Figure 1:

Figure 2:

Figure 3:

Figure 4:

Figure 5:

Figure 6:

Figure 7:

Figure 8:

Figure 9:

Figure 10:

Figure 11:

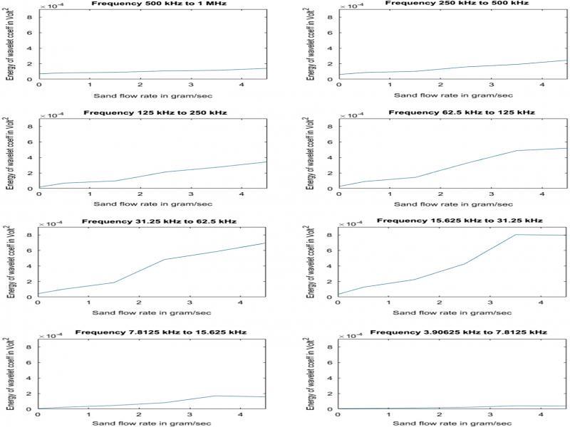
Frequency intervals of wavelet transform_
| Interval 1 | 500 kHz–1 MHz | Interval 4 | 62.5–125 kHz | Interval 7 | 7.8125–15.625 kHz |
| Interval 2 | 250–500 kHz | Interval 5 | 31.25–62.5 kHz | Interval 8 | 3.90625–7.8125 kHz |
| Interval 3 | 125–250 kHz | Interval 6 | 15.625–31.25 kHz | Interval 9 | 1.953125–3.90625 kHz |