| 5.3 | 7.952 | 1.48 | 6.14 |
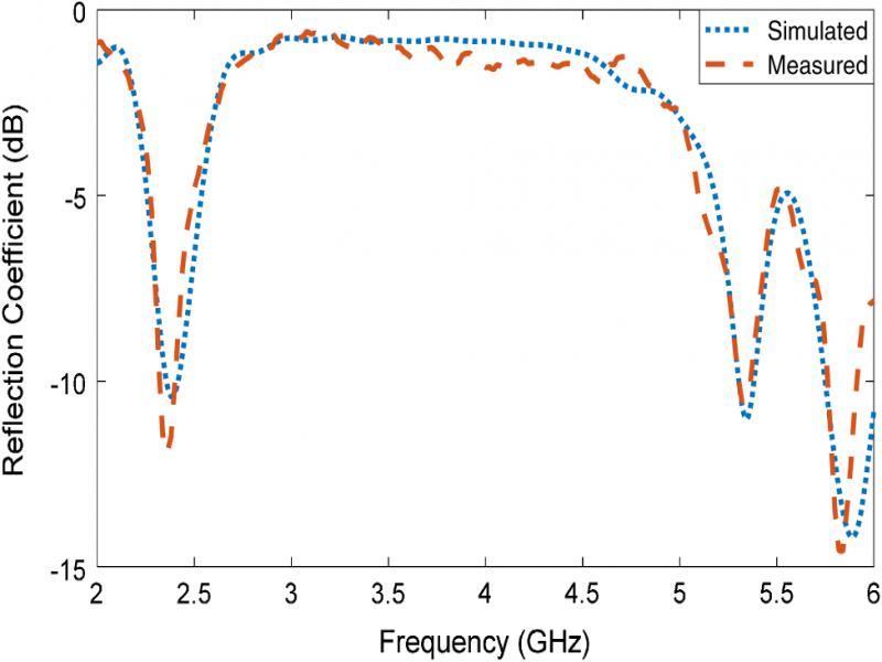
The simulated and measured reflection coefficient of the TBFMPA with the DGS and reflecting surface is depicted in Fig. 6. It is noted from this figure that the antenna shows triple-band characteristics. The three resonances at 2.38, 5.34, and 5.88 GHz with reflection coefficient less than –10 dB are produced by the antenna. From the Fig. 6, the approx. bandwidth is from 2.3567 to 2.4158 GHz for the resonant frequency 2.38 GHz, from 5.3 to 5.38 GHz for the resonant frequency 5.34 GHz and from 5.75 to 6 GHz for the resonant frequency 5.88 GHz. The measured results show good agreement with the simulated results.
Figure 6:
Reflection coefficient of the TBFMPA.

The simulated radiation patterns of the TBFMPA are presented in Fig. 7. The radiation patterns at 2.385 GHz, 3-D gain pattern at 2.385 GHz, radiation patterns at 5.344 GHz, 3-D gain pattern at 5.344 GHz, radiation patterns at 5.889 GHz, and 3-D gain pattern at 5.889 GHz are depicted in Fig. 7A, Fig. 7B, Fig. 7C, Fig. 7D, Fig. 7E and Fig. 7F, respectively. The directivity, gain, and bandwidth of the TBFMPA without DGS and reflected surface are presented in Table 4. The maximum gain and maximum directivity of the TBFMPA without DGS and reflected surface are 0.811 dB (at 5.052 GHz) and 6.385 dBi (at 5.052 GHz), respectively. Various parameters of the TBFMPA with DGS and reflected surface are summarized in Table 5. It can be observed that the DGS and reflected surface enhance the gain and directivity of the TBFMPA. The maximum gain of the TBFMPA with DGS and reflecting surface is 2.9 dB (at 2.385 GHz) and the maximum directivity of the TBFMPA with DGS and reflecting surface is 8.536 dBi (at 5.889 GHz). From the antenna parameters, it can be observed that the antenna is suitable for triple-band industrial, scientific, and medical wireless applications.
Directivity, gain, and bandwidth of the antenna without DGS and reflector plane.
| Resonant frequency (GHz) | Directivity (dBi) | Gain (dB) | Bandwidth (%) |
|---|---|---|---|
| 5.052 | 6.385 | 0.811 | 3.93 |
| 5.844 | 7.504 | 0.4159 | 2.66 |
Directivity, gain, and bandwidth of the TBFMPA with DGS and reflector plane.
| Resonant frequency (GHz) | Directivity (dBi) | Gain (dB) | Bandwidth (%) |
|---|---|---|---|
| 2.385 | 6.883 | 2.9 | 2.477 |
| 5.344 | 7.671 | 2.82 | 0.75 |
| 5.889 | 8.536 | 2.69 | 4.255 |
Figure 7:
Radiation patterns of the TBFMPA, (A) Radiation patterns at 2.385 GHz, (B) 3-D gain pattern at 2.385 GHz, (C) Radiation patterns at 5.344 GHz, (D) 3-D gain pattern at 5.344 GHz, (E) Radiation patterns at 5.889 GHz, (F) 3-D gain pattern at 5.889 GHz.

The dual-band and triple-band microstrip antennas have been designed and developed. It can be confirmed that the fractal technique employed in antenna does achieve multiple frequencies and minimizes the total area of the patch. Various input and output parameters of DBFMPA and TBFMPA reflect that the dual-band and triple-band antennas are suitable for the ISM and WLAN applications. The overall size of the antenna can be utilized for integrating with other components in WLAN communication. The DGS and reflecting surface enhances the gain of the antennas. Multiband antennas lack the flexibility to reconfigure the frequency bands to accommodate new services, they can however be used in different wireless applications, and therefore, the design may be extended to frequency reconfigurable multiband antenna. Different patch configurations can be used to design a fractal microstrip antenna for WLAN applications.