The optimal outcome could be achieved if those involved “cooperated” by selecting strategies other than those prescribed by an equilibrium solution to a noncooperative game (Harsanyi and Selten 1988).
Elinor Ostrom, Presidential Address 1997, APSA
1. Introduction
The importance and effectiveness of community-level institutions for the management of natural resources is now widely recognized. For this and her many other contributions to the confluence between political science and economics, we are indebted to the late Elinor Ostrom. The institutional analysis and development (IAD) literature, as developed by Elinor Ostrom and others, proceeds from the empirical observation that noncooperative game theory has limited predictive power in this domain. Instead, the required explanatory power is supplied by face-to-face communication, group identity, trust, legal norms and rules, and social customs, conventions and norms (Ostrom 1990, 1998, 2007, 2010; Ostrom et al. 1994; Cardenas and Ostrom 2004; Janssen and Ostrom 2008).
Yet upon deeper reflection, these empirical findings – that communication and other modalities of social coordination induce departures from Nash predictions – are in fact to be expected. Nash equilibrium in pure strategies does not contain a mechanism by which players may coordinate on one particular strategy profile among multiple equilibria. Nash equilibrium in pure strategies has no mechanism for ‘selecting’ from among multiple equilibria. In contrast, Nash equilibrium in mixed strategies is unique, eliminating the equilibrium-selection problem. This resolution of the equilibrium-selection problem relies on players randomizing their strategy selections independently, with no scope for capturing coordination.
However with appropriate development of game structure, or alternatively with appropriate choice of solution concept, non-zero correlation between strategies – that is, coordination – is also consistent with noncooperative game theory. For instance Barany (Fudenberg and Tirole 1991; Barany 1992) and Forges (Forges 1990) show that extending a strategic-form game with 4 or more players to include a pre-play period of communication (i.e. cheap talk) yields a Nash equilibrium in the extended game which corresponds to a correlated equilibrium (CE) (Aumann 1974, 1987) of the strategic-form game. Indeed as Kar et al. (2010) note, numerous authors have derived answers to variations on the question, “Can any correlated equilibrium of a given normal-form game be generated as the equilibrium outcome of a communication process among the players?” Alternatively, the modeler may choose to work directly with the CE solution concept. Both of these approaches allow coordination to be explained within the noncooperative framework.
We argue that with tailoring and calibration of game-theoretic model structure to specific human-environment systems,1 noncooperative game theory offers a powerful and under-appreciated explanatory complement to the IAD literature. We demonstrate this explanatory power within the class of community-level natural resource management (NRM) institutions featuring an annual lottery for the allocation of fishing sites. Supported by detailed descriptive analysis, the IAD literature presents these lottery-allocation institutions as examples of successful local-level NRM (Ostrom 1988, 1990, 1998; Schlager and Ostrom 1992; Ostrom et al. 1994). But to date there is no published record of these lottery-allocation institutions being explicitly modeled as implementing noncooperative equilibria. We show that these local-level institutions are also supported by noncooperative game theory. Specifically, we show that the fishing-site lottery institution implements correlated equilibrium. This modeling approach also reveals the nature of the interdependence between the size and spacing of fishing sites and the in-use characteristics of fishing gear on the one hand, and the degree of formalization of property rights and the structural features of the NRM institution on the other hand.
We generalize Ostrom et al.’s (1994) assignment game to arbitrary degrees of catch displacement induced by fishing site ‘congestion’, and determine, for each region of the parameter space, whether the ‘self-enforcing’ requirement of correlated equilibrium is satisfied. In fisheries where differences in site-specific yields are small, allocation of fishing sites by lottery is self-enforcing in the sense that each fisher’s best response is to work his lottery-allocated site given that the other fishers do so as well. However, in fisheries where differences in site-specific yields are large, lottery allocation is not self-enforcing without additional structural features. Such additional structural features may take a variety of forms. The approach adopted here is empirical and analytical, in that we seek to answer the following question: Do the documented instances of community-level lottery-allocation institutions include structural features to render lottery allocation self-enforcing?
We restrict the general assignment game’s parameters to match the characteristics of inshore artisanal fisheries. This is the context in which lottery-allocation institutions have emerged in the fishing communities of (i) Canada’s Newfoundland coast, (ii) the French Mediterranean, (iii) Alanya on the coast of Turkey, and (iv) South India and Sri Lanka. In these fisheries, the sites are small and are worked daily. Detection of infringement is virtually immediate and requires no separate expenditure of effort or resources on monitoring.2 These features – the cost of monitoring approaching zero, the probability of detection approaching one, and the discovery time (lag) of infringement approaching zero – keep the transaction costs associated with lottery-allocation institutions very low, and thereby make the emergence of the institution possible.
With regard to additional structural features for meeting the self-enforcing requirement of correlated equilibrium, the four documented lottery-allocation institutions fall into two groups. In the first two cases (the Newfoundland cod-trap fishery and the French Mediterranean eel-trap fishery) both the lottery-allocation institution as well as the property rights allocated with it are formally underpinned (codified) in law. Furthermore, each lottery institution includes a device to attenuate differences between fishers’ expected catches, given that each fisher operates two traps allocated by the institution, and thereby reduces the incentive to deviate from the lottery-allocated sites. In the second two cases (the Alanya carangrid fishery and the South Indian and Sri Lankan shrimp stake-net fisheries) the lottery allocation determines the starting positions in a season-long site-rotation system. The fishing gear used in these fisheries is flexibly deployed and moved from one site to another. This not only opens up the possibility of more diverse and frequent infringement activity throughout the season, but also makes the site-rotation system possible. The site-rotation system itself has two distinct effects. Firstly, it increases the number of infringees that a single infringer transgresses against when maintaining a net at a particular site through the rotation.3 This increases the cost to the infringer of abandoning his lottery-assigned position in the rotation system. Secondly, it equalizes the ex post catch across all participating fishers,4 even though there may be large differences between site-specific catches.5 Both effects reduce the total incentive to deviate from the lottery-assigned position in the rotation system.
All four lottery-allocation institutions incorporate features to eliminate the private incentive to deviate from the lottery-allocated position, thereby fulfilling the self-enforcing requirement of correlated equilibrium.
The lessons of Elinor Ostrom’s work and of the IAD literature spawned from it are not only apt, but crucial: community-level institutions for NRM arise out of local, particularistic, often interdependent details, exploiting and being tied to specific features of the local ecology, geography, technology, and social and political structures. This also remains the case when seeking to apply noncooperative game theory to explain the emergence and persistence of community-level institutions for NRM. In the present analysis a collection of particularistic features prove crucial to defining game structure, ranging from the geography of the fishery, the size and spacing of fishing sites, to the nature of the fishing gear and its in-use characteristics. The institutions for NRM reflect and exploit these exogenous features with further, endogenously determined structural features, that individually reduce and jointly eliminate private incentives to deviate from the fishing location(s) assigned by the lottery draw.
The primary contributions of this paper lie in developing a novel application of CE and in drawing out the consequences of this application for re-establishing a role for noncooperative game theory in understanding community-level NRM institutions. This is a tentative first step moving beyond the Harsanyi-Selten received view (see epigraph). Furthermore, the analysis also carries implications for the theoretical framing of equity and fairness more generally. In the present analysis, devices that reduce differences between fishers’ catches serve the function of rendering the lottery allocation self-enforcing. Equity and fairness thus have instrumental value in supporting the emergence of Pareto efficient noncooperative correlated equilibrium institutions in the place of Pareto inefficient coordination-free institutions.
The sequel is organized as follows. Section 2 presents correlated equilibrium and relationship with Nash equilibrium. Section 3 presents Ostrom et al.’s (1994) assignment game and the parameter regions relevant to the self-enforcing condition. Section 4 introduces a generalization of the assignment game. Section 5 introduces the lottery-allocation institutions found in the fishing communities of Canada’s Newfoundland coast, the French Mediterranean, Alanya on the coast of Turkey, and South India and Sri Lanka. Section 6 applies the correlated equilibrium solution concept to the assignment game. Section 7 restricts the parameters of the assignment game to the inshore fisheries in which lottery allocation is employed, and revisits the self-enforcing condition in light of the parameterization. Section 8 concludes.
2. Preliminaries on correlated equilibrium
The simplest form of correlated equilibrium (CE) employs a publicly observable correlating device.6 A correlating device is a randomization device combined with a mapping between device outcomes and players’ strategies. In the direct correlating devices considered here, the randomization device’s outcome ‘assigns’ each player a unique strategy via a one-to-one mapping with strategy profiles. The combination of a randomization device and an assignment of strategies, one to each player under each device outcome, is called a CE if each player’s best response is to play the strategy assigned to him/her under the assumption that all other players play their respective assigned strategies.
For illustration, consider the following Battle of the Sexes (BoS) game.
| Match | Show | |
|---|---|---|
| Match | 6,2 | 0,0 |
| Show | 0,0 | 2,6 |
This game has three Nash equilibria: two pure strategy Nash equilibria (Match, Match), (Show, Show) and one mixed strategy Nash equilibrium (0.75M, 0.25M).7
In coordination games such as BoS, players can potentially improve their lot if pre-play communication is permitted and they are able to reach a non-binding agreement as to how to select an equilibrium that is favorable to both. If Andy and Beth can agree to condition their strategy choice on the outcome of a publicly observable random variable, then they can attain a new equilibrium in BoS that is (a) more equitable ex ante than either pure strategy Nash equilibrium (PSNE), and (b) a Pareto improvement over the mixed strategy Nash equilibrium (MSNE).
There are an infinite number of different random variables that would serve this purpose, but let us focus on ‘the toss of a fair coin’. If Andy and Beth agree to choose Match if the coin turns up Heads and Show if the coin turns up Tails, then by this method they implement an equally weighted average of the two PSNE.
| Match | Show | |
|---|---|---|
| Match | 0.5 | 0 |
| Show | 0 | 0.5 |
This correlated equilibrium is defined by its joint probability distribution over the set of strategy profiles
We easily see that Andy’s and Beth’s individual payoffs are given by 
The pre-play agreement – to choose Match on Heads and Show on Tails – is self-enforcing if and only if Andy and Beth construct a ‘lottery’ to choose between the PSNE (and only between the PSNE).7 Notice that, like the MSNE, the CE is symmetric in expectation, but that it delivers much larger expected payoffs and game ‘value’ (the sum of expected payoffs) than the MSNE.
If players condition their strategy choices on an observable random event they can achieve any payoff profile within (but not outside) the boundary of the set of all weighted averages9 between the PSNE and MSNE. This reflects the fact that MSNE is a limiting case of CE where the correlation between the players’ mixing probabilities is zero, and that in turn PSNE is a degenerate case of MSNE where players employ mixing probabilies of zero and one such that they play a single ‘pure’ strategy with probability one.
Table 1 presents the equilibria, expected payoffs and total game values for the different solution concepts. Evolutionary dynamics favor the symmetry of MSNE and CE (Hofbauer and Sigmund 1998). Individual and social concerns for fairness accentuate the focus on symmetric equilibria. Moreover, experimental work has shown that CE recommendations are followed when that equilibrium is payoff-enhancing relative to the available Nash equilibria (Duffy and Feltovich 2010). Thus, based on game value and symmetry (fairness), we expect humans to be non-indifferent between different solution types. It is straightforward to show formally that any strictly positive pair of weights on symmetry and game value yields a partial order in which CE ranks above MSNE and PSNE.
Table 1:
Solutions to the battle of the sexes game.
| Solution type | Equilibrium | Exp. payoffs | Value |
|---|---|---|---|
| PSNE | (Match, Match) | (6,2) | 8 |
| (Show, Show) | (2,6) | 8 | |
| MSNE | 0.75M, 0.25M | (1.5, 1.5) | 3 |
| CE-public | 0.5(M, M), 0.5(S, S) | (4,4) | 8 |
By construction, the definition of NE allows us to determine whether a particular strategy profile is stable and self-reinforcing, or not. However PSNE alone does not provide any guidance as to how players may coordinate on one particular equilibrium among multiple potential PSNE. In other words, PSNE does not solve the equilibrium selection problem. MSNE, as a refinement of PSNE, solves precisely this problem – but introduces an efficiency loss in terms of forgone ‘game value’ i.e. diminished social welfare (see Table 1). In contrast CE solves the equilibrium selection problem without sacrificing efficiency, and without introducing inequality.
These considerations were overlooked by generations of game theorists whose overriding desideratum was theoretical parsimony. More recent generations of experimental and behavioral game theorists have elevated the concern for descriptive validity to be on a par with parsimony. Empirically, inequality matters, as does efficiency. From the standpoint of modeling fishers’ behavior in NRM institutions10 it is essential to be able to explicitly capture (i) the process of how a particular equilibrium is selected, (ii) empirically well-substantiated inequality aversion, and (iii) the avoidance of efficiency losses. CE simultaneously satisfies these three desiderata, whereas PSNE and MSNE do not.
3. Assignment game
Ostrom et al. (1994) introduce and discuss several NRM games. They formalize the problem of choosing a fishing location as a single-stage simultaneous-move Assignment Game between Fisher 1 and Fisher 2, each of whom may choose between a high-yield fishing location, Site 1, and a comparatively low-yield fishing location, Site 2 (Ostrom et al. 1994, 58–61). This game structure (see Table 2) captures the essential characteristics of fishing grounds without open entry, i.e. fishing grounds that either (a) are sufficiently remote such that outside fishers find it impractical or uneconomical to visit, or (b) are closed to outside fishers through formal or informal property rights.
If only one fisher chooses Site 1, it yields an annual catch value of v1 > 0 in monetary units ($) net of costs. As this model does not attempt to capture the investment decision, the relevant costs here are variable costs, e.g. crew, fuel, and contribution to maintenance costs. Similarly, if only one fisher chooses Site 2, it yields an annual catch of (net) monetary value v2 > 0. Site 1 is a higher-yield fishing location in that v1 > v2. If both fishers choose Site 1, each receives v1/2. If both fishers choose Site 2, each receives v2/2. Solutions to the assignment game hinge on the relative magnitudes of the value parameters v1 and v2. Three regions of the parameter space are germane.
3.1. Large difference v1/2 > v2
In this region of the parameter space, the assignment game has a unique symmetric pure-strategy equilibrium: it is the dominant strategy of each fisher to choose Site 1. For illustration, consider v1 = 14 and v2 = 6 so that 14/2 > 6.
| Site 1 | Site 2 | |
| Site 1 | 7, 7 | 14, 6 |
| Site 2 | 6, 14 | 3, 3 |
Site 1 yields more regardless of what the other fisher chooses. Hence (Site 1, Site 1) is the unique dominant strategy equilibrium (DSE). However the NRM dilemma of Pareto inefficiency persists in this solution, in that the total value of the fishery under the DSE is lower than under either of the asymmetric strategy profiles (Site 1, Site 2) and (Site 2, Site 1).
3.2. Borderline v1/2 = v2
Along this knife-edge locus of parameters, the assignment game has three weak pure-strategy Nash equilibria (PSNE). For illustration, consider v1 = 12 and v2 = 6 so that 12/2 = 6.
| Site 1 | Site 2 | |
|---|---|---|
| Site 1 | 6, 6 | 12, 6 |
| Site 2 | 6, 12 | 3, 3 |
(Site 1, Site 1) is a weak DSE, while (Site 1, Site 2) and (Site 2, Site 1) are PSNE. The PSNE on the minor diagonal avoid the NRM dilemma in that the value of the game is maximized and the solution is Pareto efficient. They are, however, strongly asymmetric, which may make them unstable or fragile equilibria ‘in the field’.
Consideration of this game’s mixed strategy equilibrium yields a degenerate ‘mixed strategy’ where Site 1 is played with probability 1. This is simply the DSE, which yields a total expected value for the game (summed across both fishers) of 12. For this MSNE-DSE solution, the NRM dilemma remains.
3.3. Small difference v1/2 < v2
In this region of the parameter space, the assignment game has two asymmetric PSNE on the minor diagonal. For illustration, consider v1 = 8 and v2 = 6 so that 8/2 < 6.
| Site 1 | Site 2 | |
|---|---|---|
| Site 1 | 4, 4 | 8, 6 |
| Site 2 | 6, 8 | 3, 3 |
It remains an open question as to how the fishers coordinate on one or other of these equilibria. Yes, these are stable equilibria once the fishers are simultaneously considering the same equilibrium, but how do they arrive at considering one or other of these equilibria in the first place?
A unique solution is obtained with the mixed strategy Nash equilibrium (MSNE) concept. Each fisher leaves the other indifferent between his/her strategies by choosing Site 1 with probability 5/7 and Site 2 with probability 2/7. Each fisher’s expected payoff under this MSNE is 36/7 = 5.14 < 6, and the sum of the expected values is thus 72/7 = 10.29. Notice that we have gained uniqueness and symmetry in moving from the PSNE to the MSNE, but the total value of the game’s solution has dropped from 14 to 10.29. In the sequel it will be seen that uniqueness, symmetry and Pareto efficiency can be achieved with a CE solution.
4. General assignment game
In the interest of expositional simplicity, the structure of Ostrom et al.’s (1994) assignment game reflects a particular assumption concerning the displacement effect of congestion at a fishing Site. Specifically, the fisher retains the amount vi/ni of the potential catch vi at Site i∈{1, 2}, where ni∈{1, 2} is the number of fishers at that site.
More generally, the displacement effect of congestion is a function of the area of the fishing site ai∈ℝ+ (m2 units), the area requirements of the fishing gear being used gi∈ℝ+ (m2 units), as well as the number of fishers at that site ni. We define the general retention factor with the function ri = r(ai, gi, ni) that maps onto the closed interval between zero and one ri: ℝ+ × ℝ+ × {1, 2} → [0, 1]. This retention factor is applied to each of the payoffs multiplicatively as rivi, and has the following properties.
(1)
(2)
(3)
(4)
The retention factor is increasing with the area of the fishing site (1) and decreasing with the area requirement of the fishing gear in use (2). When a fisher is alone at a fishing site, the retention factor is unity as per equation (3), and when a fisher at a fishing site is joined by a second fisher, the retention factor is diminished as captured by inequality (4). Where ai grows large while gi becomes small, r(ai, gi, 2) → 1. This is the case for large offshore fishing areas. Conversely where ai becomes small relative to gi, r(ai, gi, 2) → 0. This is the case for small inshore fishing sites and trap berths. The general assignment game in Table 3 captures both of these extremes, along with all intermediate cases including Ostrom et al.’s (1994) ri = 0.5 specification, when reformulated in terms of this retention factor.
The results set out in Section 3.1 apply to the general assignment game with parameters (v1, v2, r1) satisfying the ‘large difference’ criterion r1v1 > v2. Similarly, the ‘borderline’ and ‘small difference’ results of Sections 3.2 and 3.3 apply to parameter combinations r1v1 = v2 and r1v1 < v2 respectively.
5. Property rights allocation by lottery
A lottery may be used not merely to suggest fishing sites, but to assign property rights to fishing sites (Schlager and Ostrom 1992). For instance, since the 1600s the French Mediterranean prud’homie guilds of the Languedoc-Roussillon region have used an annual lottery system to allocate access and extraction rights to fishing grounds (Frangoudes 2001; CRPMEM–Languedoc–Roussillon 2007; Grieve 2009). In Sri Lanka (Negombo Estuary) and the Indian States of Tamil Nadu (Pulicat Lake) and Kerala (Vallarpadam), the Padu system of community-based fisheries management employs a yearly lottery to allocate the starting positions in a stake-net rotation scheme for shrimping (Mathew 1991; Alexander 1995; Amarasinghe et al. 1997; Panini 2001; Lobe and Berkes 2004; Coulthard 2008, 2011). Prior to 2005 – by which time decades of tourism development ultimately displaced fishing completely – the fishers of Alanya, Turkey, allocated the season’s starting net fishing positions in a site rotation system by drawing lots in a coffee house before the beginning of the carangrid migration season (Berkes 1986). And prior to the cod-fishing moratorium introduced in 1992, inshore cod-fishing communities of Newfoundland allocated cod-trap berths through an annual community-organized draw (Dunne 1970; Faris 1972; Martin 1973, 1979; Phyne 1988, 1990; Matthews 1993; Dunne 2011). These lotteries allocate a fixed-term form of property rights – territorial use rights in fisheries (TURF) – covering both access rights and withdrawal rights at designated fishing sites. In the Newfoundland inshore cod fishery and the Languedoc-Roussillon eel fishery, both the TURF as well as the institution for its allocation are formally codified in law. In the Alanya carangrid fishery and the Indian and Sri Lankan shrimp fishery, both the TURF as well as the institution for its allocation enjoy legitimacy, but not full formal legal codification.
Fishers assigned TURF by lottery take varying levels of initiative and personal responsibility for patrolling and defending their property rights. Illegitimate (infringing) lines, nets or traps may be cut. Violating vessels may be identified and reported, or more confrontationally, driven off. Such confrontations may escalate from verbal exhortations through to, in the extreme, physical contact.
The probability of detecting TURF infringement depends on the size of the fishing area, the speed of the fishing vessel, the resources expended in monitoring, and the type of fishing technique in use. For a given level of monitoring effort, the probability of detecting infringement is lower for larger offshore fishing areas than for smaller inshore net sites and trap berths. For inshore sites and berths, monitoring can be costless and 100% effective.
This is the case in the Languedoc-Roussillon eel fishery, Alanya coastal carangrid fishery, the Newfoundland inshore cod fishery, and the Padu stake-net shrimp fisheries of southern India and Sri Lanka. In the Languedoc-Roussillon eel Prud’homies, the eel traps function in pairs set by two different fishers, and these two fishers aid and discipline each other. To match eel movement patterns, traps are inspected every two days during the waiting phase, and then emptied daily during the eel movement phase. If an outside fisher sets up a trap in the site, this is detected costlessly and effectively, immediately. In the pre-2006 Alanya seasonal carangrid fishery, the closely-spaced inshore fishing sites were worked daily, so interlopers were detected immediately and costlessly. Infringers were dealt with by the community in the coffee house, “sometimes with the threat of violence” (Berkes 1986, 222). In the pre-1992 Newfoundland inshore cod fishery, traps were hauled (i.e. emptied) twice per day, so monitoring was accomplished costlessly in the course of normal hauling, achieving 100% detection rate. There is evidence that direct confrontation between fishers was avoided, and that instances of infringement were notified to the Federal Fisheries Officer, who would act as an impartial mediator in resolving the dispute (Martin 1973, 1979; Phyne 1990). In the stake-net lines of the Negombo Estuary (Sri Lanka), Pulicat Lake (Tamil Nadu, Indian State of) and Vallarpadam (Kerala, Indian State of) fishers are in even closer proximity to each other than in Alanya. Failure to comply with the allocated position in the rotation scheme is noticed not only by one other fisher (the infringee), but fishers to the left and right as well. Consequently detection of infringers is immediate and costless. Disputes that fail to be resolved informally are taken to the elected leaders of the relevant sangham (fisher’s ‘society’ or ‘association’) who act as arbitrators (Lobe and Berkes 2004).
6. CE of the assignment game
CE solutions may be symmetric or asymmetric, but payoff-dominant CEs offer symmetric ex ante payoffs – i.e. symmetric payoffs in expectation prior to the realization of the randomization device – and improve the total expected value of the game over that obtainable with MSNE.
Consider the three parameter regions presented above. Let us take these in reverse order, beginning with the small-difference case.
6.1. Small difference
Consider an assignment – either (Site 2, Site 1) or (Site 1, Site 2) – achieved with the toss of a fair coin. This induces the joint probability distribution (π11, π12, π21, π22) = (0, 0.5, 0.5, 0) on the strategy space. Upon the realization of Heads, Fisher 1 is assigned Site 2 and Fisher 2 is assigned Site 1; the assignments are reversed for Tails.
| Site 1 | Site 2 | |
|---|---|---|
| Site 1 | 4, 4 (π11 = 0) | 8, 6 (π12 = 0.5) |
| Site 2 | 6, 8 (π21 = 0.5) | 3, 3 (π22 = 0) |
This correlated assignment of fishing Sites is self-enforcing. Note that the assignment game payoff matrix has not been modified in any way to account for fisher-specific property rights (TURF) or the monitoring thereof. Here where the difference in bountifulness between the two Sites is small (v1/2 < v2), the assignment game has a fishery value-enhancing CE solution in the absence of fisher-specific property rights.
Fisher 1’s best response to Fisher 2 taking up Site 1 is to fish in Site 2 (6 > 4), consistent with his assigned fishing site under Heads. In turn, Fisher 2’s best response to Fisher 1 taking up Site 2 is to fish in Site 1 (8 > 3), consistent with his assigned fishing site under Heads. Due to the symmetry of the payoff matrix, the assignment of fishing sites under Tails is similarly self-enforcing.
The ex ante expected payoffs under this CE solution are symmetrically 7 for each fisher. Moreover, the total expected value of the game under this CE solution is 14, which is an improvement over the 10.29 achieved under the (similarly symmetric) MSNE.
With reference to the general assignment game in Table 3, this small difference case is where r1v1 < v2. Under the CE solution, the total value (the sum of the expected payoffs of both players together) of this small difference case of the general assignment game is (v1 + v2), which is Pareto efficient.
Here the CE achieved with a symmetrical lottery mechanism increases the total value of the fishery. This aspect of the allocation of fishing sites by lottery is an upshot of the CE formulation, and provides a novel insight into why fishing communities adopt lottery mechanisms. Not only do fishing communities improve ex ante equity and fairness by adopting a lottery-allocation mechanism, but they also increase the total value of the fishery. And in the small difference (r1v1 < v2) case, neither formal nor informal property rights are needed to underpin the CE solution.
6.2. Borderline
As in the small-difference case, here in the borderline case v1/2 = v2 (in general r1v1 = v2) the CE is self-enforcing without the need to introduce property rights and the associated costly monitoring and defense of TURF. For this locus of parameters, the CE solution using a public randomization device (e.g. a lottery) improves the value of the fishery over that achievable under the NRM-dilemma-plagued DSE. The CE solution does not increase the total value of the fishery over the non-unique PSNE, but it substitutes a strongly ex ante asymmetric allocation with an allocation that is ex ante symmetric.
Again we employ a symmetrical lottery between the minor diagonal strategy profiles (Site 2, Site 1) and (Site 1, Site 2) with the payoffs (6, 12) and (12, 6) respectively. Assign (Site 2, Site 1) to ‘Heads’ and (Site 1, Site 2) to ‘Tails’.
| Site 1 | Site 2 | |
|---|---|---|
| Site 1 | 6, 6 (π11 = 0) | 12, 6 (π12 = 0.5) |
| Site 2 | 6, 12 (π21 = 0.5) | 3, 3 (π22 = 0) |
Inspection of the payoff matrix confirms that neither fisher has an incentive to deviate from his/her assigned fishing site under either Heads or Tails. The strategy assignments are thus self-enforcing, which confirms the 50%–50% lottery between (Site 2, Site 1) and (Site 1, Site 2) as constituting a CE.
The total value of the fishery under this unique ex ante symmetric CE solution is 18, which equals the total value of the fishery under the ex ante asymmetric and non-unique weak PSNE solutions (18), but constitutes an increase over the value of the fishery under the symmetric DSE solution (12).
In the notation of the general assignment game in Table 3, the value of the fishery in this borderline case (r1v1 = v2) is v1 + v2.
6.3. Large difference
A publicly observable randomization device is not in itself sufficient to ensure a self-enforcing CE in this region of the general assignment game parameter space where the high-yield Site is more than
times as bountiful as the low-yield Site. Here the existence of a CE lottery solution requires property rights, and hinges crucially on the costs and effectiveness of monitoring and defending TURF. Here, the outcome of the lottery not only coordinates fishers’ site choices, but allocates property rights to each fisher. The payoff matrix of the general assignment game changes with the introduction of property rights and the associated monitoring actions undertaken by the TURF holders.
Firstly, we distinguish between legitimate fishing at Site 1 and illegitimate fishing at Site 1. Secondly, illegitimate fishing at Site 1 may be either undetected or detected by the legitimate Site 1 fisher. Thirdly, detection is neither automatic nor deterministic, but probabilistic. The probability of detection pd ∈ [0, 1] is a function of the area of the fishing site a1 ∈ ℝ+ (m2), the area requirements of the fishing gear g1 ∈ ℝ+ (m2), the speed of the legitimate Site 1 fishing vessel s1 ∈ ℝ+ (km/h), and the level of resources (fuel, crew hours) devoted to monitoring m1 ∈ ℝ+ ($) by the legitimate Site 1 fisher. Thus the probability of detecting the illegitimate fisher is given by the function pd = pd(a1, g1, s1, m1) that maps onto the closed interval between zero and one
This function has the following properties.
(5)
(6)
(7)
(8)
The probability of detection is decreasing with the area of the fishing site (5) and is increasing with the area requirements of the fishing gear (6), the speed of the legitimate fisher’s vessel (7), and the resources devoted to monitoring (8). This function embraces cases where the area of the fishing site a1 is very large relative to the values of g1, s1 and m1, whereby the probability of detection becomes very small pd → 0, all the way through to cases where the area of the fishing site is small relative to the values of g1, s1 and m1, whereby the probability of detection becomes large pd → 1.
The assignment game with property rights (see Table 4) combines the distinction between legitimate and illegitimate Site 1 fishing with probabilistic detection of illegitimate fishing. Within the current single-stage assignment game framework, the fisher who is detected in illegitimate Site 1 fishing is sent back to port with a payoff of zero – due to having his net or trap line cut, due to being ‘driven off’, or due to the fishing community (or an official of the state) enforcing TURF. This is how, in the present single-stage game, we operationalize property rights. Conversely, the illegitimate Site 1 fisher will remain undetected with probability (1 − pd), retaining the illegitimate catch of r1v1.
As a1 and g1 are present in both the detection probability pd and the retention factor r1 functions, these variables drive a comonotonic relationship between (1 − pd) and r1. Holding s1 and m1 constant, (1 − pd) → 1 as r1 → 1 and respectively (1 − pd) → 0 as r1 → 0. Since our present interest is not in the fishing-vessel investment decision, the speed variable s1 may be viewed as exogenous along with the given characteristics of the fishery a1 and g1. The remaining variable, m1, is an endogenous choice variable of the legitimate Site 1 fisher, and affects not only the illegitimate Site 1 fisher’s payoff through the detection probability, but also the legitimate Site 1 fisher’s payoff r1v1 − m1.
Within this payoff structure of the assignment game with property rights a public randomization device can induce a self-enforcing CE with a 50%–50% lottery between the (F1:S1, F2:S2) assignment and the (F1:S2, F2:S1) assignment.
This induces a self-enforcing CE when Fisher 2 (symmetrically Fisher 1) has no incentive to deviate from the allocated fishing site. Thus the self-enforcing condition has two components. In the (F1:S1, F2:S2) assignment the self-enforcing condition on Fisher 1 is
(9)
while the self-enforcing condition on Fisher 2 is
(10)
(11)
Again due to the ‘large difference’ condition r1v1 > v2 > 0, the ratio term in (11) is less than one
ensuring that pd ∈ (0, 1). The greater the yield disparity between Site 1 and Site 2, the greater the probability of detection pd needs to be in order to ensure that the lottery allocation is self-enforcing. In (10) the inequality is satisfied for ‘small enough’ values of (1 − pd)r1. As noted above, a1 and g1 underpin a comonotonic relationship between (1 − pd) and r1, and so the self-enforcing condition in (10) is satisfied for fisheries with a1 small enough relative to g1. Similarly, the resources that the legitimate Site 1 fisher commits to monitoring m1 also affect pd.
Ultimately, a precise answer to whether the self-enforcing conditions are satisfied turns on the specific functional forms of the retention factor r(ai, gi, ni) and the probability of detection pd(a1, g1, s1, m1) along with the specific exogenous parameter values a1, g1 and s1 of the fishery and the endogenously determined optimal value of m1.
However empirical research has not yet advanced to the point where specific functional forms for r(ai, gi, ni) and pd(a1, g1, m1) are known. Fortunately, the self-enforcing condition may be evaluated directly for the inshore artisanal fisheries discussed in Section 5.
7. Parameter restrictions to inshore artisanal fisheries
The fisheries employing lottery schemes for the allocation of fishing sites all share a number of common characteristics (see Section 5). They are inshore fisheries rather than offshore fisheries. The yield of the best fishing sites is more than two-fold that of the worst. The fishing sites are small relative to the area requirements of the fishing gear. And illegitimate fishing attempts (TURF violations) are detected immediately and within the course of normal fishing routines, removing the need to expend resources on the monitoring of property rights. These characteristics entail particular restrictions on the parameters of the assignment game with property rights (see Table 4).
Table 4:
Assignment game with property rights: (a) Fisher 1 draws Site 1; (b) Fisher 1 draws Site 2.
| S1 – illegit | S2 | S1 | S2 | ||||
|---|---|---|---|---|---|---|---|
| S1 | r1v1 − m1, (1 − pd)r1v1 | v1 − m1, v2 | S1 – illegit | (1 − pd)r1v1, r1v1 − m1 | v1, v2 | ||
| S2 | v2, v1 | r2v2, r2v2 | S2 | v2, v1 − m1 | r2v2, r2v2 |
But there are also differences among lottery-allocation fisheries. The most consequential difference concerns the nature of the physical, technical, and operating characteristics of the fishing gear itself. The fisheries based on portable and easily re-deployable fishing gear are also those fisheries that employ a rotation system without formal legal underpinning to the lottery-allocation mechanism. Calibration to portable fishing gear and rotation of fishing sites offers a CE-based explanation for the absence of (the need for) legal codification of the lottery-allocation mechanism in these fisheries.
7.1. Parameters
Restriction 7.1 The detection probability pd is in B(1;δp), the δp-neighborhood of 1.

Since the lottery-allocated fishing sites of Newfoundland, Alanya, the French Mediterranean, South India and Sri Lanka are only large enough for effective exploitation with a single net or trap, d(pd, 1), the difference between the probability of detection and 1, is arbitrarily small. That is, δp is arbitrarily small.
Restriction 7.2 The cost of monitoring m1 is in B(0;δm), the δm-neighborhood of 0.

Since detection of TURF violators is accomplished in the course of normal tending of traps and nets in the lottery-allocated fishing sites of Newfoundland, Alanya, the French Mediterranean, South India and Sri Lanka, d(m1, 0), the difference between the cost of monitoring m1 and 0, is arbitrarily small. In other words, δm is arbitrarily small. With m1 calibrated in this fashion, the legitimate Site 1 fisher does not dissipate the surplus of Site 1 on monitoring TURF.
Restriction 7.3 The retention factor r1 is in B(0;δr), the δr-neighborhood of 0.

Whereas detection probability pd is a decreasing function of the disparity between the size of the allocated fishing area a1 and the area requirement of the fishing gear g1, the retention factor r1 in parameter Restriction 7.3 is an increasing function of the disparity between a1 and g1. Since the lottery-allocated fishing Sites are small relative to the area requirements of the fishing gear in Newfoundland, Alanya, the French Mediterranean, South India and Sri Lanka, d(r1, 0), the difference between the retention factor r1 and 0 is small. Nevertheless the supremum δr of this difference need not be arbitrarily small.
7.2. In the presence of formally codified property rights
In the Newfoundland cod-trap fishery and the French Mediterranean eel fishery, the fisher community’s exclusive rights to defined fishing territory and the allocation of community fishers to particular fishing sites by lottery are underpinned by formal legal codification. For these cases, the parameter restriction 7.2 entails that Fisher 1’s self-enforcing constraint (9) holds, while the parameter restrictions 7.1 and 7.3 entail that Fisher 2’s self-enforcing constraint (10) holds – and therefore the lottery-allocation constitutes a correlated equilibrium.
However, the lottery-allocation institutions of Newfoundland and the French Mediterranean also include devices to attenuate differences between fishers’ expected catches. The cod-trap committees of Newfoundland employed two draws, where the first draw was for the ‘prime berths’, and the second was for the next-best class of berths.10 In the lotteries for eel trap sites of the Languedoc-Roussillon Prud’homies, each fisher draws a number. In the first round, the fisher who draws the number 1 chooses from among the available trap sites first. The fisher who draws the number N, where N is the total number of participating fishers, chooses last from among the available trap sites. In the second round the order is reversed: the fisher with the number N chooses first, while the fisher with the number 1 chooses last.
7.3. In the absence of formally codified property rights
Whereas the Newfoundland inshore cod fishery and the French Mediterranean eel fishery employ not-easily-moved traps that are set in a fixed berth for the duration of the season, the Alanya carangrid fishery and the South Indian and Sri Lankan shrimp fisheries employ a rotation system made possible by portable nets. In these latter fisheries – in which formal legal codification of property rights is absent – the position allocated by lottery pertains only to the starting position on the first day of the season. On each subsequent day the positions are shifted by one increment in a predetermined direction. Thus the distinction between fisheries employing formal legal codification and those which do not extends to differences in the properties of the fishing gear and the operating practices required for achieving efficiency with this gear.
The general assignment game structure is not directly applicable to fisheries composed of closely spaced sites worked with portable fishing gear that may be removed, relocated, and re-set – conveniently and economically – on a daily basis. This flexibility reflects not only the technical and physical characteristics of the gear itself, but also derives from the particular characteristics of efficient operating practice with the gear.
In a fishery with considerable differences between the yields of different fishing sites, relocation flexibility lowers the threshold for opportunistic gaming of fishing sites. The combination of lottery allocation with rotation elegantly resolves the problem of continual gaming of fishing sites within the season and the associated fishery value-decreasing costs. Before we turn our attention to the multi-fisher, multi-site case, let us first develop intuition with a minimal augmentation of the assignment game to include rotation.
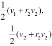
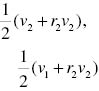
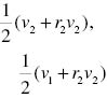
In this modified assignment game with rotation (see Table 5), each fisher has two new strategies. S12: fish at Site 1 in the first half of the season and fish at Site 2 in the second half of the season. S21: fish at Site 2 in the first half of the season and fish at Site 1 in the second half of the season. When asymmetrically matched as (S12, S21) or (S21, S12), these strategy profiles constitute a ‘rotation system’ in this pared-down 2-player, 2-site game. In both rotation strategy profiles each fisher completes the season having appropriated 1/N (i.e. half) of the annual yield from each fishing site. Therefore payoffs under the rotation system are not only symmetric ex ante, but also symmetric ex post when within-season yield variation between sites is absent.
Table 5:
General assignment game with rotation.
| S11 | S12 | S21 | S22 | |
|---|---|---|---|---|
| S11 | r1v1, r1v1 | ![]() | ![]() | v1, v2 |
| S12 | ![]() | ![]() | ![]() | ![]() |
| S21 | ![]() | ![]() | ![]() | ![]() |
| S22 | v2, v1 | ![]() | ![]() | r2v2, r2v2 |
The rotation system involves continual contact, coordination, and close-proximity work with the other fishers throughout each year’s season. Characteristically, outward mobility from the community of fishers participating in the site rotation arrangement is low. Hence a participating fisher will spend not only the current season in continual contact, coordination, and close-proximity work with the same set of fellow fishers, but this peer group will remain a fixed accompaniment over the course of an entire productive working life as a fisher. ‘Good standing’ within the peer group – inclusive of dimensions such as goodwill, trust, and reputation – in general terms reduces a fisher’s operating and coordination costs.
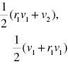
In generalizing the assignment game to a rotation system comprised of i ∈ {1, 2, …, I} fishing sites and n ∈ {1, 2, …, N} fishers (I = N), it is necessary to account for the costs of deviating from the assigned position in the rotation system. Such costs might in principle be accounted for within the retention factor function. However in the interest of clarity and explicit consideration of these costs, here they will not be ‘netted out’ of the retention factor. Let k denote the index of the fishing site k ∈ {1, 2, …, I} that has the highest yield
(12)
Over a season consisting of N days, when all fishers conform to their lottery-assigned position within the rotation system, each individual fisher appropriates
(13)
The strategy of abandoning the assigned position in the rotation system in favor of Site k for the entire season accrues the payoff
(14)
where ck(n) is the incremental cost to the infringer – conceived as the present economic value of the loss of goodwill, trust and reputation – of the nth infringement at the high-yield site k. This infringer cost is increasing in the number of other fishers infringed upon
at a rate that is increasing in the number of infringees
11
The self-enforcing condition of the rotation system assignment game is given by
(15)
The intuition of this condition becomes clear when it is specialized to the I = N = 2 case, yielding r1v1 − 2c1(1) < v2. That is, it differs from the 2-fisher general assignment game (see Table 3) self-enforcing condition only by the infringer-cost term –2c1(1) < 0 appearing on the left-hand side. This infringer cost makes it possible for the self-enforcing condition to be satisfied – and correlated equilibrium to be supported – in the ‘large difference case’ defined by r1v1 > v2. The larger the rotation system becomes in terms of the number of different sites and participating fishers, the larger the total infringer cost
for usurping the high-yield site k becomes. Owing to the convexity of the infringer cost in the number of infringees
larger rotation systems can support CE in fisheries with a proportionately greater disparity between the yields of different sites.
8. Conclusion
Community-level NRM institutions that allocate fishing sites by lottery may be understood as effectuating noncooprative correlated equilibria in generalized assignment games. The lottery not only achieves procedural fairness and ex ante equity (ex post equity in the case of rotation systems), but also increases the total value of the fishery over non-correlated (Nash equilibrium) mechanisms.
The present work attempts to re-connect the noncooperative game theoretic literature with the IAD literature on community-level NRM institutions. Modest conceptual reframing is due on both sides. One of the lessons of Elinor Ostrom’s work, and of the IAD literature more broadly, is that an array of different aspects of local context are crucial to understanding community-level NRMs. This is also true for the application of noncooperative game theory to local NRM, insofar as abstraction from contextual features entails overlooking solution-relevant details. And whereas direct application of Nash equilibrium fails to predict the empirical effects of permitting communication (cheap talk) in NRM games (Ostrom 2010, 641), this is not tantamount to falsification of noncooperative game theory as a whole. Rational noncooperative game play is not uniquely identified with – nor defined by – Nash equilibrium. Correlated equilibrium, which is a noncooperative solution concept, offers precisely the facility required to represent coordination arising out of cheap-talk communication.
The present application of correlated equilibrium indicates that there is also scope for the experimental literature on social and NRM dilemmas to be revisited. However the flexibility and adaptability of correlated equilibrium, which reflect its generality as a solution concept, also reduce the crispness of the hypotheses that may be derived from it. The correlated equilibrium solution concept does not stipulate a specific form of objective function to be optimized in order to identify the correlated joint distribution over strategy profiles. Indeed a large variety of objective functions – e.g. ranging from social welfare to utilitarian, libertarian or egalitarian objective functions – are equally legitimate, and it is not clear that any one objective function may be singled out on a priori grounds. Rather than merely revisiting the data of existing experiments, new experiments are required, building upon the auspicious start in Duffy and Feltovich (2010), that manipulate directly the objective function employed by experimental subjects in social and NRM dilemmas.
The usefulness of CE as a formal lens through which to understand coordination in NRM extends beyond explicit lottery-allocation institutions and inshore fisheries. For instance Lansing and Miller (2005) present a game-theoretic model which distils the essential structure of the rice-planting-timing problem of Balinese subak communities. This game features two pure-strategy Nash equilibria, but the formal theory of Nash equilibrium is silent on which of these two equilibria will obtain. For a millennium, this coordination problem has been resolved through an elaborate system of water temples and associated rituals. In the Indian Icaka variant of the luni-solar calendar used by the Balinese, the relationship between months and observed seasons fluctuates, with the result that “the man in the rice field is seldom sure exactly which month it is” (Lansing 1987, 331). There is considerable calendar uncertainty, not only in absolute terms, but also in relative terms between subak communities: “Well, it may be the tenth month down there, but around here it’s still the ninth month!” (Lansing 1987, 331). This uncertainty is resolved in an annual water-temple ritual gathering, which allows the subak to coordinate the commencement of their first planting season. From a formal standpoint, attending the annual water-temple ritual meeting serves the function of observing the realization of a randomization device to effectuate correlated equilibrium. As Leeson (2014) has shown for the social institution of oracles, the absence of a physical randomization device does not preclude the formal properties of correlated equilibrium from being satisfied, nor does it preclude attendant insight into the noncooperative-game-theoretic role of the operative social institutions.
Acknowledgements
Above others, the author wishes to thank Elinor Ostrom for her comments, suggestions, and encouragement. It is my sincere hope and intention that the present paper will continue and extend her intellectual legacy. Others to whom I am indebted for critical input include: Roger Myerson, Herb Gintis, Antonio Cabrales, Greg Pollock, Edella Schlager, Daniel Cole, Sarah Coulthard, John Phyne, Fikret Berkes, Eric Dunne, Michael Wernerheim, Joseph Wroblewski, Chris Grieve, Simon Woodsworth, Sebastian Mathew, Brian O-Riordan, Rob van Ginkel, Nick Feltovich, Peter Vanderschraaf, Rosemarie Nagel, and three anonymous referees. The usual disclaimer applies.
Notes
[1] The latter are also known as social-ecological systems (Ostrom 2009).
[2] This is in contrast to large offshore fishing sites, for which these transaction costs would be considerable.
[3] In an institution without rotation, an infringer moves his net to a better site and transgresses against the single fisher who was legitimately allocated that site. Even if the infringer maintains his net at that site for the rest of the season, the count of the number of fellow fishers he has infringed against remains at ‘1’. In an institution with rotation, the infringer who abandons his allocated site for a better site infringes against that day’s legitimate site fisher. If the infringer maintains his net at the same site the following day, he infringes against that day’s legitimate site fisher (who is one position ‘behind’ the previous day’s legitimate fisher in the rotation order). With every additional day, the infringer infringes against yet another one of his fellow fishing-community members.
[4] This holds if all fishers maintain their gear to the same standard, have the same level of skill, and exert the same level of effort at each site (though not necessarily the same level of effort across sites). Clearly, differences in ex post catch will emerge if there are differences in gear maintenance, skill or effort. Since each fisher’s total ex post catch is increasing in these variables, each fisher has an incentive to attend to these variables up to equalization of marginal benefit with marginal cost. Importantly, rotation preserves this incentive effect that would be lost if the ex post equalization were implemented by catch pooling.
[5] This ex post equalization property is predicated on the absence of significant intra-season variation in the yield between sites that is not suppressed by the averaging induced by the daily site increments of the rotation system.
[6] Luce and Raiffa (1957) provide the earliest published account of tossing a fair coin to decide between Nash equilibria. “Thus, by correlating their mixed strategies, which is possible with preplay communication, the players are able to enlarge their potential payoff set in this game (Luce and Raiffa 1957, 116). Aumann (1974) was the first to formally develop the CE solution concept.
[8] In technical jargon, it is self-enforcing if they restrict the support of the randomization device to the set of PSNE.
[10] As opposed to game theory instructors in abstract, context-free, application-remote stylized games.
[11] The best N berths were collected into the first draw, where N is the number of eligible fishers. The next-best N berths were collected into the second draw.
[12] One way of analytically motivating the convexity of infringer cost – though certainly not the only way of doing so – can be gleaned from the combinatorics of coalition formation. Within the inshore fishery communities we study here, fishers do not work solely in isolation all the time. Instead, there are certain procedures – especially in cases of accident or emergency – where fishers within the community rely on each other for help. We can think of infringing upon a fellow fisher as ‘burning bridges’ with that fisher, whereby that fisher is
less likely to acknowledge the infringer to be in good standing with the community, and
less likely to help the infringer when the infringer has occasion to need help.
Infringing against successive fishers has a cumulative effect within the community. Let 2n − 1 be the number of non-empty coalitions among the infringee fishers. Then the infringer cost may be defined as ck(n) = 2n − 1, which yields 












