Renovating plaster mortars are used for restoring damp and salted walls. One of the important characteristics distinguishing the renovation plaster mortars from traditional cement or cement-limestone plaster mortars is their porosity and hydrophobicity. Renovation plaster mortars are a systemic solution that includes renovation rendering coat, plasters that accumulate salts (base plasters) and hydrophobic plasters. High efficiency in salt removal and drying of walls is achieved by applying a half-cover rendering coat and two layers of plasters, the first of which is made of a porous plaster mortar absorbing salt solutions, and the other one – made of a hydrophobic porous plaster mortar [1]. In designing the porous structure of saltaccumulating plasters, porosity and pore size distribution are highly significant [2]. In addition to capillary active pores with a diameter of 0.1 to 70 micrometers, plaster mortars should have pores with a diameter of more than 100 micrometers disrupting the capillary flow of water. In these pores, the moisture evaporates and the salts crystallize [3–5].
In hydrophobic plaster mortars, moisture is transported only in the gas phase, in which case the functionality of the plaster mortar depends on the porosity [6]. The main material factors influencing the porosity of the plaster mortars include: aeration admixtures, light aggregates: perlites or zeolites, grain size of aggregates, degree of fragmental pile filling, etc. [7].
Contemporary aeration admixtures are surfactants with adsorbing properties at the water/air interface. Among the commercially available aerating admixtures, anionic ones are of greatest importance [8]. They include a group of compounds such as: n-alkyl carboxylates (n-RCOO-), n-alkyl sulfonates (n-RSO3-) and n-alkyl sulfates (n-RSO4-). The lengths of hydrocarbon chains are between C12 and C16.
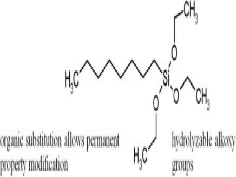
Hydrophobizing admixtures are used to hydrophobize mortars (Fig. 2). In fresh mortar, hydrophobizing admixtures are found in the batched water together with aeration admixtures [9].

Examples of aeration admixtures used in renovation plasters Figure 2.

An example of a hydrophobizing admixture
When using aeration admixtures together with hydrophobizing admixtures, there may be problems with maintaining the proper level of aeration of the mixture and the porosity of the hardened mortar resulting from the lack of compatibility. The problem of the effect of hydrophobizing admixtures on the porosity of renovation plaster mortars is scarcely described in the literature and requires further indepth studies.
The paper presents the results of research on the influence of selected chemical admixtures on the microstructure of mortars. The original mix design of porous plaster mortars modified with aeration and hydrophobizing admixtures was used for testing as a porous plaster model. On this basis, a general dependence of the influence of selected components on the microstructure of renovation plaster mortars was developed.
The purpose of the study was getting to know the influence of aeration and hydrophobizing admixtures on the porosity and pore size distribution in renovation plaster mortars.
The influence of aeration admixtures on pore size distribution was investigated. The following aerating admixtures were selected: aerator 1 – based on sodium α-olefin sulfonate (C14-16) and aerator 2-based on sodium lauryl sulfate (SLS) (Fig. 1).
Six plaster mortar mix designs with the compositions detailed in Table 1, were selected for the tests. Samples were made of plaster mortars and marked with symbols S1 to S6. The required amount of water needed to generate air bubbles by the aeration admixture was determined on the basis of preliminary tests. The optimum water / cement ratio (w/c) in fresh mortar, in the aspect of aeration of fresh mortar using aeration admixture, was set at 1.6.
The composition of dry mixtures of plaster mortars
| Components | Symbols and compositions of dry mixtures, (% by weight) | |||||
|---|---|---|---|---|---|---|
| S 1 | S 2 | S 3 | S 4 | S 5 | S 6 | |
| Portland cement CEM I52.5 R | 15 | 15 | 15 | 15 | 15 | 15 |
| Quartz sand 0.0 ÷ 1.0 mm | 73.66 | 73.36 | 73.15 | 72.34 | 74.69 | 73.84 |
| Limestone powder 45 μm | 5 | 5 | 5 | 5 | 5 | 5 |
| Hydrated lime Ca (OH)2 | 5 | 5 | 5 | 5 | 5 | 5 |
| Pearlite | 1 | 1 | 1.5 | 2 | - | 0.5 |
| HEMC (Hydroxyethyl methyl cellulose) | 0.1 | 0.1 | 0.1 | 0.1 | 0.1 | 0.13 |
| PVAc (Poly vinyl acetate) | 0.2 | 0.5 | 0.2 | 0.5 | 0.2 | 0.5 |
| Aerator 1 | 0.04 | 0.04 | 0.05 | 0.06 | 0.01 | 0.03 |
| Aerator 2 | 0.005 | 0.01 | 0.005 | 0.01 | – | – |
| Water * | 24 | 23 | 25 | 26 | 24 | 23 |
| w/c | 1.6 | 1.53 | 1.67 | 1.73 | 1.6 | 1.53 |
water is given with respect to the weight of dry ingredients necessary to achieve a consistency of 17 ± 1 cm
An automatic laboratory mixer was used to mix mortars. Mixing time was determined experimentally based on the density changes of fresh mortar. The optimum mixing time was determined to be 3 minutes at 62 rpm/140 rpm. Based on such mortar, the samples were prepared in the shape of cylinder with the height of 20 mm and the diameter 100 mm. The conditions of these samples curing and the method of preparation were in accordance with PN-EN 1015-11:2001 [13].
The porosity measurement was carried out in accordance with the methodology described in WTA Merkblatt 2-09-04/D Sanierputzsysteme [14]. The pore volume distribution against their effective radii was determined using Carlo-Erba 4000 mercury porosimeter. Differential pore volume distribution allows to specify which range of dimensions is the most common for these pores; furthermore, it explains whether the pore distribution is mono- or polymodal. The pore volume for the equivalent diameter from 7.5 µm to 1.8 nm was obtained by determining the volume of mercury which, when gradually increasing the pressure, fills the pores of increasingly lower diameter. The pore diameter of up to 200 µm was determined by measuring the mercury penetration when equalizing the pressure to atmospheric pressure (after degassing and filling with mercury).
The results of the measurement of total porosity (%), density (g/dm3) and the volume distribution of capillaries depending on their effective radii are presented in Table 2. In Fig. 3 and 4, the curves for differential pore volume distribution and capillary volume distribution depending on their effective radii, is presented.
Porosity Pc (%), pore volume as a function of radii, as total porosity percentage (%), density (kg/dm3) of the studied plasters
| Symbol | Total porosity (% vol) | Radius of capillaries (μm) | Density (kg/dm3) | |||||
|---|---|---|---|---|---|---|---|---|
| <0.01 | 0.01÷0.1 | 0.1–1.0 | 1.0–10 | 10–100 | >100 | |||
| Percentage of pore volume (%) | ||||||||
| S1 | 41.6 | – | 4.5 | 15.6 | 32.3 | 34.8 | 12.8 | 1.35 |
| S2 | 45.4 | – | 3.7 | 13.4 | 27.9 | 34.5 | 20.5 | 1.31 |
| S3 | 52.1 | – | 3.2 | 11.9 | 28.9 | 38.7 | 17.3 | 1.11 |
| S4 | 58.4 | – | 6.2 | 11.6 | 27.8 | 38.5 | 15.9 | 1.03 |
| S5 | 24.5 | 2.3 | 12.7 | 69.7 | 12.7 | 2.3 | 0.3 | 1.55 |
| S6 | 32.7 | 3.0 | 9.7 | 14.0 | 66.9 | 5.6 | 0.8 | 1.45 |


The lowest porosity was that of S5 and S6 plaster mortars. The total porosity [%] for these mortars was 24.5% and 32.7%, respectively. The curve of the differential pore volume distribution was monomodal (Fig. 4a.). In the case of S5 plaster mortar, pores with a diameter of 0.01 to 7 µm dominated, while for S6 plaster mortar the largest pore volume occurred for diameters from 0.01 to 20 µm. Observed differences could be due to the change of aggregates grain size from 0.0–0.5 to 0.0–1.0 mm and a higher dose of aeration admixture 1. For these plaster mortars, pores created in the intergrain space, which is partially filled with hydrates produced during cement hydration, can be expected. Due to the ability to transport moisture, the determined pore range corresponded to capillary active pores, with a significant proportion of pores with a diameter below 0.01 µm, which are gel pores and impact plaster mortar durability [15, 16].
For mortars S1 to S4, the total porosity ranged from 41.6% to 58.4% (Table 2).The difference in pore volume distribution depending on their radii was polymodal. The largest pore volume was between 0.07 and 30 µm, and then the pore volume decreased slightly. The next increase in volume was corresponding to the pore size above 40 µm (Fig. 3a). It was also found that for plaster mortars with different porosity, the peaks in the graphs (Fig. 3a) were not shifted. This means that as the dose of aeration admixtures is increased, pores of all dimensions are formed in similar proportions. The polymodal pore size distribution can be explained by the use of two different aeration admixtures in the formulations: aerator 1 – based on sodium α-olefin sulfonate (C14-16) and aerator 2 – based on sodium lauryl sulfate (SLS) and pearlite, which can form pores in a wide range of diameters. In addition, it can be concluded that there was an interaction of aeration admixtures with pearlite. The study was conducted based on S5 recipe, Table 1. The differences, which stem from changing the amount of the ingredients, were regulated up to 100% with quartz sand.
With the increase of the amount of aeration admixtures, the porosity of the hardened mortar grew unevenly (Fig. 5a). For aeration admixture – 1, with lower amounts of this admixture ranging from 0.0 to 0.02%, the porosity increased slower than for the amounts from 0.04 to 0.07%. It reached a maximum pore volume of 48% with 0.07% of admixture 1. A further increase in the amount of this admixture caused a decrease in porosity. For admixture 2, an increase in porosity occurred already with a content of 0.01%, with the porosity reaching 23%, close to the maximum (Fig. 5a). It was found that the porosity of hardened mortars can be influenced by admixture properties, the most important of which include chemical composition, concentration of active substances, molecular mass and structure of polymers it contains [8].

Occurrence of the maximum on the diagram means that there is an upper limit of the aeration admixture amount in the mortar, beyond which increase in the amount of the admixture batched does not affect the porosity. Due to the chemical nature of admixtures, small amounts of them are first adsorbed on the surface of solids. The admixtures that are in the liquid phase of the plaster mortar are responsible for the formation of pores. The increase in porosity for aeration admixture 1 was observed only at the amount of 0.05–0.08%. Too large amounts of aeration admixtures cause the formation of micelles in which they are trapped and thus do not participate in the formation and stabilization of air bubbles [8]. It was found that above a certain amount of aeration admixtures in fresh mortar, their concentration in the liquid phase is almost constant, while the concentration of micelles increases, whereas the amount of formed micelles does not affect the aeration of the mortar.
The aeration admixture 1 (sodium α-olefin sulfonate) tends to form pores with a diameter of 20 to 80 µm (Fig. 5b), aeration admixture 2 (sodium lauryl sulfate (SLS)) tends to form pores with diameters ranging from several dozen to several hundred micrometers. The combination of these two admixtures allowed to obtain a microstructure in which there are pores with a polymodal pore size distribution and a wide range of diameters, from capillary pores to air pores (Fig. 3a)
In the case of non-hydrophobized restoration plaster mortars, the polymodal pore size distribution is advantageous due to their resistance to salt. Microstructure of plaster mortars consisting of pores of various diameters, interconnected to each other prevents the generation of harmful tensile stresses during salt crystallization [17].
The influence of hydrophobizing admixtures based on silicone oils on an inorganic carrier (polydimethylsilixanes with a low content of ethyl substituents) H1 and H2 from different manufacturers and admixture H3 based on triethoxy(alkyl)silane on the porosity of plaster mortars containing aeration admixtures was investigated. A mixture of aeration admixtures was used to aerate the plaster mortars: aeration admixture – 1 based on oleo sulfonates and admixture – 2 based on sodium lauryl sulfate (SLS) in the total amount of 0.7% mixed in a ratio of 6:1. The quantities recommended by the manufacturers of H1 admixture ranged from 0.2 to 1.0% against the solid components, and for admixtures H2 and H3 the quantities were from 0.1 to 0.5%. The study was conducted on S4 recipe, Table 1. The differences, which stem from changing the amount of ingredients, were regulated up to 100% with quartz sand.
Changes in the total porosity (%) of mortars, depending on the amount of hydrophobizing admixtures H1, H2 and H3, with a fixed amount of aeration admixtures 1 and 2 totaling 0.07%, are shown in Fig. 6a. Fig. 6b presents a comparison of the total porosity of the renovation plaster mortars after the addition of a hydrophobizing admixture in the amount of 0.5%. It was found that the addition of hydrophobizing admixtures in the amount of 0.5%, in terms of water absorption by hardened plasters, corresponded to category W2 – medium in accordance with PN-EN 1015-18:2003 [20] and ranged from 0.5 kg/(m2· h0.5) and > 0.1 kg/(m2·h0.5).

The impact of the amount of H1, H2 and H3 hydrophobizing admixtures on the porosity with a fixed amount of aeration admixtures 1 and 2 (0.06% and 0.01%) (Fig. 6a); comparison of the porosity of the plaster without hydrophobic admixtures with plasters containing hydrophobizing admixtures H1, H2 and H3 (Fig. 6b)
After addition of hydrophobizing admixtures to the plaster mortars, the porosity of the mortars was reduced. The reduction in porosity depended on the type of hydrophobizing admixtures. The lowest decrease in porosity was observed when adding H2 admixture to the recipe obtained on the basis of polydimethylsilixanes with a small share of ethyl substituents (Fig. 6b). For H1 and H3 admixtures, the decrease in porosity was observed already with a small proportion of these admixtures of 0.2% in the mixture in relation to the dry mortar components (Fig. 6b).
The decrease in porosity can be explained by a similar chemical structure of aeration and hydrophobizing admixtures. It can be assumed that active ingredients of hydrophobizing admixtures can accumulate around air bubbles, thus displacing particles of admixtures responsible for air stabilization in the mortar. In the interactions, the thickness of the film formed by aeration admixtures around the air bubbles decreases, causing them to destabilize, crack or merge with others and form larger bubbles. As a result, both of these admixtures have the opposite effect, which is related to the decreased porosity of the hardened mortar [18, 19].
The study has shown that the design of the renovation plaster mortar microstructure is possible by the simultaneous use of aeration admixtures that differ in chemical composition and light aggregates (pearlite).
The pores formed by admixtures that differ in chemical composition may have different radii. The investigations showed that plaster mortars without aeration admixtures had a monomodal pore size distribution, after adding admixtures based on sodium α-olefin sulfonate (C14-16) (admixture 1) and sodium lauryl sulfate SLS (admixture 2) they had a polymodal pore size distribution over a wide range of radii: from capillary active to air pores.
An addition of hydrophobizing admixtures to the formulation of renovation plaster mortars in a small amount (0.2% of weight) caused a decrease in porosity. The decrease was varied and depended on the chemical structure of these admixtures.