The stability of uncertain dynamic systems has major importance when real-world system models are to be controlled and different faults occur in a system. Uncertainties due to inherent modeling/identification inaccuracies in any physical plant model specify a certain uncertainty domain, such as a set of linearized models obtained in different working points of the considered plant (Himanshukumar and Vipul, 2018a). Thus, the basic required property of a system is its stability within the whole uncertainty domain to be denoted as robust stability. The robust control theory provides analysis and synthesis approaches and tools applicable for various kinds of processes, including multi-input multi-output (MIMO) dynamic systems (Himanshukumar and Vipul, 2018b). To reduce the multivariable control problem complexity, MIMO systems are often considered as interconnections of a finite number of subsystems. This approach enables employing a decentralized control structure with subsystems having their local control loops. Compared with centralized MIMO controller systems, the decentralized control structure yields certain performance deterioration, which is however outweighed by important benefits, such as design simplicity, hardware, operation, and reliability improvement. Robustness is one of the attractive qualities of decentralized control schemes, since such a control structure can be inherently resistant to a wide range of uncertainties in subsystems, actuator/sensor faults, system component faults, and interconnections.
Quadruple tank level process (QTLP) is broadly utilized as a part of a chemical and petroleum process. The framework is extremely unpredictable to control because of its nonlinearity and the higher connection between inputs/outputs. The levels of fluid in the two lower tanks should be controlled and managed to achieve a specific reference level.
In this paper, we concentrate on the key aspects of decentralized fault-tolerant control design using a conventional PI plus type-1 fuzzy logic controller. The main aim of the considered decentralized control design strategy is to keep the overall system robust stability and to achieve the required performance specifications. We study the basic steps of decentralized control design on a quadruple tank process case study with two inputs and two outputs (Johansson et al., 1999; Johansson, 2000), since it includes both minimum and non-minimum phase configurations and an attractive physical interpretation. The process model is built on the Matlab 2015a platform. We begin with control structure selection, i.e., choice of appropriate input–output pairing for decentralized control. The further step is independent single loops design so that it guarantees stability as well as the required performance of the overall system, including interactions. Two alternatives of stability condition for decentralized control structure are used: one based on the small gain theorem for complementary sensitivity function and one for systems with no RHP (right half plane) zeros. To evaluate the achievable performance under decentralized control, the performance relative gain array (PRGA) (Hovd and Skogestad, 1992) is used. The application of these design tools is shown in a case study. The present paper provides a simple illustration of the stability and performance issues in decentralized control design and can be used in teaching complex systems control.
The main attributes of the considered decentralized control design strategy are to keep the overall system robust stability and to achieve required performance specifications in spite of all three possible faults occurring in the QTLP.
The advantages of the proposed decentralized FTC are as follows:
-
the proposed FTC is robust and stable for both the cases minimum phase and non-minimum phase configuration;
-
decomposition includes reduced modeling requirements and ease of implementation;
-
fuzzy logic controller (FLC) designed to take care of fault-tolerance capability;
-
fault-tolerance capability for three faults in QTLP; and
-
disturbances rejection capability is high.
The minor disadvantages of the proposed decentralized FTC are as follows:
-
due to decentralized FTC control, the main QTLP system is divided, and hence two separate controllers are designed; and
-
the controller structure is complex and restricted.
Examining stability can be done by numerous analyses for both minimum and non-minimum phases for QTLP. In the studies of Dai and Strm (1999), Johansson et al. (1999), Johansson (2000), Rosinov and Markech (2008), Suja and Thyagarajan (2008), Kayacan and Kaynak (2009), Rosinov and Kozkov (2009), Suja et al. (2009), Saeed et al. (2010), Alvarado et al. (2011), Mirakhorli and Farrokhi (2011), Sombra et al. (2012), Kirubakaran et al. (2014), Himanshukumar and Vipul (2019a), passive fault-tolerant controller was designed using an artificial intelligence technique (i.e. fuzzy logic, neural network) with conventional PID controller for single or multi-tank level systems subject to various faults. The contrasts between minimum and non-minimum phases conduct for the quadruple tank system (QTS) have been considered and controlled by the decentralized PI controller by Suja and Thyagarajan (2008) and Sombra et al. (2012). Advanced control theory and techniques, for example, predictive control, genetic algorithm, sliding mode, and neuro-fuzzy controllers can be designed to control QTS with more exact outcomes than traditional control strategies. In the studies of Kayacan and Kaynak (2009) and Saeed et al. (2010), a multivariable predictive PID controller was executed on a four-tank system to modify the transmission zero to work in minimum and non-minimum phases. Kayacan and Kaynak (2009) proposed a gray prediction-based fuzzy PID controller, while Teng et al. (2003) presented a basic genetic algorithm (GA) technique for online auto tuning proportional integral derivative (PID) parameters to control the fluid level in QTS. In recent times, the advanced control approach has been deployed on quadruple tank level systems like model productive control, observer-based Back-stepping and type-1 and type-2 fuzzy logic-based controller; refer to the studies of Gouta et al. (2015a, 2015b) and Deepa et al. (2017).
In the studies of Mahfouf et al. (2001) and Mirakhorli and Farrokhi (2011), in view of the Takagi-Sugeno-Kang (TSK) piecewise direct fuzzy modeling approach, a long-range predictive control calculation for nonlinear QTS forms working over a wide range is proposed. Both the decentralized predictive and proportional integral (PI) controllers are planned by Kirubakaran et al. (2014) for the QTS framework. A decoupling-based agreeable conveyed multi-parametric model predictive controller (MPC) is proposed. The controllers are subjected to reference tracking and disturbance dismissal, and the execution measures are looked at. In the HD-MPC research, eight diverse MPC controllers were connected to the four-tank process plant. These controllers depended on various models and suppositions and gave a wide perspective of the diverse distributed MPC plans (Alvarado et al., 2011; Mirakhorli and Farrokhi, 2011). Bristol (1966) displayed an adequacy controller planned in view of a mix of state feedback and a sliding mode controller for a four-tank system utilizing fuzzy logic for the non-minimum phase mode. The sliding mode control (SMC) strategy is utilized to accomplish a quick transient reaction, while the state feedback controller (SFC) can give zero stationary state errors.
In addition, an advanced fault-tolerant control strategy designed for multivariate MIMO-level control process systems is presented in the study of Himanshukumar and Vipul (2018c). However, nonlinear dynamics is very crucial for controlling a variable, but some significant results have been presented in the studies of Himanshukumar and Vipul (2018b, 2018d, 2018e); in this literature, a conical shaped tank is considered with different types of faults. In the studies of Himanshukumar and Vipul (2018c, 2018d, 2018e, 2018f), the authors proposed a unique solution for modeling of a nonlinear system and control. A Takagi-Sugeno-based fuzzy logic controller is applied to interacting level control (MIMO) process, which is highly nonlinear in nature. Also, three types of faults were considered: system component (leak), actuator, and sensor faults.
The novelty of this paper is using the data of the linear quadruple liquid-level tanks to create a type-1 fuzzy logic control (FLC) for a quadruple tank system subject to three faults in the system. In addition, a fault-tolerant controller (fuzzy plus PI controller) has been designed as a linear controller and examined for different conditions for both minimum phases under actuator/sensor and system component faults. The proposed controllers improve the performance of a multivariable nonlinear liquid-level system.
This paper is constructed as follows: the second section presents the specification of quadruple tank process, nonlinear, and linear models. The third section presents the decentralized relative gain array and the decentralized fault-tolerant PI plus type-1 fuzzy controller framework. The results and simulation are displayed in the fourth section. Finally, the fifth section presents the conclusion.
This is a new laboratory process, which was designed to illustrate performance limitations due to zero location in multivariable control systems. The process is called the quadruple tank process (Johansson, 2000) and consists of four interconnected water tanks and two pumps. The system is shown in Figure 1. Its manipulated variables are voltages to the pumps and the controlled variables are the water levels in the two lower tanks. The quadruple tank process can easily be built by using two double-tank processes. The output of each pump is split into two using a three-way valve. Thus, each pump output goes to two tanks, one lower and another upper, diagonally opposite, and the ratio of the split up is controlled by the position of the valve. With change in the position of the two valves, the system can be appropriately placed either (Johansson, 2000) in the minimum phase or in the non-minimum phase. The physical parameters of the process given by Johansson (2000) are shown in Table 1. The material balance for the quadruple tank process is given by Equations (1) to (4). Note that λ1 and λ2 are the ratios in which the outputs of the two pumps get divided. The sampling time of the process is assumed as 1 sec.

Quadruple tank level process (QTLP) scheme with fault.
Parameters of the quadruple tank level process.
| Sr. no. | Description | Value |
|---|---|---|
| 1 | Area of the tanks A1, A3, A2, and A4 | 32 cm2 |
| 2 | Area of outlet pipes a1 and a3 | 0.071 cm2 |
| 3 | Area of outlet pipes a2 and a4 | 0.057 cm2 |
| 4 | Constant k | 0.50 V/cm |
| 5 | Gravitational constant g | 981 cm/s2 |
The quadruple tank level process (QTLP) is used to illustrate many concepts in MIMO systems. The quadruple tank laboratory equipment consists of four interacting tanks (1, 2, 3, and 4), two-way valves, two pumps, and a reservoir as shown in Figure 1. Tanks 1 and 2 are in the lower, while tanks 3 and 4 in the upper. The flow is delivering to tanks 1 and 3 from a reservoir by pump 1, while pump 2 sucks the flow and delivers it to the other tanks. The two-way valves after each pumping are used to divide the flow to lower and upper tanks by a factor λi and (1 − λi) which is fixed during the experiment. The input voltages U1 and U2 to the pumps are varied during the experiment according to the required controlled outputs (the liquid levels in the lower tanks 1 and 2). A reservoir is used to accumulate the outgoing water from tanks 1 and 2 and is present in the bottom.
The operation of QTLP can be in two phases: minimum phase and non-minimum phase. The system starts operating in non-minimum phase when the fraction of liquid entering the lower tanks is less than that of upper tanks. Otherwise, the system starts operating in the minimum phase when the fraction of liquid entering the upper tanks is less than that of lower tanks. The minimum phase and non-minimum phase can be achieved as:
The nonlinear model of QTLP is based on the mass balances for each tank and the differential equations are formulated as:
where α1 and α2 are the coefficients of actuator faults for CV1 and CV2, respectively. The value of coefficient α1, α2∈[0, 100%]. f1 and f2 are a leak flow rate from the bottom of tanks 1 and 2. The leak flow rate varies from 0 to 50.3691 cm3/min. The third fault introduced into QTLP is a sensor fault, which interprets the sensor bias fault because of sensor calibration or measurement noise. Due to sensor fault, erroneous measurement of tank height h1 and h2 is propagated to the controller and hence a wrong control action is taken from the controller (Himanshukumar and Vipul, 2018g). The sensor fault introduced into the QTLP via software and the value is between 0 and 40% for both sensors 1 and 2. The fault is introduced into the system QTLP via the MATLAB R2015a software package.
The linearized state-space model about operating point is shown in Table 1 represented by the following equation:
For quadruple tank system (12), we consider the uncertainty to be a change of valve position, i.e. change of λ1 and λ2. The uncertainty domain is specified by three working points (Fig. 2):
-
1.
in the minimum phase region: WP1: λ1 = 0.4, λ2 = 0.8; WP2:λ1 = 0.7, λ2 = 0.6; WP3: λ1 = 0.8, λ2 = 0.8; and
-
2.
in the non-minimum phase region: WP1: λ1 = 0.1, λ2 = 0.3; WP2: λ1 = 0.43, λ2 = 0.34; WP3: λ1 = 0.1, λ2=0.1.

Uncertainty domain specified by working points.
Open-loop response of minimum and non-minimum phases for WP2 region is found and the proposed approaches are implemented for the minimum phase and non-minimum phase region of WP2 for three faults into QTLP (Table 2).
Operating parameters of minimum phase and non-minimum phase system.
| Parameters | Operating point minimum phase | Operating point non-minimum phase |
|---|---|---|
|
| 12.76, 13.1 | 12.3, 12.7 |
|
| 2.1, 1.8 | 5.1, 5.7 |
|
| 3.33, 3.36 | 3.14, 3.31 |
| k1, k2 | 3.33, 3.38 | 3.14, 3.33 |
| λ1, λ2 | 0.7, 0.6 | 0.43, 0.34 |
The nominal model Gmp(s) and Gnmp(s), obtained as a model of mean parameter values, is used for control design (Figs. 3 and 4):

Open-loop response of quadruple system with non-minimum phase configuration.

Open-loop response of quadruple system with minimum phase configuration.
The control design of the MIMO system (plant) comprises several steps and tasks (Skogestad and Postlethwaite, 2009):
-
1.
study the plant and formulate the control objective;
-
2.
find a plant model, simplify it if necessary;
-
3.
analyze the model properties, scale the variables;
-
4.
decide which variables are to be controlled and which variables are to be the manipulated ones;
-
5.
select the control configuration: for the decentralized control structure, it means to choose the input–output pairing;
-
6.
specify the performance requirements respective to the control objective;
-
7.
determine the type of controller and design its parameters;
-
8.
examine the resulting control system, if the specified requirements are not met, redesign;
-
9.
analyze the simulation results, and if necessary, repeat the whole procedure; and
-
10.
realize the designed controller.
We assume that we have the MIMO system model linearized around the working point and we concentrate on points 5, 7, and 8, which are crucial for a successful control design.
The important task in MIMO systems is to decide on control configuration, i.e. the decomposition of the controller. One possible choice of appropriate control configuration, which substantially simplifies both control design and implementation issues, is decentralized control.
Decentralized control is an entrenched way to compact the multi-input–multi-output MIMO plants with control. To outline a decentralized controller, matching between input and output must be dictated by RGA. The method exchanges of open-loop and closed-loop control structures are assessed for all conceivable input/output pairings. The array will be a matrix with one row for each output variable and one column for each input variable in the MIMO framework. A few principles for blending determination can be expressed: the variable pairings comparing to positive relative gains as near unity as conceivable ought to be favored. Negative relative gain much longer than unity ought to be evaded. The simplest case of control circuit of two input two output (TITO) system is shown in Figure 5.

Schema of simplest decentralized control of TITO system (Schmidt, 2002).
Consider a MIMO plant described by the linear model:
Our aim is to design an appropriate decentralized control, so that the overall system stability is kept (including possible uncertainties) and the required performance is achieved.
We focus on two most important steps in decentralized control design as follows:
-
1.
the determining of appropriate input–output pairing; and
-
2.
the respective single control loops design so that the overall requirements are kept.
After completing step 1, the inputs or outputs can be reordered so that the respective transfer system matrix G with reordered columns or rows has the paired elements on the main diagonal. Then, the decentralized controller can be represented by the diagonal matrix C(s) = diag(Ci). To find C(s), the so-called independent design is considered, where individual loops are designed independently (simultaneously). Local controllers Ci(s) are designed so that they:
-
1.
stabilize individual loops;
-
2.
satisfy the overall system stability condition; and
-
3.
satisfy the bounds obtained from performance requirements.
Note that conditions 2 and 3 are often contradictory. In the following, sensitivity is denoted as S(s) = (I + G(s)C(s))1 and closed-loop transfer function (complementary sensitivity) is denoted as T(s) = G(s)C(s)(I + G(s)C(s))1.
To choose appropriate pairing, several interaction measures have been proposed in the literature (RGA, dRGA, PRGA, etc.); more details can be found, e.g., in the study of Schmidt (2002). Relative gain array (RGA), frequently used in practice, is defined as follows:
Individual subsystems are then specified by the chosen pairing, and their transfer functions are placed in the diagonal of the transfer function matrix. The structural stabilizability for the chosen pairing can be checked by the Niederlinski index:
If N I < 0, the system cannot be stabilized using the chosen pairing and the pairing must be modified. It must be noted that RGA index provides limited information, e.g., for the system with one-way interconnections (when the transfer function matrix is upper or lower triangular).
The RGA concept is employed to QTLP to determine the input–output pairing for both minimum phase and non-minimum phase:
For the minimum phase system, λ11 is obtained as 1.4, so the pairing is determined as y1 − u1 and y2 − u2. But for the non-minimum phase system, λ11 is obtained as 0.64, so the suitable pairing is found as y1 − u2 and y2 − u1.
After the appropriate pairing has been determined, the decentralized control law is to be designed. There are various approaches to find the respective diagonal controller matrix C(s). We adopt independent design as a simple possibility to design single loops so that the overall stability and performance requirements are kept, i.e. that interactions do not introduce instability and do not significantly deteriorate performance. Let us turn to stability condition for a system with decentralized control. Matrix G(s) can be split into its diagonal and off-diagonal parts: G(s) = GD(s) + GM (s).
The uncertainties can be included into GM (s). For stable open-loop system G(s)C(s), the closed-loop system stability condition based on small gain theorem is given in the next Lemma (Vesel and Harsnyi, 2008): (Vesel and Harsnyi, 2008) Consider stable system G(s) with a decentralized controller C(s). The respective closed-loop system T (s) is stable if:(23)(24)
Inequality (24) can be reformulated into:
Condition (25) can be used for stable system without or with RHP zeros (both for minimum and non-minimum phases case). However, the above condition can be rather limiting in low frequencies, where ||TD
||≈1; for a stable system with no RHP zeros, this may be too restrictive. The alternative condition for this case is in Lemma 2 (Skogestad and Postlethwaite, 2009): (Skogestad and Postlethwaite, 2009) Consider a stable system G(s) with a decentralized controller C(s). Assuming that neither G nor GD has RHP zeros, the overall closed-loop system is stable if and only if (I − ESD)−1 is stable, where:
The above condition can be reformulated as follows: (I + ESD)−1 stable means det(I + ESD)−1 ≠ 0. The sufficient stability condition is then ||ESD|| < 1 or
Either of alternatives (25) or (26) must be satisfied for all frequencies.
The performance relative gain array (PRGA) has been introduced (Hovd and Skogestad, 1992) and shown to provide information for appropriate pairing, but also performance limits for system with decentralized control. PRGA is defined as:
There is a close relationship between PRGA and closed-loop system performance specified by bounds on control error (offset) and disturbance presented as follows:
For frequencies where a feedback is effective (w ¡ wB, wB denotes bandwidth), it is assumed that S = (I + GC)1 ≈ (GC)1 yield the following bounds for individual loop:
Inequalities (30) and (31) determine performance limits lower bounds on single-loop modules to achieve the required control error and disturbance attenuation, and the former is discussed in the control design stage.
Fuzzy logic control is derived from the fuzzy set theory introduced by Zadeh (1965). In the fuzzy set theory, the transition between membership and non-membership can be gradual. Therefore, boundaries of fuzzy sets can be vague and ambiguous, making it useful for an approximate system. Combining multi-valued logic, probability theory, and knowledge base, FLC is a digital methodology that simulates human thinking by incorporating the imprecision inherent in all physical systems. Fuzzy logic controller is an attractive choice when precise mathematical formulations are not possible (Buckley and Ying, 1989; Driankov et al., 1993). The decentralized fault-tolerant fuzzy plus PI control structure includes two fuzzy MISO controllers and two PI controllers. In the proposed control method for the quadruple tank process, two fuzzy logic controllers are used separately for controlling the level outputs. The structure of the proposed decentralized fault-tolerant fuzzy plus PI controller is shown in Figure 6.

Decentralized control structure for minimum phase system with two fuzzy and two PI controllers. fsys, fa, and fs denotes system component (leak), actuator, and sensor faults, respectively.
Fuzzy logic uses linguistic variables instead of numerical variables. The process of converting a numerical variable into a linguistic variable is called fuzzification. In the present work, the error and change in error of level outputs (h1 and h2) are taken as inputs and the pump voltages (υ1, υ2) are the controller outputs. The error and change in error is converted into seven linguistic values, namely, NB, NM, NS, ZR, PS, PM, and PB. Similarly, controller output is converted into seven linguistic values, namely, NB, NM, NS, ZR, PS, PM, and PB. Triangular membership function is selected and the elements of each of the term sets are mapped on to the domain of the corresponding linguistic variables.
Basically, the decision logic stage is similar to a rule base consisting of fuzzy control rules to decide how FLC works. This stage is constructed by expert knowledge and experiences. The rules are generated heuristically from the response of the conventional controller: 49 rules are derived for each fuzzy controller from careful analysis of the trend obtained from the simulation of conventional controller and known process knowledge. The rules are enumerated in Tables 3 and 4 for type-1 FLC 1 and 2. The decision stage processes the input data and computes the controller outputs:
Rule base for type-1 FLC 1 loop 1.
| f1, e1 and ė1 | NB | NM | NS | ZR | PS | PM | PB |
|---|---|---|---|---|---|---|---|
| NB | NB | NB | NB | NM | NS | NS | ZR |
| NM | NB | NB | NM | NS | NS | ZR | PM |
| NS | NB | NM | NS | ZR | PS | PM | PB |
| ZR | NM | NM | NS | ZR | PS | PM | PB |
| PS | NM | NS | ZR | PS | PS | PM | PB |
| PM | NS | ZR | PS | PS | PM | PB | PB |
| PB | ZR | PS | PS | PM | PB | PB | PB |
Rule base for type-1 FLC 2 loop 2.
| f2, e2 and ė2 | NB | NM | NS | ZR | PS | PM | PB |
|---|---|---|---|---|---|---|---|
| NB | NB | NB | NB | NM | NS | NS | ZR |
| NM | NB | NB | NM | NS | NS | ZR | PM |
| NS | NB | NM | NS | ZR | PS | PM | PB |
| ZR | NM | NM | NS | ZR | PS | PM | PB |
| PS | NM | NS | ZR | PS | PM | PB | PB |
| PM | NS | ZR | PS | PM | PM | PB | PB |
| PB | ZR | PS | PM | PB | PB | PB | PB |
The output of the rule base is converted into a crisp value—this is done by a defuzzification module. The centroid method of defuzzification is considered for this application. The parameters of FLC designed are presented in Table 5.
Parameters for FLC.
| Parameter | Parameter value |
|---|---|
| No. of input variables | 2 |
| No. of output variables | 1 |
| No. of linguistic variables per MF | 7 |
| No. of rules | 49 |
| Membership function (MF) | Triangular |
| Defuzzification methods | Center of gravity method |
The decentralized controller structure is shown in Figure 6 and the decentralized control law (Johansson, 2000) u = diag{GC1 , GC2} (υ−h). The QTLP is considered as minimum phase process (the process does not have RHP zeros or time delays).
PI controllers have the form (Bequette, 2004):
The direct synthesis controller for a first-order process gives:
The characteristics of the designed decentralized fault-tolerant fuzzy plus PI control system are shown in Figures 7 to 12 for minimum phase configuration of QTLP. Figure 7 shows that stability condition (27) is not satisfied; in this case, the black line is for low frequencies above the red one; however, the overall stability is guaranteed by (for this case) the less restrictive condition (28 and 29), which is satisfied since the blue line is below the red one for all frequencies.

Stability analysis for minimum phase configuration.

Step responses: minimum phase stable system subject to process disturbances.

Step responses: minimum phase stable system subject to system component (leak) fault.

Step responses: minimum phase stable system subject to actuator fault.

Step responses: minimum phase stable system subject to sensor fault.

Error comparison for minimum phase configuration.

Step responses: non-minimum phase, unstable system.
Performance bounds: upper bounds on weights obtained from (30) are depicted in Figure 8.
The simulation results of proposed controller compared with those of controllers in four different cases. The PI controller parameters designed for individual loops are: P1 = 1.30, I1 = 0.053; P2 = 1.38, I2 = 0.049. The characteristics of the designed decentralized control system are shown in Figures 7 to 11. Figure 7A shows that stability condition (25) is not satisfied; in this case, the blue line is for low frequencies above the red one, however, the overall stability is guaranteed by (for this case) the less restrictive condition (26), which is satisfied since green line is below the red one for all frequencies:
-
Case i: QTLP with process disturbances.
-
Case ii: QTLP with system component (leak) fault.
-
Case iii: QTLP with actuator fault.
-
Case iv: QTLP with sensor fault.
The proposed controller is tested on a QTLP nonlinear system subject to three different faults (i.e. actuator, sensor, and system component fault) with minimum phase configuration. All three faults are given to QTLP one after the other at the same time, t = 600 sec. The simulation results of the proposed decentralized controller compared with decentralized fuzzy control are proposed in the study of Suja and Thyagarajan (2008), which is depicted in Figures 9 to 12. The simulation results clearly show that the proposed controller gives guaranteed stability with superior steady-state and transient response as compared to decentralize fuzzy control. The proposed controller is capable enough to accommodate all three possible faults into QTLP efficiently. A comparison of the integral error indices for non-minimum phase configuration is depicted in Figure 13.
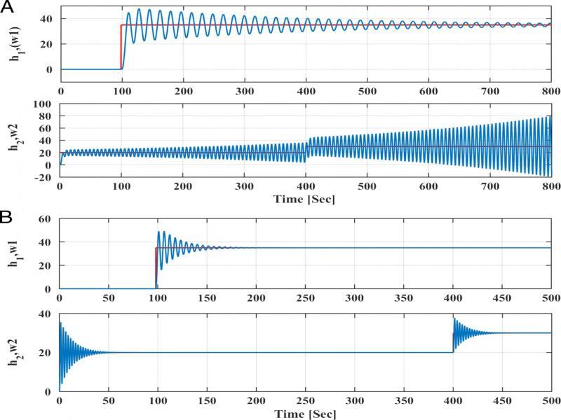
This configuration is characterized by the existence of transient RHP zeros (while individual transfer functions have no RHP zeros), which complicates the decentralized controller design. We illustrate the impact of interactions on two different designs of control loops.
In the first case, taking the same decentralized controller as in minimum phase case, the overall stability condition is not satisfied, though the individual loops indicate stable performance. Step responses in Figure 13 show significant differences between individual loops (both are stable and damped) and the overall system, which is unstable.
The next (detuned) case: P1 = 0.208, I1 = 0.0039; P2 = 0.238, I2 = 0.0030 show that as soon as condition (25) is satisfied (Fig. 14A: blue line below the red one), the overall system responses are similar to single-loop ones Figures 16 to 19; performance indicators are still satisfactory for low frequencies (Fig. 14B).

Stability analysis for non-minimum phase configuration.

Step responses: non-minimum phase stable system subject to process disturbances.

Step responses: non-minimum phase stable system subject to system component fault.

Step responses: non-minimum phase stable system subject to actuator fault.

Step responses: non-minimum phase stable system subject to sensor fault.

Error comparison for non-minimum phase configuration.
Now the proposed decentralized fault-tolerant control is applied on QTLP with three faults and process disturbances (Fig. 15):
-
Case i: QTLP with process disturbances.
-
Case ii: QTLP with system component fault.
-
Case iii: QTLP with actuator fault.
-
Case iv: QTLP with sensor fault.
The proposed controller is tested on a QTLP nonlinear system subject to three different faults (i.e. actuator, sensor, and system component fault) with a non-minimum phase configuration. All three faults are given to the QTLP one after the other at the same time t=650 sec. The simulation results of the proposed decentralized controller are compared with the decentralized fuzzy control proposed in the study of Suja and Thyagarajan (2008), which is depicted in Figures 16 to 19. The simulation results clearly show that the proposed controller gives guaranteed stability with superior steady-state and transient response as compared to decentralize fuzzy control. The proposed controller is capable enough to accommodate all three possible faults into QTLP efficiently. The comparison of integral error indices for non-minimum phase configuration is depicted in Figure 19.
The decentralized stable and robust fault-tolerant fuzzy control design strategy is illustrated on the quadruple tank case study with minimum phase and non-minimum phase configuration. Pairing and performance under decentralized stable and robust fault-tolerant control are studied subject to actuator/sensor, system component faults, and process disturbances. This is approved by regulatory responses in Figures 8 to 11 for minimum phase and Figures 15 to 18 for non-minimum phase configuration of QTLP system. In this paper, the QTLP system model is derived with and without fault conditions; the system with fault is shown in Figure 1, and the decentralized controller is designed for linearized model and verified in Matlab Simulink platform. The proposed controller performance is verified with four integral error indices IAE, ISE, ITAE, and ITSE. The error results clearly present the effectiveness of the controller.