Wodór stanowi 75% masy materii we Wszechświecie; na Ziemi występuje powszechnie w formie związków chemicznych [11]. Otrzymywanie czystego wodoru z konwencjonalnych źródeł energii wiąże się z wykorzystaniem drogich katalizatorów metalicznych oraz użyciem wysokich nakładów energii. Jednocześnie produkty tych reakcji przyczyniają się do zanieczyszczenia środowiska [35]. Organizmy żywe posiadają zdolność produkcji wodoru w temperaturze otoczenia, w środowisku wodnym. Procesy te mogą przebiegać z udziałem energii świetlnej (bezpośrednia biofotoliza i fotofermentacja) lub bez udziału energii świetlnej (ciemna fermentacja i biologiczna konwersja tlenku węgla) [82, 86]. Otrzymywany w ten sposób wodór wykorzystywany jest w reakcji asymilacji azotu (powstaje wówczas jako produkt uboczny) oraz do utleniania nadmiaru równoważników redukcyjnych. Rośliny, mikroalgi i cyjanobakterie wykorzystują energię świetlną do przeprowadzenia procesu fotolizy wody (równanie 1). Energia świetlna absorbowana jest przez fotosystem I (PSI), fotosystem II (PSII) lub oba fotosystemy. Elektrony wytworzone podczas biofotolizy cząsteczki wody przekazywane są następnie na ferredoksynę i do enzymu hydrogenazy [4].
Hydrogenazy są wrażliwe na działanie tlenu. Dlatego niezbędne jest oddzielenie przestrzenne reakcji powstawania wodoru i tlenu. Warunkiem zachowania ciągłości procesu jest niskie stężenie tlenu w środowisku reakcji (poniżej 0,1%).
Procesy fotofermentacji prowadzą do otrzymania wodoru na drodze enzymatycznego rozkładu kwasów organicznych przez nitrogenazy. Reakcja ta wymaga dostarczenia energii przez fotosystem. W przypadku braku azotu cząsteczkowego, który jest preferowanym akceptorem powstających w wyniku reakcji elektronów, nitrogenazy redukują protony do wodoru cząsteczkowego [74]. Wodór może być również produktem reakcji, które nie wymagają bezpośredniego udziału energii świetlnej. Bakterie anaerobowe są zdolne wytworzyć wodór na drodze ciemnej fermentacji, rozkładając substraty bogate w węglowodany. Ilość powstającego w wyniku tej reakcji wodoru determinowana jest przez odpowiedni szlak metaboliczny i rodzaj produktu końcowego. Jeżeli produktem końcowym jest kwas octowy, teoretycznie z jednego mola glukozy można uzyskać cztery mole wodoru (równanie 2). Pożywką dla bakterii zdolnych do wytwarzania wodoru (np. Clostridium, Enterobacter, Escherichia) mogą być również bioodpady [2, 72].

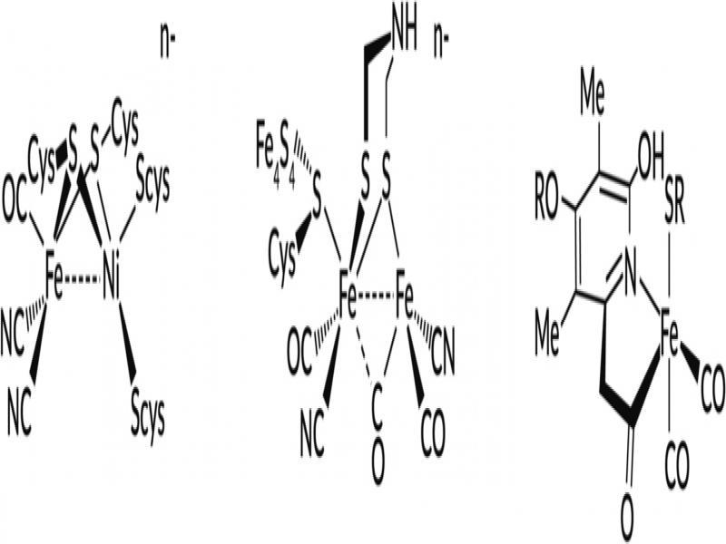
Centra aktywne hydrogenaz [NiFe], [FeFe] oraz [Fe]
Inną drogą produkcji wodoru przez bakterie beztlenowe jest utlenianie (konwersja) tlenku węgla do dwutlenku węgla z wytworzeniem energii (równanie 3).
Proces ten wykorzystują zarówno bakterie Gram-ujemne, np. Rhodospirillum rubrum czy Rubrivax gelatinosus, jak i Gram-dodatnie, np. Carboxydothermus hydrogenoformans. Obecność CO indukuje szlaki syntezy hydrogenaz oraz dehydrogenaz. Elektrony powstające w wyniku utleniania CO przenoszone są za pomocą białek posiadających klastry Fe-S do hydrogenaz wytwarzających wodór [4, 13].
Kluczowym elementem dla większości szlaków biochemicznych produkcji wodoru w organizmach żywych są hydrogenazy, jednak ich bezpośrednie wykorzystanie w produkcji przemysłowej nastręcza trudności ze względu na właściwości tych enzymów.
Hydrogenazy (EC 1.12) to zróżnicowana grupa metaloenzymów, mająca zdolność do katalizowania odwracalnej reakcji redukcji protonu do wodoru cząsteczkowego (równanie 4). Enzymy te są kluczowym elementem szlaków metabolicznych wielu mikroorganizmów należących do prokariotów, eukariotów jak i archeonów [12, 26, 46, 60, 87].
Ze względu na strukturę centrum katalitycznego, hydrogenazy podzielono na trzy główne grupy: (i) hydrogenazy [NiFe], (ii) hydrogenazy [FeFe] oraz (iii) hydrogenazy [Fe], początkowo uważane za hydrogenazy niemetaliczne [35, 79, 84, 91]. Struktury centrum katalitycznego hydrogenaz należących do wymienionych grup przedstawiono na rycinie 1.
Większość z poznanych dotychczas hydrogenaz należy do grupy pierwszej lub drugiej. Pomimo, iż są to grupy filogenetycznie bardzo odległe, wykazują pomiędzy sobą pewne podobieństwa [23]. Wrażliwość na obecność tlenu jest cechą charakterystyczną wszystkich poznanych dotychczas hydrogenaz. Hydrogenazy [NiFe] wydają się być jednak szczególnie interesujące pod względem potencjalnego zastosowania do bioprodukcji wodoru. Niektóre enzymy z tej grupy ulegają jedynie częściowej, odwracalnej inaktywacji w obecności tlenu (oxygen-tolerant hydrogenases), a w warunkach redukujących ich aktywność może być niemal całkowicie przywrócona [27].
Wszystkie grupy hydrogenaz posiadają w centrum aktywnym nieorganiczne ligandy, niespotykane w innych enzymach [12]. Synteza i przyłączenie w prawidłowej orientacji grup CO oraz CN– w centrum aktywnym wymaga szeregu czynników, warunkujących dojrzewanie kompleksu enzymatycznego i umożliwiających powstanie w pełni funkcjonalnego enzymu [62, 83, 93, 97]. Zróżnicowanie hydrogenaz pod względem ich roli i struktury związane jest ściśle z ich funkcją fizjologiczną, jak również z umiejscowieniem w komórce [18]. Wyróżnia się hydrogenazy związane z błoną oraz cytoplazmatyczne (rozpuszczalne). Enzymy redukujące protony do wodoru znajdują się w cytoplazmie, podczas gdy te pobierające wodór są zazwyczaj zlokalizowane w obrębie błony komórkowej lub znajdują się w peryplazmie [90, 92]. Powstawanie wodoru jest sprzężone z utlenianiem przenośników elektronów (równanie 5), a jego rozkład z ich redukcją (równanie 6).
Pe – przenośnik elektronów
W organizmach żywych, donorami i akceptorami elektronów dla hydrogenazy mogą być związki niskocząsteczkowe (dwutlenek węgla, kwas fumarowy, tlen, siarczany czy azotany) lub kompleksy białkowe (cytochrom c3, cytochrom c6, ferredoksyna) [65, 90]. In vivo, reakcja katalizowana przez hydrogenazę może być wykorzystana zarówno w celu odtworzenia źródeł energii, jak i rozproszenia nadmiaru elektronów, zgromadzonych w wyniku aktywności metabolicznej komórki. Stąd też, w komórce może znajdować się kilka hydrogenaz należących do różnych grup i wykazujących odmienne właściwości [10, 33, 39, 98]. Taka strategia umożliwia mikroorganizmom szybką odpowiedź na zmieniające się warunki środowiskowe poprzez dostosowanie aktywnych szlaków metabolicznych do zapotrzebowania energetycznego komórki. Szereg interesujących właściwości hydrogenaz, a także możliwość ich potencjalnego zastosowania w gospodarce opartej na alternatywnych źródłach energii, przyczyniły się znacznie do poszerzenia wiedzy na temat skomplikowanej biochemii tych enzymów. Jednakże wiele mechanizmów związanych z biochemią hydrogenaz nadal pozostaje niewyjaśnionych.
Większość poznanych dotychczas hydrogenaz należy do grupy [NiFe]. Zidentyfikowano je w organizmach należących do archeonów oraz bakterii (ścisłych i fakultatywnych beztlenowców), a także w mikroorganizmach tlenowych [75]. Niektóre enzymy należące do grupy hydrogenaz [NiFe] wykazują znacznie mniejszą wrażliwość na działanie tlenu niż hydrogenazy [FeFe]. Wśród hydrogenaz [NiFe] wyróżnia się hydrogenazy standardowe (O2-sensitive), które w obecności tlenu ulegają nieodwracalnej inaktywacji oraz hydrogenazy oporne na działanie tlenu (O2-tolerant), które wykazują aktywność katalityczną również w obecności O2 [20, 22, 32].
Najlepiej poznaną do tej pory grupą hydrogenaz opornych na działanie tlenu są hydrogenazy związane z błoną (MBHs, membrane-bound hydrogenases). Należą do nich między innymi enzymy pochodzące z morskiego mikroorganizmu Hydrogenovibrio marinus [103], bakterii wodorowych Ralstonia eutropha H16 [19], hipertermofilnych bakterii Aquifex aeolicus [63] oraz modelowego mikroorganizmu – Escherichia coli [6]. Enzymy te są heterodimerami, składającymi się z dużej podjednostki (LSU, large subunit), małej podjednostki (SSU, small subunit), a także cytochromu b, który jest integralnym białkiem błonowym [101]. Do grupy hydrogenaz opornych na działanie tlenu należą również hydrogenazy [NiFeSe]. Jest to podklasa hydrogenaz [NiFe], posiadająca w centrum aktywnym atom selenu zamiast jednego z atomów żelaza. Przykładami enzymów należących do tej grupy są hydrogenazy wyizolowane z Desulfovibrio vulgaris Miyazaki F, czy z Desulfomicrobium baculatum [95]. Charakteryzują się one wyższą w porównaniu do hydrogenaz [NiFe] aktywnością katalityczną, która nie ulega inhibicji w obecności wodoru. Właściwości hydrogenaz [NiFeSe] związane są z obecnością selenocysteiny, jako jednego z ligandów w centrum aktywnym [49]. Dzięki wspomnianym powyżej właściwościom, enzymy te wykazują istotny potencjał biotechnologiczny w procesach bioprodukcji wodoru. Porównanie struktury hydrogenaz [NiFe] z Desulfovibrio gigas oraz [NiFeSe] z D. vulgaris wykazało znaczne podobieństwa strukturalne w konserwowanych motywach szkieletu białkowego tych enzymów [7].
Mechanizm, dzięki któremu część enzymów z grupy hydrogenaz [NiFe] ulega jedynie odwracalnej inaktywacji w obecności tlenu, nie został dokładnie poznany. Wskazuje się jednak, że kluczowym elementem jest kształt oraz rozmiar kieszeni występujących w wewnętrznej strukturze enzymu. Kieszenie te tworzą hydrofobowe kanały, umożliwiające dostęp do centrum katalitycznego. Służą one jako szlaki transportu elektronów i protonów oraz umożliwiają przepływ gazów [32]. O ile wiadomo, że elektrony transportowane są przy udziale klastrów Fe–S, znajdujących się w małej podjednostce [15], szlaki transportu protonów oraz szlaki dyfuzji gazów (H2, O2, CO) nie zostały dokładnie poznane [60]. Przypuszcza się jednak, że osłonięcie centrum katalitycznego, a przez to zmniejszenie ilości gazu docierającego do centrum aktywnego na drodze dyfuzji, umożliwia funkcjonowanie tych enzymów również w obecności tlenu [20, 59]. Mutageneza selenocysteiny z centrum katalitycznego [NiFeSe] hydrogenazy, skutkująca wymianą tego aminokwasu na mniejszą cząsteczkę cysteiny, doprowadziła do obniżenia oporności tego enzymu na działanie tlenu [7].
W centrum aktywnym hydrogenaz z grupy [NiFe] występują: (i) konserwowany ewolucyjnie rdzeń, zawierający jony niklu i żelaza, oraz, podobnie jak w przypadku omawianych dalej hydrogenaz [FeFe] i [Fe], (ii) niebiałkowe ligandy: tlenek węgla(II) i aniony cyjankowe, stabilizujące centralny jon żelaza na niskim (+2) stopniu utlenienia [70]. Analiza struktury krystalicznej hydrogenazy [NiFe] z Desulfovibrio desulfuricans ujawniła również obecność w centrum aktywnym tego enzymu ligandów SO [28]. W centrum katalitycznym hydrogenaz [NiFe] jon żelaza posiada w sferze koordynacyjnej dwa ligandy CN– i jeden ligand CO [28]. W trakcie procesu katalizy jon żelaza pozostaje na stałym, niskim stopniu utlenienia. Jon niklu, zarówno w przypadku hydrogenaz [NiFe], jak i hydrogenaz [NiFeSe], może, na różnych etapach katalizy, występować na +1, +2 lub +3 stopniu utlenienia. Jony niklu i żelaza związane są przez grupy tiolowe, pochodzące z dwóch reszt cysteinowych, a także przez trzeci, dodatkowy ligand – zmienny w zależności od stanu redoks enzymu. W przypadku nieaktywnej, utlenionej formy enzymu, ligandem jest grupa OH–. W momencie aktywacji hydrogenazy pozycja ta pozostaje wolna lub zajmowana jest przez H– [81]. Kolejne dwie reszty cysteinowe (lub w przypadku hydrogenaz [NiFeSe]: reszta cysteinowa i selenocysteinowa) wiążą grupę prostetyczną z częścią białkową enzymu [21].
Wszystkie hydrogenazy [NiFe] są co najmniej dimerami, składającymi się z podjednostki LSU, która zawiera centrum katalityczne oraz z podjednostki SSU, zawierającej od jednego do trzech klastrów siarkowo-żelazowych (Fe–S). Klastry te odpowiadają za transport elektronów pomiędzy centrum aktywnym a przenośnikami elektronów [85, 90]. Hydrogenazy [NiFe] podzielono na klasy i podklasy, których przedstawiciele pełnią podobne funkcje fizjologiczne. Pierwsza klasyfikacja, w której wyróżniono 6 klas hydrogenaz [NiFe], powstała w oparciu o podobieństwa sekwencji aminokwasowej motywów koordynujących centrum aktywne [100]. Późniejsze klasyfikacje również opierają się na tym kryterium [65, 90], a także na związkach filogenetycznych i podobieństwach w organizacji operonów [23].

Centrum aktywne hydrogenazy [NiFe]
Przedstawiono dwa stany: (a) stan Ni–A (unready state); (b) stan Ni–B (ready state).
Mechanizm katalityczny hydrogenaz nie jest dokładnie poznany pomimo rosnącej liczby przeprowadzonych eksperymentów. Na podstawie danych krystalograficznych i spektroskopowych, dotyczących hydrogenazy [NiFe] z D. vulgaris Miyazaki F, proponuje się mechanizm, w trakcie którego jon niklu zmienia swój stopień utlenienia. W zależności od potencjału redoks hydrogenazy [NiFe], enzym może znajdować się w konfiguracji aktywnej lub nieaktywnej [42]. Forma utleniona jest formą nieaktywną enzymu, w której wyróżnia się dodatkowo stan Ni–A (unready state) oraz Ni–B (ready state). W strukturach obu stanów zidentyfikowano jony Fe(II) oraz Ni(III), a także związany jon tlenu (ryc. 2). Oba stany mogą zostać aktywowane w obecności H2, jednak aktywacja Ni–A do Ni–SIa, w której nikiel znajduje się na drugim stopniu utlenienia, jest powolna (kilka godzin) i zależy od temperatury oraz pH [59]. Aktywacja stanu Ni–B przebiega w ciągu sekund i generuje, w zależności od liczby przeniesionych elektronów, jeden lub kilka stanów aktywnych: Ni–SI, Ni–C, Ni–R. Stan Ni–C nie może spontanicznie redukować protonów do H2, ponieważ w obecności wodoru jest niestabilny. Oksydacja Ni–SI za pomocą O2 prowadzi do utworzenia mieszaniny Ni–A oraz Ni–B, natomiast oksydacja w warunkach beztlenowych, na przykład za pomocą [Fe(CN)6]3−, prowadzi do odtworzenia wyłącznie stanu Ni–B [1].
Przeważająca część hydrogenaz [FeFe] to enzymy monomeryczne, chociaż znane są także enzymy należące do tej grupy o strukturze dimerycznej, trimerycznej oraz tetramerycznej [54]. Hydrogenazy [FeFe] katalizują głównie reakcję biegnącą w kierunku redukcji protonu do wodoru cząsteczkowego. W swojej strukturze zawierają konserwowany ewolucyjnie motyw nazywany klastrem H (H–cluster). Składa się on z dwóch subklastrów: standardowego, kubicznego klastra [4Fe4S] oraz struktury [2Fe2S], pełniącej funkcje katalityczne. Dwa z czterech jonów żelaza w klastrze [4Fe4S] koordynowane są przez dwa ligandy CN– oraz trzy ligandy CO. Ligandy CO związane są słabiej niż ligandy CN–, co umożliwia im zmianę pozycji w kolejnych etapach katalizy [57]. Oba typy ligandów stabilizują stan spinowy jonów żelaza. Sekwencje N- oraz C-końca hydrogenaz [FeFe] wykazują dużą zmienność. Odpowiadają one za wiązanie klastrów Fe–S oraz domen wiążących kofaktory, co sugeruje, że hydrogenazy [FeFe] mogą oddziaływać z wieloma różnymi substratami reakcji redoks [10, 51]. Klaster H połączony jest z resztą białkową wiązaniami kowalencyjnymi przez reszty cysteinowe, koordynujące jony Fe w klasterze kubicznym. Poza tymi wiązaniami, szkielet białkowy i niebiałkowe ligandy oddziałują ze sobą wyłącznie za pomocą wiązań wodorowych i oddziaływań elektrostatycznych [64].
W przypadku hydrogenaz [FeFe] mechanizm działania również jest niejasny. Podobnie jednak jak dla grupy hydrogenaz [NiFe] zidentyfikowano utlenione, nieaktywne formy enzymu. W centrum aktywnym oba jony żelaza występują na niskim stopniu utlenienia (Fe(II) – Fe(II)). Przypuszcza się, że obecność cząsteczki wody, związanej w sferze koordynacyjnej, może być przyczyną inaktywacji enzymu. Redukcja klastra 2Fe powoduje usunięcie cząsteczki wody i związanie H2 lub utworzenie jonów wodorkowych. Uważa się, że heterolityczne cięcie wiązania w cząsteczce H2 zachodzi prawdopodobnie w pozycji terminalnej dystalnego jonu Fe [43, 56]. Anion wodorkowy pozostaje związany z jonem Fe, natomiast proton przenoszony jest do ligandu CN– lub innego akceptora o charakterze zasadowym.
Hydrogenaza [FeFe] wyizolowana z Chlamydomonas reinhardtii (CrHyda1) nie zawiera w swojej strukturze klastrów Fe–S, a jedynie klaster H. Ze względu na prostotę struktury przyjęta została jako modelowa hydrogenaza typu [FeFe], również w badaniach dotyczących modeli dojrzewania centrum katalitycznego hydrogenaz tego typu [17, 53, 68]. Badania nad tą hydrogenazą pozwoliły zidentyfikować nowe produkty pośrednie reakcji katalitycznej tworzenia wodoru, a także potwierdzić istotną rolę ligandów w tym procesie [45].
Zaobserwowano znaczne różnice pomiędzy funkcjami pełnionymi przez ligandy CO podczas katalizy w prostych hydrogenazach [FeFe], izolowanych z alg morskich, oraz bardziej skomplikowanych hydrogenazach [FeFe], takich jak na przykład hydrogenaza z Clostridium pasteurianum [10]. Struktury krystaliczne hydrogenaz [FeFe] z C. pasteurianum oraz D. desulfuricans pozwoliły na opracowanie modelu centrum katalitycznego, który w hydrogenazach tego rodzaju posiada unikalny klaster [6Fe–6S]. Redukcja protonów do wodoru cząsteczkowego powiązana została z subklastrem 2Fe [58], związanym z ligandami CO, CN– oraz z ligandem ditiolowym [54]. Podobnie jak w przypadku hydrogenaz [NiFe] obecność ligandów CO oraz CN– stabilizuje jony żelaza na niskim stopniu utlenienia [66, 40].
Ważną rolę dla aktywności katalitycznej hydrogenaz oraz regulacji przepływu elektronów odgrywa również szkielet aminokwasowy, otaczający centrum aktywne. W strukturach enzymów należących do hydrogenaz [NiFe] oraz [FeFe] zidentyfikowano reszty aminokwasowe, obdarzone ładunkiem elektrycznym, które tworzą zewnętrzną sferę koordynacyjną. Biorą one udział w transferze protonów, koordynacji cząsteczek wody i oddziałują z klastrem H [37, 54]. Reszty aminokwasowe, znajdujące się w kieszeni hydrofobowej klastra H, biorą wraz z subklastrem 2Fe, udział w wiązaniu wodoru [9, 88].
Podobnie jak w wypadku hydrogenaz [NiFe], dojrzewanie hydrogenaz typu [FeFe] wymaga obecności zestawu białek specyficznych dla danego enzymu. U wszystkich organizmów, u których zidentyfikowano hydrogenazę HydA (w tym E. coli), zidentyfikowano również geny hydE, hydF oraz hydG, których produkty ekspresji są niezbędne do uzyskania aktywnej hydrogenazy HydA [36, 67]. Produkty ekspresji wymienionych genów (białka HydE oraz HydG) należą do rodziny enzymów wytwarzających rodniki S-adenozylometioniny (SAM) [8, 71]. Natomiast HydF jest monomerycznym białkiem, należącym do rodziny GTPaz [77], odpowiadającym za wiązanie klastrów żelazowo-siarkowych, które są wcześniej syntezowane w komórce [54]. Białko HydG bierze udział w katalizie reakcji, w wyniku których powstają dwuatomowe ligandy centrum katalitycznego: CO oraz CN– [41, 76]. W przypadku białka HydE nie udało się do tej pory dokładnie określić jego funkcji oraz substratu/substratów [65].
Hydrogenazy [Fe] są strukturalnie najmniej skomplikowaną grupą hydrogenaz. Katalizują reakcję wodorowania substratów biologicznych poprzez heterolityczny rozkład wodoru cząsteczkowego. Funkcją hydrogenaz [Fe] jest odwracalna redukcja metenylotetrahydrometanopteryny (metenylo-H4MPT+) do metylenotetrahydrometanopteryny (metylenoH4MPT) [73]. Reakcja ta jest elementem szlaku metabolicznego metanogenów, redukującego CO2 do metanu. Wodorowanie metenylo-H4MPT+ jest więc odpowiednikiem reakcji utleniania/redukcji H2 u pozostałych grup hydrogenaz. W przeciwieństwie do pozostałych grup hydrogenaz, hydrogenazy [Fe] nie ulegają dezaktywacji w obecności 100% O2, jeżeli w centrum aktywnym nie ma związanego substratu. W obecności O2 hydrogenazy tej grupy nie ulegają inhibicji, lecz stopniowej dezaktywacji [27, 30].
W centrum aktywnym hydrogenaz [Fe] występuje pojedynczy jon Fe koordynowany, podobnie jak w przypadku pozostałych hydrogenaz: (i) przez atom siarki, pochodzący z cysteiny, (ii) dwa ligandy CO, (iii) kofaktor pirydynowy oraz (iv) cząsteczkę wody [24, 48]. Na podstawie badań krystalograficznych oraz spektroskopowych ustalono, że centrum aktywne hydrogenaz [Fe] posiada geometrię oktaedryczną (6 koordynowanych ligandów) lub piramidy kwadratowej (pięć koordynowanych ligandów) [78]. Centralny jon żelaza, jest nieaktywny w reakcji redoks i nie ulega inaktywacji przez O2 [35]. Kofaktor zawierający centrum żelazowe może być jednak rozłożony przez H2O2 oraz O2−, powstające w wyniku katalizowanej przez hydrogenazę reakcji redukcji O2 do H2O2. W przeciwieństwie do hydrogenaz [NiFe] oraz [FeFe], elektrony są dostarczane bezpośrednio do centrum katalitycznego hydrogenazy [Fe]. Powstające jony wodorkowe są bezpośrednio wiązane przez kofaktor metenylo–H4MPT+.
Podobnie jak w przypadku hydrogenaz [NiFe] oraz [FeFe], mechanizm katalityczny hydrogenaz [Fe] nie jest dokładnie poznany. Uważa się, że cząsteczka H2 ulega najpierw heterolitycznemu rozpadowi przy udziale Fe(II), a następnie jon wodorkowy przenoszony jest do akceptora (karbokation) [102]. Na podstawie struktury krystalicznej hydrogenazy [Fe] z Methanocaldococcus jannaschii ustalono, że na homodimer składają się trzy domeny: centralna oraz dwie zewnętrzne. Centralna domena złożona jest z dwóch splecionych domen C-terminalnych. Dwie zewnętrzne domeny to domeny N-końcowe, wiążące kofaktory [29]. Trzy domeny tworzą kieszeń, w której znajduje się centrum aktywne. Podczas wiązania się substratu kieszenie zamykają się, zbliżając do siebie jon żelaza i karbokation substratu, będący akceptorem jonów wodorowych. Po zamknięciu kieszeni, H2 dociera do centrum aktywnego wąskim kanałem pomiędzy domeną centralną a zewnętrzną, podobnie jak w przypadku innych hydrogenaz. Do tej pory rozwiązano jedynie struktury krystaliczne hydrogenaz [Fe] w formie otwartej, w kompleksie z substratem, jednakże wyniki badań spektroskopii UV oraz elektronowe widma dichroizmu kołowego potwierdzają zmianę konformacji enzymu [80].
Enzymy jako wysoce specyficzne, stereoselektywne i bezpieczne katalizatory, wykorzystywane są na skalę przemysłową do produkcji leków, żywności, środków chemicznych, a także w testach medycznych. Hydrogenazy znalazły zastosowanie jako biosensory, katalizatory w reakcjach syntezy związków chemicznych, takich jak NADPH, jak również jako elementy systemów zapobiegających biokorozji [50]. Obecnie prowadzi się intensywne badania nad możliwością wykorzystania hydrogenaz w nowoczesnej, niskoemisyjnej energetyce. Systemy oparte na tych enzymach wykorzystuje się do bioprodukcji wodoru, katalizy produkcji wodoru in vitro, zwłaszcza z wykorzystaniem metod fotoelektrochemicznych [31, 38, 47], oraz do wytwarzania energii elektrycznej w ogniwach paliwowych [34, 44, 96].
Obecnie, większość wodoru produkuje się w procesach reformingu, jednak badania nad zrównoważonymi metodami produkcji wodoru mogą uczynić z niego paliwo przyszłości. Wodór posiada wyższą gęstość energetyczną (142 kJ/g) niż metan (55,5 kJ/g) czy benzyna (47,3 kJ/g) [5], a jego spalanie nie powoduje emisji szkodliwych zanieczyszczeń i gazów cieplarnianych. Jako paliwo alternatywne, wodór może być stosowany w standardowej temperaturze i ciśnieniu, wykorzystywanym podczas typowych procesów termochemicznych [14], bezpośrednio w silnikach spalinowych. Może też zostać przekształcony w energię elektryczną za pomocą ogniw [61].
Ogniwo wykorzystujące elektrodę grafitową z immobilizowaną, oporną na działanie tlenu hydrogenazą [NiFe] jest w stanie osiągnąć napięcie 1V, nawet w obecności tlenu i tlenku węgla [89, 94]. W przeciwieństwie do elektrody platynowej, system wykorzystujący hydrogenazę jest tańszy i nie ulega zatruciu powszechnie występującymi zanieczyszczeniami. Hydrogenazy [FeFe] stosuje się w fotoelektrochemicznych ogniwach do produkcji wodoru, w których wydajność jest porównywalna z wydajnością elektrody platynowej [25]. Wodór można również produkować z pomocą systemów fotokatalitycznych, składających się z nanomateriałów sprzężonych z hydrogenazą, jak np. hydrogenaza pochodząca z Thiocapsa roseopersicina sprzężona z cząsteczkami CdS [55], czy hydrogenaza [FeFe] z Clostridium perfringens oraz hydrogenaza [NiFe] z Pyrococcus furiosus, adsorbowane na cząsteczkach TiO2 [52].
Hydrogenaza [NiFeSe], wyizolowana z Ralstonia metallidurans, immobilizowana na sensybilizowanych za pomocą barwnika nanocząsteczkach TiO2, pozwala na produkcję wodoru pod wpływem światła widzialnego z wody w temperaturze pokojowej [69]. Inne systemy do fotochemicznej produkcji wodoru opierają się na fuzji hydrogenaz z różnymi białkami, co umożliwia bezpośredni przepływ elektronów. Przykładem takiej fuzji może być hydrogenaza [NiFe] z Chromatium vinosum, którą sprzężono z tylakoidami szpinaku [3]. Hydrogenazę [FeFe] z C. reinhardtii, a także hydrogenazę [NiFe] z R. eutropha H16 połączono z cyjanobakteryjnym fotosystemem I, osiągając wydajność produkcji H2 odpowiednio rzędu 0,58 μmol H2·mg/(h·chl) oraz 30 μmol H2 · mg/(h · chl) [94].
Inny system, w którym katalizatorem produkcji wodoru jest hydrogenaza, zakłada całkowite utlenianie różnych cukrów, np. skrobi, celulozy, ksylozy czy sacharozy, do dwutlenku węgla i wodoru. W porównaniu do procesu fermentacji w komórkach (4H2/mol glukozy), w wyniku syntetycznej biotransformacji cukru z wykorzystaniem hydrogenazy SHI z P. furiosus otrzymuje się teoretycznie trzy razy więcej produktu (12H2/mol glukozy) [99].
Stabilizacja jonu wodorkowego przez jon żelaza hydrogenaz [FeFe] w trakcie katalizy mogłaby być wykorzystana do redukcji związków niepolarnych, a także jako model do tworzenia nowych selektywnych katalizatorów [16].
Hydrogenazy [FeFe] oraz [NiFe] są doskonałym przykładem konwergentnej ewolucji enzymów. Zarówno mechanizm działania jak i biosynteza enzymów należących do obu grup wykazują uderzające podobieństwa, ale też wyraźne różnice. Enzymy te, niezależnie od liczby podjednostek, wymagają obecności wielu białek umożliwiających prawidłowe przeprowadzenie procesu dojrzewania kompleksu. Niezbędne są również białka szkieletowe, w obu przypadkach należące do tej samej podklasy GTPaz aktywowanych przez litowce. Ponadto, w przypadku obu grup hydrogenaz, procesy tworzenia i transferu klastrów żelazowych cechują się pewnym podobieństwem, pomimo różnych substratów wykorzystywanych do biosyntezy.
Hydrogenazy są ważnym elementem szlaków metabolicznych litotrofów, autotrofów, metanogenów, aerobów oraz anaerobów [96]. Enzymy te katalizują odwracalną reakcję redukcji protonu do wodoru cząsteczkowego, która wydaje się być stosunkowo prosta. Jednakże, zarówno różnorodność filogenetyczna tej grupy enzymów jak i wieloczynnikowy proces ich dojrzewania odzwierciedlają złożoność procesów niezbędnych do przeprowadzenia tej reakcji w środowisku biologicznym. Z tego powodu, potencjalne wykorzystanie hydrogenaz do wydajnej, przemysłowej bioprodukcji wodoru wymaga szczegółowego zbadania i zrozumienia skomplikowanej sieci procesów zarządzania zasobami energetycznymi komórki.
Przedstawione powyżej przykłady zastosowania hydrogenaz w procesach produkcji energii charakteryzują się nadal zbyt niską wydajnością, co uniemożliwia wyjście poza skalę laboratoryjną. Potencjalne wykorzystanie hydrogenaz w systemach do bioprodukcji wodoru (w postaci rekombinowanego enzymu lub genetycznie modyfikowanych mikroorganizmów) wymaga rozwiązania problemów, związanych z ograniczeniami tych enzymów, takimi jak inaktywacja pod wpływem tlenu czy inhibicja wodorem [95]. Hydrogenazy posiadają właściwości katalityczne porównywalne z wykorzystywanymi obecnie katalizatorami, bazującymi na metalach szlachetnych. Mogą jednak pracować z dużą specyficznością w warunkach standardowej temperatury i ciśnienia. Rozwój metodologii oraz technik badawczych związanych z biotechnologią, metabolomiką oraz inżynierią białkową może w przyszłości pozwolić na szersze wykorzystanie hydrogenaz i bioprodukcję wodoru, jako czystego źródła energii.