Have a personal or library account? Click to login
Research of Forecasting Information Time Delays with Nenural Network in Telecontrol System Cover

Research of Forecasting Information Time Delays with Nenural Network in Telecontrol System

Open Access
|Apr 2021

Full Article

I.
INTRODUCTION

Network control system based on Internet broke through the many limitations on control system based on field bus and become the new development direction of the network control system, stable, fast, and accurate still the ultimate goal of network control systems pursued [1]. Introduction network easy for the organization and deployment of the control system but the transmission delay and data drops inevitably exist in network communication, these will give control system adverse effects even cause instability. Therefore, in recent years, the network control system design and analysis has aroused widespread concern in both academia and industry. Literature [2] proposed a new method to improve the network latency problem. First, feedback information of the server sends the client is no longer the traditional image information while status information with the robot movement, contained less byte code. Secondly, on the server side, we set reasonable threshold for the parameters of the dynamic packet to effectively control the time of sending the packet. Only when any one parameter value in the packet exceeds its threshold, the dynamic information was only package and send to the client, data transmission in such networks is greatly reduced. These two aspects, due to reduce the data volume, network congestion reduced and delay and packet loss are greatly improved. Literature [3] describes the network programs and topology of achieve the common CNC machine tools Internet access and remote monitoring by communication controller; given network transmission delay calculation by such a network structure; proposed the method to improve CNC machine tools real-time remote monitoring by establish data buffer in communication controller, use high-speed MCU and zero-copy technology, emergency data processing technology. Literature [4] simplified the block diagram of remote control system based on Internet, the former delay and feedback delay combined total delay so that the system only needs to design a compensator, the system design is simplified and uses the smith compensator to compensate control to improve system quality. To the uncertainty of network delay, use buffering techniques in the site control computer to convert the uncertain time delay into a fixed delay, even without network delay prediction can also to achieve better control effect. Literature [5] uses the hydraulic system as the controlled object; there are challenging researches on the remote control system in the Internet environment. The experimental results show that, when according to the principle of Smith compensator design dynamic compensation and appropriate delay prediction algorithm can make the Stability original system before not join the network latency links to restore stability after joining the network, so that the remote control of the mechanical movement using the Internet possible. However, due to the uncertainty delay in network transmission links and the data use policies of sampling information processor the control signal distortion after the transmission so that the system steady state error.

See from the current study, analysis and design network controller gradually development by a single variable to multivariate, determine to random, classical control theory to intelligent control theory and advanced control algorithm. But this is only the beginning, so far does not have a systematic approach for analysis, modeling, design whole network control system, and the architecture of the network control system continues to change, the current method is largely concentrated in the condition of network delay is no more than one sampling period, and other cases have yet to be depth.

Self-learning and adaptive capacity of neural network made the neural network model predictive control applications and research gaining increasing attention in the control system, and the prediction control based on neural network has strong robustness can adapt to the changing of system status and network latency links. This paper applied the neural network model predictive control to the network closed-loop system to reduce the impact of random delay to the system, and verified validity of the method by simulation, the method is an effective way to solve the network latency closed-loop control.

II.
NETWORK CONTROL RESEARCH BACKGROUND BASED ON INTERNET

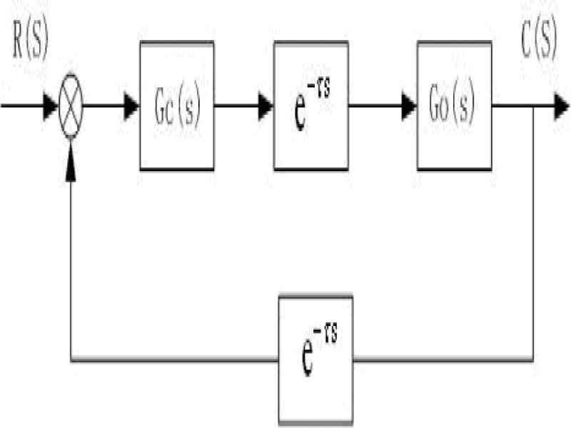
In order to study the impact of network latency on the remote closed-loop control system, set up remote motor control system platform based on Internet, a brushless DC motor as charged object, developed DSP as core and motor drive modules with serial communication functions which directly connected the server serial port in order to facilitate the research on motor network control technology and control network functions embedded in the information networks, for the development of the control network search a more portable way, that is though the method of control functions embedded in the information network to build control information network. Remote motor control based on Internet shown in Fig. 1, this paper used a DSP controller as inner ring, PC server as outer ring dual-loop control structure. The inner ring composed by DSP to complete real-time, general motor closed-loop control; the outer ring of PC server as core to complete the remote closed-loop control. Such a structure ensured more reliable and efficient control effect under the condition of network delay.

Figure 1.

Network Remote Control Systems

This double-loop control system based on improve the performance of the remote controller can achieve safe, reliable and real-time closed-loop control under the conditions of network latency. The inner ring of DSP controller as core complete conventional closed-loop controls of the brushless DC motor, such as complete the speed closed-loop control of brushless DC motor based on DSP. The outer ring constituted by the client-server, DSP controller and brushless DC motor to complete the macroscopic closed-loop control of the client. For example, the client issued the directive forward 2cm and server sent the directive to the DSP controller, the DSP controller on their own to complete the instruction and maintain communication with the client. During the directive implementation, even if it is disconnected from the network, the DSP controller also on their own to complete the control task regardless of the impact of network performance.

III.
THE IMPACT OF NETWORK TRANSMISSION DELAY ON THE SYSTEM REAL-TIME

The remote control of such a complex computer network based on Internet, information transmission and processing on the network takes time, the sender and receiver of information can be viewed as a network transmission delay, the transmission delay existence made network real-time restrict, which is response time determined by the inherent properties of the network system and is inevitable. The presence of network delay and its uncertainty is not conducive to achieve closed-loop control based on network, because in such a system, the network transmission delay not only appears in the before control channel the system, but also appear in the information feedback channel shown in Fig. 1. The delay in the feedback channel makes the controller can not found the controlled variable changes; the delay in the before channel makes the control signal unable to work on the controlled object. These factors not only affect the system dynamic quality, but also affect the system stability.

The closed loop transfer function of network closed-loop control system can be drawn from Figure. 1: (1) C ( S ) R ( S ) = G c ( S ) G o ( S ) e 2 τ s 1 + G c ( S ) G o ( S ) e 2 τ s

The characteristic equation is: (2) 1 + G c ( S ) G o ( S ) e 2 τ s = 0

Visible, characteristic equation of transfer function of closed-loop control system with the network transmission delay links is a transcendental function of complex variable s, the root of the characteristic equation is no longer finitely but an unlimited number. This is also an important feature of time-delay systems, from the point of information transmission; network delay closed-loop system is a time-delay systems of transmission delay included in the forward channel and feedback channel on the time. Delays caused a negative effect for most of the linear control system and the system changes from stable to unstable. Visible the presence of network delay links not only affect the dynamic quality, but also affect the system stability. Therefore, analysis the time-delay system stability and controller design is a very difficult subject.

IV.
THE ROOT CAUSES RESEARCH ON THE IMPACT OF NETWORK TRANSMISSION DELAY LINKS ON THE CLOSED-LOOP CONTROL SYSTEMS

In order to study the impact of network delay on the closed-loop control system, the typical second-order system in a remote control, a simple single-link robot arm as control objects to study the network closed-loop control problems. The system dynamics equation [6]: (3) d 2 φ d t 2 = 10 sin φ 2 d φ d t + μ

Among them, φ represent the angle of robot arm; μ represent the behalf of DC motor torque. The Simulink block diagram of mechanical arm can draw on the type shown in Fig. 2

Figure 2.

Simulink Block Diagram of Mechanical Arm

According to actual situation of the network closed-loop control let a delay link connected between the system controller and the controlled object, another delay link connected to the feedback channel. In the network control system, the forward channel and feedback channel is generally the same physical link, and sent in both directions at the same time, that these two values of delay links are the same, so this paper set the two delay value in delay link set to the same to study. First, delay time in the delay links adjust to 0, that is not including delay link, repeatedly adjust the PID parameters to obtain the satisfied response curve. Then, keeping the PID parameters unchanged, increase the network delay value gradually starting from 0.02 seconds obtain the response curve shown in Fig. 3, seen from Fig. 3 with network delay value increasing, the system performance gradually deteriorate, when the delay increased to 0.05 seconds the system become the oscillating system, continue to increase delay to 0.06 seconds system response divergence, that is the system becomes unstable.

Realing the PID parameters of the of increase 0.06 seconds delay link instability control system obtain the response curve shown in Fig. 3 (d). Visible, by adjusting the controller parameters really can make the original unstable closed-loop control systems becomes stable and meet the remote closed-loop control requirements of system which not high request about fast like robot arm. System control parameter adjustment is a bit trickier, as the delay size and system parameters change constantly adjusted to limit its scope of application, especially not for interstellar adventure, the work environment unknown controlled object, therefore, intelligent control links with adaptive require introduction.

The manipulator control system in Figure 3 as for example analysis, assume that the sampling period of 0.05 seconds in Figure 3, set the delay value to 0.05s, the control information in time k transmitted to the controller after 0.05s, as opposed to the system sampling time 0.05s, the controller receives status information at the moment of k has pass a sampling point, the state of the system has become the state in time k +1, that is state of the k time fed back to the PID controller at time k +1, the PID controller for time k, the state at time k+1 has not yet come, but this time system status values at k-1 after a sample time delay before it is passed controller, therefore, the controller can only decision at time k should be imposed control value u (k) based on the state of the k-1 times, and this control value can be a real work on the system after a time delay, while at the time k +1 and the state of the system has been turned into a time k+1 the state of X(k+1), while u (k) produce at the state time k-1, so u (k-1)grieved and u (k +1) required difference two sampling cycles. In these two sampling cycle, the state of the system state transition, that is x (k-1) transfer to the x (k+1), x (k-1) and x (k+1) often is different lead to u (k-1) and u (k +1) is different. In other word, the system control value produced offset and the greater delay the greater offset, which is the root source of result in deterioration of the system closed-loop control performance and even instability.

Figure 3.

Response after increase network latency

The above analysis shows that the system performance deterioration caused by the remote network delay because of can not correctly calculate the amount of control exerted by the controller to the system, if the system model is known and the size of delay is known, then forecast the state of system in accordance with the principle of the system predict compensation, and calculate the size of control value need to be added the control system in accordance with the predicted state, that is time k applications to predict the state χ ^ (k+1) at time k+1 yet not the state of x(k-1) at time k-1 calculation to be applied to the system state at time k, then the control value u (k +1) at actual time k +1, the u (k +1) after a delay transmission in the time k +1 transfer to the system just after a sampling period, the state of the system change into x (k +1),

So, if the predicted state χ ^ (k + 1) is infinitely close to the actual state x (k +1), the performance of control network delay closed-loop control system can be infinitely close the performance of the closed-loop control system without delay links, which is the basic idea of the predictive control model. However, the delay of the control network is time-varying and controlled objects are often immediately confounding factors, it is can not use an inconvenience model to predict the state of system and can not use a specific delay time to do the fixed step predictive control, neural network has the advantages of online learning the state of the system, predictive control based on neural network has strong robustness to be adaptive to the change of system status and network delay aspects, it is a way to solve the network latency closed-loop control.

V.
MODEL PREDICTIVE CONTROL

Model predictive control is according to the running state of the system over the past time and present moment, more accurate forecasting system desired output value in the future moment, calculated control value of the system should be added according to output value desired depending on certain optimization algorithm adaptive computer control of online solving control value [7-10]. Visible, model predictive control algorithm is an adaptive control method based on the future state of controlled object or dynamic predictive value of output and online solving current control [8-13]. Model predictive control is a newer computer control algorithm developed in the late 1970s; the algorithm actually encompasses three steps: prediction model, rolling optimization and feedback correction [9-16].

A.
Prediction Model

For a module description of the alleged object behavior in the predictive control based on neural network belong to forward model of system, there use the training methods as shown in Fig. 4, where dashed box picture shows the actual controlled object, here is the Simulink block diagram of the robotic arm, at random input signal u to produce output y. Selected BP neural network with one hidden layer as training model of a controlled object, set the number of hidden layer neurons is 10, using the Levenberg-Marquartdt learning rules, with the group [u, y] data training neural network model of the charged object, the results shown in Fig. 5, where Fig. 5 (a) is the data used for training, Fig. 5 (b) is convergence diagram for training.

Figure 4.

Neural Network Training Block Diagram of the Manipulator

Figure 5.

Neural Network Model Training Results of Manipulator

B.
Rolling Optimization

Rolling optimization is an optimal control algorithm, which uses the output of the rolling finite domain optimization that is the goal of optimization over time. Predictive control proposes optimization index based on the moment in every time instead of using global optimization indexes. Rolling optimization index locality through make it can only get the global optimal solution in the ideal case, but when the model mismatch or time-varying and non-linear or confounding factors can take into account this uncertainty in a timely manner compensate, reducing the deviation, keeping the actual optimal control, and it is also easy to use input/output value of finite difference time domain to identify rapidly the state of controlled object so as to implement the online adjustment to the control law and need for repeated optimization.

Optimization algorithm in this article also uses neural network to achieve, set the time-domain involved in the optimization value of 2, using the BP network neural of hidden layer neuron number 7, the same learning rule Levenberg-Marquartdt do the online training to achieve the control signal to the continuous optimization. Training block diagram is shown in the dashed box in Fig. 4. Neural network optimization device in accordance with a given input signal u produce predictable output u1, u1 is imposed to the neural network model of the controlled object to produce predictable output y1, y1 compare with the desired output u of the system, and both the difference to train the neural network optimization. Then, the output u2 of the e2 enough litter as the actual amount of control applied to the actual controlled object. Visible, the optimizer in the regulation system is the inverse model of the charged object. Y1 can also be compared with actual output y2, and the error e1 and the actual input u2 of charged object, output y2 as the data of training charged object neural network model.

C.
Feedback Correction

Feedback correction is forecast control to keep the dynamic correction forecasting model to ensure that the prediction model with infinitely close to the actual controlled object, and make optimization algorithm establish on the basis of the correct prediction of the system state then the new optimization. Error e1 is the amendment process of the neural network model of the controlled object. Neural network prediction model is built on the basis of the past run data in system, the new operating environment and the actual system has the nonlinear, time-varying, interference and other factors make prediction model based on neural networks need to constantly learn to modify their weights and even structure to ensure that it can well represent the actual controlled object to a control signal prediction.

VI.
SIMULATION ANALYSES

Build the Simulation block diagram shown in Fig. 6 under robotic arm Simulink environment, network training based on neural network predictive control by the steps in Fig. 4-Fig. 5, and at the role of the same random input signal gradually adjust the value of delay to simulation. The results in Fig. 7. Show that the prediction control based on neural network has a good control performance to the fixed delay network. Further used random delay module shown in Fig. 8 (a) instead of fixed delay module in Fig. 6 immediately delay module for delay characteristics of input shown in Fig. 8(b), where In. mat file stored random input signal in Fig. 6. There are used random input signal stored in this file in order to compare the simulation results in the simulation. Finally, simulation under the random delay conditions and results shows in Fig. 8(c). Whether a fixed delay or random delay neural network predictive controller can satisfy the closed-loop control requirements in the network delay conditions.

Figure 6.

Simulation of Network Closed-Loop Control System based on Predictive Neural

Figure 7.

Predictive Control Random Responses Curve based on Neural Network

Figure 8.

Responses under Random Delay

VII.
CONCLUSION

This article discusses the difficulties of remote closed-loop control, that is the difficulty different from the general control system lies in the uncertain network delay exist in system channel and feedback channel and which greatly reduced the system stability and improved control system design difficulty. This paper described problems on the network closed-loop control from uncertain network delay to includes network delay controller design method, and studied the impact of network transmission delay on the network closed-loop control system, proposed by predictive control based on neural network to solve feasibility of the network control system which existence random delay closed-loop control, and verified the validity of the method by simulation.

Language: English
Page range: 1 - 10
Published on: Apr 19, 2021
Published by: Xi’an Technological University
In partnership with: Paradigm Publishing Services
Publication frequency: 4 issues per year

© 2021 Xu Shuping, Wu Jinfe, Su Xiaohui, Xiong Xiaodun, published by Xi’an Technological University
This work is licensed under the Creative Commons Attribution 4.0 License.