1. Introduction
In recent decades, the scope of agricultural policies has greatly expanded to include the management of a wide range of natural resources in rural areas such as water and biodiversity (Bryan et al. 2011). In this field, agricultural policymakers are increasingly interested in the potential use of collective action as an effective tool to reach policy objectives (OECD 2013). In particular in Europe, measures addressing biodiversity protection and water management (quality and quantity) include collective conditionality constraints that link the eligibility for funding to the emergence of cooperation and coordination among farmers (Dupraz et al. 2009; Kuhfuss et al. 2016).
The seminal book by Ostrom (1990) has proved to be a crucial step forward in the analysis of collective action and has contributed greatly to a renewed interest in this topic. Her studies challenged the once dominant view that collective action is doomed to fail in the absence of a well-functioning system of property rights, or a centralised top-down management (Hardin 1968). Studies on collective action have indeed shown the possibility for self-organised systems to successfully manage natural resources (e.g. Rasch et al. 2016). The study of collective action on natural resource management requires a system perspective that takes both the ecological and social contexts into account. The combination of the socio-economic actors and the ecological environment, and their complex relationships, is often indicated by the term ‘socio-ecological system’ (SES) (Berkes et al. 2000). Irrigation systems are an exemplary case of a complex SES given that they encompass close and rapid links between the natural resource (water) and the economic structure (agriculture), and hard (canal) and soft (distributional rules) human made infrastructure (Yu et al. 2015).
A number of studies have thoroughly investigated the determinants of the success of reaching and managing cooperation. A list of design principles was suggested by Ostrom (1990) and it has largely been empirically confirmed (Cox et al. 2010; Baggio et al. 2016). Among others, one of the findings is that the distribution of resources and benefits (or costs) appears to be more relevant than previously thought (Janssen 2015). Several laboratory experiments indicate that inequality in earning is affected, for instance, by asymmetric access to key resources and in turn that it influences individual contributions of worst-off players to public good (e.g. Janssen et al. 2011; Anderies et al. 2013), and the acceptance of institutional arrangements (e.g. Kube et al. 2015).
Public policies are deemed to be important in the SES literature; yet they are de facto not explicitly modelled (Anderies and Janssen 2013), at least in the most common form (e.g. through incentives/subsidies, notably in Europe). Some of the findings of the SES literature, however, have implicitly relevant implications for the design of agricultural policies. For example, if considerations on collective action are embedded in the formulation of rural policies, the distributional effect of rural policies, and of their design elements seems to become an issue to be paid attention. Distributional considerations are rarely addressed in the literature on agri-environmental policies (Ohl et al. 2008) even though they are acknowledged to be relevant (Segerson 2013; Wätzold and Drechsler 2014).
In this paper, we investigate the distributional impact of rural policies that focus on collective action. More specifically we assess ex-ante how the imposition of different levels of collective conditionality constraints linked to policy incentives affects the distribution of costs within a group of heterogeneous farmers that cooperate through investment in a collective reservoir and in the related water distribution network. In particular, we focus on the distributional effect of the minimum participation rule (MPR), the threshold, in this case set at the quantity of water stored, above which a given project is eligible for financial support. Moreover, we explore how this design element interacts with: 1) the spatial spread of farms and associated asymmetric resource access, and 2) the social environment (i.e. the degree of collaboration among farmers).
The methodology we employ is developed by way of a cooperative game theory (CGT) framework. First, we formulate the characteristic function (CF) of the game, namely the value that any possible group of people cooperating, hereinafter a ‘coalition’, can obtain. In our case, the CF is represented by the minimum cost that a group of farmers faces in order to build a reservoir. We assume that the CF is affected by the policy scheme, the geography of the farms (modelled as nodes of a network) and the social environment. Second, given the CF, we use the Shapley value (SV), one of the most important solutions developed by CGT (Shapley 1953), to assess how farmers are likely to distribute the cost of investments in infrastructure. The SV can be interpreted as the expected value of cooperating when social preferences on institutional arrangements are unknown (Slikker and van den Nouweland 2012). In this case, we use the SV in a positive manner, to have a proxy for the likely distribution of costs faced in a common project, under different policy and social scenarios. Since we empirically parameterise the analysis, and given the difficulty of computing the SV for a large number of players, the assessment of the SV is approached by employing a sampling procedure (Castro et al. 2009). We also statistically analyse the model results to have a better understanding of the determinants of the SV attributed to the farmers.
The analysis is empirically based on a case study in the Province of Ravenna, in Emilia-Romagna (E-R), Italy. The case study is selected because the E-R Rural Development Plan (RDP) 2007–2013, one of the most noteworthy agricultural policies in Europe, through Measure 125, provides financial support for the construction of reservoirs with an eye to reducing the pressure on groundwater resources (E-R 2015). Such a measure explicitly defines two minimum participation constraints for the eligible projects (on the number of users, 20 farmers, and on the capacity of the reservoirs, 50,000 m3). Irrigation infrastructures such as reservoirs, in addition to being SES typical, are ever more important as factors such as climate change are increasingly putting pressure on water resources (Galelli and Soncini-Sessa 2010; Xie and Zilberman 2016).
This paper seeks to combine the lessons of the SES literature with the recent interest in embedding collective approaches in agricultural policies aimed at natural resource management in rural areas. On one hand, the paper adds the agricultural policies to the issues that are usually analysed by the SES literature. On the other hand, it introduces distributional considerations to the elements that are most likely to be addressed in the design of collective conditionality constraints in rural policies. MPR in other contexts are suggested to influence the bargaining power of players and are thus likely to have distributional effects (McEvoy et al. 2015; Kesternich 2016).
Distributional issues related to water management have long been analysed in the context of both water allocation and infrastructure (investment and maintenance) cost sharing (Ostrom 1990; Dayton-Johnson 2003). For example, from a theoretical point of view, Marchiori (2014) assesses how sharing rules are determined by the degree of complementarity in individual efforts toward the irrigation infrastructure maintenance. Using both a theoretical and an empirical model, Dayton-Johnson (Dayton-Johnson 2000) analysed the choice of 48 farm managed irrigation systems in Mexico over sharing rules, finding that inequality strongly encourages the choice of a proportional allocation rule. In real case examples, a number of rules have been applied and suggested with respect to water allocation: prior appropriation (Garrick et al. 2013), proportional and equity rules (Dayton-Johnson 2003) and water markets (Easter et al. 1999). With respect to cost sharing, area-based charges and volumetric pricing are among the most commonly used sharing rules (Easter and Liu 2007). In our case study, the investment is usually shared proportionally to the amount of water requested by each farm. The SV, as well as other CGT solutions, addresses this problem by normatively formulating a fair and efficient rule that can be applied to both benefits and cost sharing. The SV has been suggested as an appropriate methodology for the analysis of collective action (Madani and Dinar 2012). The practical implementability of these solutions is limited given the complexity of their calculation when a large number of players are involved. Nonetheless, their analytical power is strong as they make it possible to highlight subtle bargaining issues that would otherwise have been hidden.
The SV and other CGT solutions have often been applied to different aspects of water resource management, such as sharing benefits from groundwater (Madani and Dinar 2012), international rivers (Dinar and Nigatu 2013), wastewater treatment plans (Loehman et al. 1979) and regional water supply (Young et al. 1982), including application to networks (Dong et al. 2012). However, most of these studies include illustrative examples that only consider a limited number of players (typically from 3 to 5) since CGT solutions are notoriously difficult to apply to larger systems. In addition to the application to a larger system (26 farmers), we also include the effect of non-cooperative behaviour of agents in the analysis, unlike yet at the same time in line with the work of Madani and Dinar (2012) that also analyses how personal characteristics of individual players influence the final outcome of CGT solutions. A network analysis is increasingly used in environmental economics, for instance, to model access to resources (Currarini et al. 2016) and is often combined with CGT (Slikker and van den Nouweland 2012; Currarini et al. 2016).
The paper is structured as follows: in section 2 we describe the methodology, indicating how the CF is formulated, and how the SV is affected by the different determinants that we are interested in. Section 3 describes the numerical application to the case study area. Finally, section 4 presents the results and is followed by the Discussion (5) and Conclusions (6).
2. Methodology
2.1. Characteristic function
Assume that a number of farms need to build a reservoir to make water available for irrigation. Further imagine that farms can either build individual reservoirs or pool their resources together to build a single collective reservoir. Let {1, 2, …, f} = F be the population of farms. The term ‘grand-coalition’ denotes the situation in which the entire population collaborates. {i} (i = 1, 2, … f) are the singleton coalitions. We use the symbol S to represent the feasible coalitions in the game, and s and t constitute two possible coalitions of F within S. V(s) denotes the CF of the game, that attributes a value to any given coalition (Loehman et al. 1979); such a value in our case is the minimum investment cost required for the construction of the reservoir. The usual assumption in the CF is that it is not affected by action and choices of non-members of the coalition. Moreover, in a cost allocation game, subadditivity is also assumed: v(s ∪ t) ≤ v(s) + v(t) with s ∩ t = ∅, ∀s, t ∈ S. Subadditivity entails that cooperation is the most convenient option, leading to the greatest cost saving. In our case, the subadditivity of the game follows from the assumption that construction costs are concave (see below).
Given this general framework, we define the CF in the next part. First, we describe the construction cost of the reservoir, and how, in case of a collective one, it is also affected by the spatial distribution of the farms. Geography is accounted for by modelling farms as nodes of a network, which in turn is used to determine the cost of connections to the collective reservoir and to model the asymmetric spatial spread of the farms around it. Second, we introduce the collective conditionality constraints linked to the policy subsidy and the social environment. Concerning the policy, we assume that the policy subsidy is granted only when the coalition size is bigger than an exogenous MPR. The social environment is assessed by formulating two scenarios in which we differentiate the degree of collaboration among farms. The mathematical description of these elements follows.
Assume that the quantity of water demanded by each farm is fixed and referred to as qi. There are four elements that affect the total costs (TC) of the investment in a reservoir: the cost of the construction (C), the fixed costs (L), the managerial and running costs (M), and the cost of the distribution network (K):
(1)
Now we observe all of the elements in detail.
First, the construction costs of a reservoir are represented by a concave function of the aggregated amount of water requested by the farmers under consideration
The fixed costs L represent the costs that do not vary with the number of users or with the quantity of water stored: for instance, they may represent the opportunity costs of allocating land to a reservoir rather than to farming activities. The managerial costs M are, for instance, energy costs and constitute a function of the quantity of water stored: 
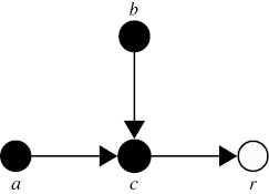
The fourth element, K, relates to the pipe connections, which are modelled as a network tree (N, G). We assume that these costs apply only to the construction of the collective reservoir. The nodes N = {1, …, n} of the network are both the farms (F = {1…, n − 1}) and the collective reservoir {n}. The nth node, the one representing such a reservoir, is denoted for simplicity by “r”. G is a n × n matrix representing the weighted directed relations between each node (water flows in one direction, farms are spatially located in a watershed) so that ∀i, j at most one of gij and gji is non-zero. The weights represent the distances between the farms. We assume that the network is directed toward the collective reservoir, so that gri = 0 ∀ i ∈ N. The cost of the network depends on both the length of the pipes (links) and the amount of water that must flow through the pipes (a larger amount of water requires wider pipes). Observe, for example, in Figure 1 that the amount of water requested by a, b and c must flow through the link cr. While the distance is easily computed, assessing the amount of water makes it necessary to determine the nodes that need to use a given link. To do so, we find the path to the collective reservoir for each node, we assess the paths that a given farm belongs to, and finally we compute the amount of water that passes through each link. First, Pir denotes the subset of nodes representing the shortest path from each farm i to the reservoir r;1 for example, farm b’s path includes nodes b, c and r. Second, for each farm, Di represents the subset of farms for which i belongs to the path, namely: Di = {i} ∪ {j: i ∈ Pjr, i ≠ j}. That is, Di is the set of nodes in the sub-tree rooted at i. For instance, in the network in Figure 1, farm c belongs to the paths of farms a and b in addition to c, hence we have Dc = {c} ∪ {a, b} = {a, b, c}. Farm a does not belong to any path, so Da = {a} ∪ {∅} = {a}.

Figure 1:
Example of a network in which a, b, and c represent farms, and r represents the reservoir.
Finally, the amount of water passing through each link (wij) is thus given by: namely the sum of the amount of water of the farms
whose paths pass through link ij – all of the elements (z) of the subset Di. The cost for each link is then a function of the weights (the length of the link) and of the amount of water that must pass through it: kij = k(gij, wij). The total cost of the network is hence given by:
The cost of an individual reservoir does not include the pipe network, hence the case of individual reservoirs is included in equation (1) simply by setting k = 0.
Having described how the costs are determined, we now move to the policy and the social component that affects the CF.
First, we introduce the financial support that we assume is granted only when the amount of water of the coalition is greater than an exogenously given MPR level qt. Given financial support rate α, the coalitions face 1 – α share of the costs. The actual policies define in detail the cost typologies that are eligible for support: these are de facto only the construction costs. The managerial costs or the costs associated with the acquisition of land are excluded from the support, and the CF is formulated accordingly. We further assume that the collective reservoir can be built only in cases where the MPR is met. This assumption reflects an observation of the case study area, whereby collective reservoirs are actually planned and built (through the technical assistance of the local water user association) only when the MPR is met.
Second, we assess how the CF is affected by two social environments differentiated by two distinctive attitudes toward collaboration among farmers. We thus formulate two scenarios and two CFs. In the collaborative scenario (CO), we assume that there are no impediments to the construction of the collective reservoir and the related distribution network. In the non-collaborative scenario (NC), the formation of the coalition associated with the construction of the reservoir depends on the access to the reservoir, which is in turn conditional on the members of the coalition. More specifically, we assume in this second scenario, that access to the reservoir is impeded by any non-member of the coalition that is in the path of any members of the coalition. Consider, for example, the network depicted in Figure 1. In the NC scenario, the group of farms {a, b} needs to pass through farm c to have access to the reservoir. However, if c is not a member of the coalition it may impede access to the water. In such a case, we assume that the potential coalition members, farms a and b, partition themselves in singleton coalitions and build individual reservoirs.
The combination of the cost function, the policy support and the two social environments thus define two CF that are described below.
The CF of the CO scenario is provided by equation (2):
(2)
with
In the expression (1 − α)C(qi), α is greater than 0 for those farms that meet conditions qi > qt. The CF states that in case the aggregated water requested by any given group of farmers is lower than the MPR level, the costs for this group are simply given by the sum of the cost of building individual reservoirs. Instead, if the MPR is met, the group compares the cost of building individual reservoirs with the cost of building a single collective reservoir. Since the MPR can be met even by a single farm, its costs can also be partially subsidised in the individual case.
In the NC scenario, the CF is given by:
(3)
with
In the expression (1 − α)C(qi), α is greater than 0 only for those farms that meet conditions qi > qt. The only difference with the previous CF is the additional constraint that the collective reservoirs cannot be chosen if any member of the coalition is not part of the path.
2.2. The Shapley value
Given both the CF and the subadditivity assumption, the farmers have incentives to fully cooperate and form a grand coalition. The SV attributes to each individual farmer a share of the costs of the grand coalition that depends on the bargaining power determined by the CF. The SV is a unique solution defined by (Shapley 1971, 1953):
(4)
where for ∀ i ∈ N: |s| is the number of the members of any coalition s, and f is the total number of participants in the game (Madani and Dinar 2012). Equation (4) states that the worth attributed to the ith player through the SV is given by its average marginal contribution to any possible grouping of the players. The marginal contribution of player i is given by the expression v(s) – v(s–{i}). In other terms, i’s marginal contribution is the additional cost that a group of people cooperating face when i is added to the coalition. The SV reflects the bargaining power of the players and attributes the efficient and fair share of the value of the grand coalition.
As stated in the introduction, we are interested in how the asymmetry in access to the resource, the degree of collaboration and the MPR interact to determine the bargaining power of the players and the resulting SV. Some simple examples clarify how these elements affect the SV. Imagine 3 farms positioned in a network like the one in Figure 1.
The first obvious element is that the connections of farms that are farther away from the reservoir cause an increase in the cost for the coalition, and thus, all things being equal, have a relatively higher share of the grand coalition’s costs.
The second potential effect is due to the combination of the position in the network and the social scenarios. We use once again the example in Figure 1. Imagine each farm needs qi = 3 of water, and that the cost function for the reservoir is
with no connection costs. In the CO scenario, the CF is symmetric, since the network does not affect it. We thus have v(i, j) = 60.5 = 2.45, so that the marginal contribution of a third player z to the grand-coalition is v(i, j, z) – v(i, j) = 3 – 2.45 = 0.55. The SV simply equally divides the costs among the players: ui = 1. In the NC scenario, the CF is no longer symmetric. Farmer c impedes coalition {a, b} from collaborating in the building of the collective reservoir, so that v(a, b) = v(a) + v(b) = 1.7 + 1.7 = 3.5. The marginal contribution of c to {a, b, c} is v(a, b, c) – v(a, b) = 3 – 3.5 = −0.5. Accordingly, in the second case the marginal contribution of c is so high that he/she should not be allocated any cost, but instead {a, b} should pay for the entrance of c into the coalition. Clearly, in the second case, in the NC environment, the power of c is much greater, and as a result, its share of the costs is lower. The final share of the grand-coalition costs is: mc = 0.7; ma = mb = 1.2.
A third potential effect is due to the effect of the MPR when players are heterogeneous. Imagine now that qa = qb = 2 and qc = 5. We maintain the same cost function of the previous example whilst adding the policy element, a subsidy that reduces the costs faced by the farmers:
with α = 0.5 if
0 otherwise. If there is no MPR, qt = 0 and all of the farms receive financial support. Following equation (4) we find the SV. For instance, the marginal contribution of player c to the grand coalition is v(a, b, c) – v(a, b) = 1.5 – 1 = 0.5. Ultimately, the grand coalition shares are: qa = qb = 0.4 and qc = 0.7 and the difference between the players is only due to the differences in the quantity of water requested. Now we change the MPR level to qt = 5. At this new level, players a and b are singletons and can no longer obtain financial support as a coalition, whereas the grand coalition and the other coalitions’ costs are unaltered. Player c becomes a pivotal player in determining the access to the financial support for any coalition. For example, player c’s marginal contribution to the grand coalition is now v(a, b, c) – v(a, b) = 1.5 – 2 = −0.5. The final grand coalition shares are: qa = qb = 0.7 and qc = 0.2. The change in the MPR does not affect the final costs faced by the grand coalition, but does have a distributional effect.
Clearly, all of these effects interact with each other and are ultimately dependent on the actual characteristics of the system under analysis. In the next section we parameterise the model on a real case study. To differentiate the distribution of costs across scenarios, we use
and
to indicate the cost allocated to each player, according to the SV, respectively, in the CO scenario and in the NC scenario for any level of qt.
3. Case study and data
The model is applied to one of the reservoirs financed by Measure 125 (E-R 2015) of the Common Agricultural Policy (CAP) in the hilly area of the province of Ravenna, where irrigation water is managed by the Consorzio di Bonifica della Romagna Occidentale (CBRO), a local water user association. The choice of the area is due to the relative importance of irrigation and reservoirs for the local agriculture. Seven (7) per cent of the irrigated area in the case study region is served by reservoirs, which is considerably higher than the average share served by reservoirs in the hilly areas of E-R (2%) (ISTAT 2010). The area is also characterised by a high rate of successful applications to Measure 125, since out of the 16 projects financed in E-R, 8 were located in the case study area (E-R 2013, 2012). The importance of irrigation in the case study area is suggested by observing how, in the period 1982–2010, the share of irrigated areas over the total utilised agricultural area has remained steady at the regional level (around 10%), but has increased markedly from 2% to 16% in the hilly part of the Province of Ravenna (ISTAT 2010). In this area, the number of users in each reservoir is in the range of 20–50 (CBRO 2015). The group of farmers using the same reservoirs are organised in a ‘consorzio’, an organisation that is responsible for the governance of the reservoirs, including cost allocation and conflict resolution. The CBRO (€), however, provides assistance for the technical management of the reservoirs.
In the reservoir that we use to parameterise our analysis, 26 farms are connected to the reservoir, and are entitled to heterogeneous water quotas. The reservoir capacity is about 50,000 m3, subdivided into 74 quotas the distribution of which is described in Table 1. Each quota grants the right to use 676 m3 of water. It is worth noting that the reservoir capacity is just at the threshold level of eligibility for Measure 125.
Farms are connected to the reservoir by way of pressurised water pipes. A network is used both to represent the spatial location of the farms and to account for the technical choice that motivated the design of the pipe network (Appendix, Table 6). The pipe connections form a directed tree, with two major branches, composed of approximately the same number of nodes, directed to the reservoir (Appendix, Figure 5). To better account for the spatial spread of the farms, we introduced nodes into the network that do not represent farms, but are rather used to model bifurcations in the pipe network. The farms are located along a valley, with water running from southwest to northeast.
The cost of the reservoir construction is assumed to be determined by the following function, which was built in collaboration with officials of the CBRO (€): 140(Qs)0.641. The cost function parameters related to the pipe network were selected according to the real costs of pipes and according to the actual pipes used in the example (Table 2).
Table 2:
Cost of pipe network (€/m) according to the amount of water passing through the pipes.
| wij | €/m |
|---|---|
| 0<wij≤4000 | 7.6 |
| 4000<wij≤13,000 | 16.2 |
| 13,000<wij≤25,000 | 52 |
| 25,000<wij | 68 |
Other relevant parameters include the following. We consider a fixed price as the cost of land and we set L = 40,000 € for the collective reservoir; running costs are set at M = 0.4 €/m3 for individual reservoirs, and at M = 0.15 €/m3 for the collective reservoir. The financial support is assumed to cover 50% of the costs; the policy actually covers 70%, but some of the costs are not eligible for financial support, so the ultimate support covers less than the nominal 70%. We run a sensitivity analysis on qt, using a range of values from qt = 0 to qt = 50,000 which is the actual threshold in Measure 125.
For the computation of the SV we use the sampling approach and the algorithm developed by Castro et al. (2009). The algorithm exploits an alternative form for Equation (4) to compute the SV. In particular, the SV can be recursively computed by: 1) taking a possible permutation of the population of the players, 2) attributing to player i the marginal contribution that he or she gives to the coalition formed by the players that proceed them in the given permutation, and 3) taking the average of the marginal contributions over the possible permutations. The algorithm uses a sample of the possible permutations to arrive at an estimate of the SV. We use a sample of 10,000 orderings of players.
4. Results
We first present the results of the model, then carry out an OLS regression on the model results to have a better understanding of the forces at work. Farms are classified according to the amount of water requested (quotas).

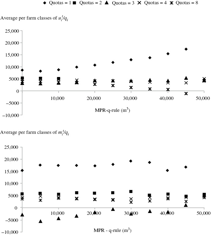
Figure 2:
Allocation of the grand-coalition costs per quota in the CO scenario
upper graph – A) and in the NC scenario
bottom graph -B) under different MPR levels.
Figure 2 shows on the y-axes the costs per quota allocated in the two scenarios,
(€/quota, above) and
(€/quota, below), under a different level of the MPR (x-axes). The graphs are differentiated by farm classes based on the amount of water quotas; in each graph, the circles indicate the cost of quotas for each farm. The graphs show that in the CO scenario the MPR affects farm cost allocations according to the quota owned: farms with ‘small’ quotas (1–2) tend to be allocated higher costs as qt increases; the opposite occurs for farms with larger amounts (3–4–8). In the NC scenario, the effect of the MPR is much less evident. It is worth recalling from Section 2.1 that the collective reservoir can only be built when the project is eligible for regional financial support. As qt increases, the probability that larger farms are pivotal players in determining whether the financial support is granted (when the MPR is met) increases as well. As a result, their importance is likely to be higher, and in turn, their cost share diminishes. In the NC scenario, in addition to the MPR, the collective reservoir can be built only when the players on the path to the reservoir site are all members of the coalition (from Section 2.1). Recalling that the network is a directed tree, the non-membership of some players can thus impede cooperation even though it would be profitable, and even though the MPR is met. Position in the network hence becomes a crucial element in affecting the bargaining power of the players, with respect to the CO scenario. Owned quotas become relatively less important, or position in the network attributes higher power, so that the effect of the MPR vanishes.
To further analyse the differences between the scenarios, Figure 3 shows the average costs per farm classes in the CO and NC scenarios and Figure 4 depicts the related coefficient of variation (CV, the ratio of the standard deviation to the average). The pictures show that when qt = 0 (no MPR) the allocation of costs in the CO scenario are much less variable (CV = 0.4) than in the NC scenario (CV = 1.02). Moving to the right, by increasing qt up to 45,000, the CO scenario is more affected by changes in policy than the NC scenario: the CV of
varies between 0.7 and 0.4; the CV of
varies between 1.5 and 1.0. When qt = 50,000 (which means that only the grand coalition can have access to the subsidy of the regional government) the CV of the CO scenario (0.10) is very similar to the one in the NC scenario (0.11). In such a case only the grand coalition (when all of the players cooperate) is eligible for the regional subsidy, and the pivotal player is always the last one in any given order. In other words, the probability of being the pivotal player does not depend on any personal characteristics of the players (such as water quotas, or network position). Each player has the same probability as any other player to become pivotal, and as a result bargaining power and costs allocated become very similar across players. The position in the network is much less important in affecting the largest marginal contribution, namely when a player is the pivotal one in determining access to the financial support. Moreover, it is worth noting that in this setting the MPR at the unanimity level affects the cost distribution much more in a non-collaborative environment than in a collaborative environment.

Figure 3:
Average SV in the CO scenario (upper graph) and in the NC scenario (bottom graph) per classes of farms.

Figure 4:
Coefficient of variation (CV) of average SV in the CO scenario (squares) and in the NC scenario (circles).
To disentangle the different elements that affect the individual cost allocation in the two scenarios we carry out an ex-post analysis of the model results by way of OLS regressions. It is clear that the regressions are not aimed at testing the validity of a model, but rather to gain an understanding of the (simulated) model results. Two regression models are formulated with the same explanatory variables, and with two dependent variables, that is
and
The explanatory variables (listed in Table 3) reflect the theoretical analysis of Section 2.2, where, by means of a simple example, we observed how the distance and the position of the farm in the network affect the SV. To account for the effect of the MPR, we also consider the ‘power’ of the players. The assessment of the ‘power’ of players in a cooperative game is one of the earliest applications of the SV, which has been used, notably, to assess the distribution of power within a committee (Shapley and Shubik 1954). The idea is that in an election, a decision is approved only when the sum of the (possibly weighted) votes (say qi) are higher than a given threshold (say qt). Thus, the CF is given by v(S) = 0 if
v(S) = 1 otherwise. The SV is then the relative frequency with which a player is the pivotal player. The committee game clearly resembles the policy game that we have modelled here (the regional subsidy is granted only when the reservoir capacity is larger than a predetermined threshold). The power, therefore, also includes the relationship between owned quotas and the policy threshold. The inclusion of such an explanatory variable in the model is aimed at disentangling the effect of power with respect to the policy from the other factors that affect the benefit distribution (economies of scale and network costs).
Table 3:
List and explanation of variables used in the regression model.
| Variable | Explanation |
|---|---|
| qi | The amount of water requested by each farm |
| Distance | The distance of each farm from the reservoir |
| |Di| | The cardinality of Di |
| wij | The amount of water passing through each farm |
| Power | The power of each player |
Results are provided respectively in Tables 4 and 5. The regression analysis applied to the model results shows that qi is clearly positively related to both
and
the higher the quota, the higher the costs allocated to a farm. However, the relative importance of qi is reduced from the CO scenario (beta = 1.1) to the NC scenario (beta = 0.5). This indicates that the social environment reduces the importance of the personal characteristics of the players (the water demanded), and other elements become more relevant. One of these is the position in the network. Indeed, the |Di| coefficient switches signs and increases in absolute value when passing from CO (beta = 0.323) to NC (beta = −0.541). The network position is crucial in the NC scenario since well-positioned players (relatively closer to the reservoir) effectively block the formation of the coalition and hence have greater bargaining power. Finally, the power of the players (“power”) is negatively related to both
and
(the greater the power, the lower the allocated cost), but loses significance in the NC scenario (significance = 0.075). The importance of being a pivotal player in the policy game is reduced, again, to the advantage of the position. Thus, the regressions further show how policy rules (MPR) interact with farm characteristics (water needs), spatial relations and social structure (collaborative versus non-collaborative scenarios) to determine the bargaining power of the players.
Table 4:
Regression analysis of the cost allocation in the CO scenario.
| B | Std. error | Beta | |||
|---|---|---|---|---|---|
| (Constant) | 6079.191 | 1005.981 | 6.043 | 0.000 | |
| qi | 3566.437 | 316.49 | 1.113 | 11.269 | 0.000 |
| Distance (km) | 0.789 | 0.19 | 0.24 | 4.149 | 0.000 |
| |Di| | 456.278 | 135.765 | 0.323 | 3.361 | 0.001 |
| wij | −0.344 | 0.065 | −0.636 | −5.272 | 0.000 |
| Power | −107436.721 | 17284.063 | −0.498 | −6.216 | 0.000 |
The dependent variable is
.
Table 5:
Regression analysis of the cost allocation in the NC scenario.
| B | Std. error | Beta | |||
|---|---|---|---|---|---|
| (Constant) | 12640.162 | 1984.766 | 6.369 | 0.000 | |
| qi | 4035.225 | 624.423 | 0.446 | 6.462 | 0.000 |
| Distance (km) | 1.857 | 0.375 | 0.200 | 4.953 | 0.000 |
| |Di| | −2160.643 | 267.86 | −0.541 | −8.066 | 0.000 |
| wij | −0.321 | 0.129 | −0.210 | −2.497 | 0.013 |
| power | −60843.952 | 34100.853 | −0.100 | −1.784 | 0.075 |
The dependent variable is 
5. Discussion
In this paper, we use the SV as a way to assess how the geography of a given area, the individual characteristic of SES users, the social environment in which the users find themselves and policy rules interact to affect the distribution of the cost in a collective reservoir.
As noted by Anderies et al. (2013), asymmetric access to resources can result in an unequal distribution of benefits. The results of our paper underpin this finding, and further suggest that the degree of inequality also depends on the social environment of the actors. Indeed, we observe, not surprisingly, that an uncooperative social environment exacerbates the effect that the asymmetry in the access to the resource has on the potential distribution of costs in a collective reservoir. The coefficient of variation in the SV, without explicitly modelling a bargaining process, is relatively higher in the NC scenario than in the CO scenario, since it allows the structure of the network to emerge, as well as the position of the individual players in the network, in the bargaining power of the players. The geography of the area is a much milder determinant of the distribution of the costs when players are relatively more collaborative. Janssen et al. (2015) found similar results and observed in an experimental setting that the limited availability of information on the behaviour of other players tends to increase the inequality arising from asymmetric access to resources.
While geography is a clear determinant of access to the resource, as suggested by Yu et al. (2015), more than ever, people interact with one another and the environment through shared human-made infrastructure (the Internet, transportation, the energy grid, etc.), the design of the infrastructure could, however, mitigate this effect. In this paper we add to this the effect of policy on the functioning of the SES. The results indicate that on one hand policies could have a distributional effect, and on the other hand that they could be designed in such a way as to counteract the distributional effect of the natural asymmetry in the access to the resource. Increasing the MPR level results in a decrease in the bargaining power of the smaller players in the CO scenario so that a relatively higher share of the cost is allocated to them. In the NC scenario, the policy is relatively less important since the bargaining power is more affected by the position in the network than by the policy’s collective conditionality constraints. However, the local characteristics of the SES in affecting the bargaining power are greatly diminished when setting a MPR so high that the contribution of all of the players is required to obtain financial support from the regional government.
The difficulties in computing the SV for a large number of players clearly limit the extent to which the SV can be used as an actual rule for the sharing of the costs and benefits of cooperation. In most cases simpler methods, such as proportional share, are used. Measure 125 of the E-R RDP does not impose any cost sharing rule on the groups of farms. In our case study area, for the sake of simplicity, the most commonly adopted rule is to allocate costs proportionally to the amount of water requested. Using our notation costs allocated to each farm would thus be:
Obviously, this rule does not address spatial issues and is not affected by changes in the MPR. Using our cost function, the cost per quota is:
The actual cost allocation resembles the results of the SV only when the MPR is set at the unanimity level. In other words, the actual sharing rule annihilates any potential bargaining power emerging from either the spatial distribution of the farms across the landscape or from the MPR. While undoubtedly one motivation for the adoption of such a rule is its simplicity, further analysis of the social environment in the area would shed further light on local preferences with regard to inequality and distributional rules. Furthermore, it is worth considering that the SV is only one of the possible ways of sharing benefits amongst players proposed by CGT. For example, the Nash bargaining solution, and its extension to the n-player case (Nash-Harsanyi solution), gives more weight to the singleton payoffs (the disagreement points). A number of indices have been developed and applied to test the fairness of different allocation rules (Madani and Dinar 2012). A potential extension of the current paper is to compare the SV allocation with other allocation rules, and experimentally test them to assess which one is preferred.
One important issue related to cooperation is that of stability. The “core” of a game represents a solution developed by CGT that addresses this issue, and indicates the set of allocation points that are stable, or, in other words, that are most likely to be acceptable to all players (Gillies 1959). The analysis of the core, while outside the scope of the paper, is an important aspect that deserves further attention. The “emptiness” of the core, an incentive structure that leads to an unstable grand-coalition, might represent an explanation for the failure of cooperation. In turn, a relevant question that could arise from the policy point of view is how to set incentives/subsidies to transform the game in such a way as to have a non-empty core.
Finally, our analysis is static and assumes cooperative behaviour in a situation where cooperation represents the Pareto optimum. Despite this clear limitation, the use of the SV seems to be an appropriate tool to carry out a general ex-ante assessment of distributional effects. Indeed, the use of a non-cooperative game theory model would require the specification of the strategic behaviour and a wide range of parameters such as, for example, trust, inequality aversion and risk aversion, which are both difficult and costly to assess. The use of the SV represents a shortcut to easily model the distributional effect resulting from a bargaining process that has not been explicitly framed.
6. Conclusions
Given the importance of distributional issues for the success of collective action, the distributional effect of rural policies that affect SES seem to be an important element to take into account in the design of such policies. In this paper we use the SV to have an empirical and ex-ante assessment of the distributional effect of MPR linked to the construction of a collective reservoir. We empirically parameterise our model to a collective reservoir located in Emilia-Romagna (Italy), modelling the reservoir and the infrastructure connecting the farms by way of a network. Moreover, we run two alternative social scenarios in which we differentiate the attitudes toward cooperation. We ultimately assess how: a) the asymmetry in access to the resource, b) the social environment c) the collective conditionality constraints and d) personal characteristics affect the bargaining power of the players and hence their share in the investment costs.
The results point out how geography and social environments highly affect the distribution of costs related to the construction of a collective reservoir. This indeed corroborates the practical problems inherent in bringing farmers together in collective actions, and highlights the fact that difficulties can arise not only from lack of information or distrust, but also from genuinely different economic interests. Yet these determinants can be counteracted by the imposition of a relatively high MPR that imposes cooperation on the entire population of farmers. On the other hand, the interaction between the MPR and the specific structure of the network hints at the need to avoid using such an instrument blindly, but rather to adapt the MPR to the specific potential coordination problems in different areas. This is particularly relevant in areas such as the case study area, which are characterised by semi-hilly environments, in which the size, crop specialisations, location of individual farms and distances tend to be rather heterogeneous. In addition, the structure of the network could be even much less ‘regular’ than the one presented here. At the same time, the difference between the two institutional scenarios not only reflects the role of different conditions, but also highlights the need for policymakers to focus attention on both direct incentives and building a suitably collaborative environment through information and demonstration actions. The consistency of policy over time may also help by supporting greater trust and predictability of results on the part of farmers.
Altogether these findings highlight the difficulty in designing agricultural policies that address collective action and SES. Agricultural policies are often set at the regional level and applied to a variety of SES that differ in terms of geography, heterogeneity of farming and social environment. Cooperation and collective action could be one of the answers to the double challenge of feeding an increasing population and the need for today’s agriculture to sustainably and efficiently use key natural resources. Yet embedding collective action and the promotion of cooperation pose a noteworthy challenge for the design of agricultural policies that undoubtedly require interdisciplinary research and flexibility.
Acknowledgements
This research did not receive any specific grant from funding agencies in the public, commercial, or not-for-profit sectors. The research is part of the PhD thesis of Matteo Zavalloni, who also thanks Marty Anderies, Marco A. Janssen and Rachata Muneepeerakul for the hospitality at the Center for the Study of Institutional Diversity (Arizona State University) and the fruitful discussion that shaped the basis of this article. We also thanks two anonymous reviewers whose comments greatly improved the article.
Notes
Appendix
Table 6:
Adjacency matrix representing the weighted directed relations between each node (distance in km).
| 0 | 1 | 2 | 3 | 4 | 5 | 6 | 7 | 8 | 9 | 10 | 11 | 12 | 13 | 14 | 15 | 16 | 17 | 18 | 19 | 20 | 21 | 22 | 23 | 24 | 25 | 26 | 27 | 28 | |
|---|---|---|---|---|---|---|---|---|---|---|---|---|---|---|---|---|---|---|---|---|---|---|---|---|---|---|---|---|---|
| 0 | 0 | 0 | 0 | 0 | 0 | 0 | 0 | 0 | 0 | 0 | 0 | 0 | 279 | 0 | 0 | 0 | 0 | 0 | 0 | 0 | 0 | 0 | 0 | 0 | 0 | 173 | 750 | 0 | 0 |
| 1 | 0 | 0 | 0 | 0 | 0 | 0 | 0 | 0 | 0 | 0 | 0 | 0 | 0 | 0 | 0 | 0 | 0 | 0 | 0 | 0 | 0 | 0 | 0 | 0 | 0 | 0 | 0 | 0 | 0 |
| 2 | 0 | 0 | 0 | 0 | 0 | 0 | 0 | 0 | 0 | 93 | 0 | 0 | 0 | 0 | 0 | 0 | 0 | 0 | 0 | 0 | 0 | 0 | 0 | 0 | 0 | 0 | 0 | 0 | 0 |
| 3 | 0 | 0 | 0 | 0 | 0 | 0 | 0 | 0 | 0 | 0 | 0 | 0 | 0 | 0 | 0 | 0 | 0 | 0 | 0 | 0 | 0 | 0 | 152 | 0 | 0 | 0 | 0 | 0 | 0 |
| 4 | 0 | 0 | 0 | 0 | 0 | 957 | 0 | 0 | 0 | 0 | 0 | 0 | 0 | 0 | 0 | 0 | 0 | 0 | 0 | 0 | 0 | 0 | 0 | 0 | 0 | 0 | 0 | 0 | 0 |
| 5 | 0 | 0 | 0 | 0 | 0 | 0 | 0 | 0 | 0 | 0 | 0 | 0 | 0 | 0 | 0 | 0 | 0 | 0 | 0 | 154 | 0 | 0 | 0 | 0 | 0 | 0 | 0 | 0 | 0 |
| 6 | 0 | 0 | 0 | 0 | 0 | 0 | 0 | 0 | 0 | 0 | 0 | 0 | 0 | 0 | 0 | 0 | 0 | 0 | 0 | 0 | 0 | 1083 | 0 | 0 | 0 | 0 | 0 | 0 | 0 |
| 7 | 0 | 0 | 0 | 0 | 0 | 0 | 0 | 0 | 323 | 0 | 0 | 0 | 0 | 0 | 0 | 0 | 0 | 0 | 0 | 0 | 0 | 0 | 0 | 0 | 0 | 0 | 0 | 0 | 0 |
| 8 | 0 | 0 | 0 | 0 | 0 | 0 | 0 | 0 | 0 | 0 | 0 | 0 | 0 | 0 | 0 | 0 | 0 | 0 | 0 | 0 | 0 | 0 | 0 | 0 | 0 | 0 | 0 | 0 | 0 |
| 9 | 0 | 0 | 0 | 0 | 0 | 0 | 0 | 0 | 0 | 0 | 189 | 0 | 0 | 0 | 0 | 0 | 0 | 0 | 0 | 0 | 0 | 0 | 0 | 0 | 0 | 0 | 0 | 0 | 0 |
| 10 | 0 | 0 | 0 | 0 | 0 | 0 | 0 | 0 | 0 | 0 | 0 | 0 | 0 | 0 | 0 | 0 | 0 | 0 | 0 | 0 | 0 | 0 | 0 | 0 | 0 | 0 | 0 | 0 | 0 |
| 11 | 0 | 0 | 0 | 0 | 0 | 0 | 0 | 0 | 0 | 0 | 0 | 0 | 0 | 0 | 0 | 0 | 0 | 0 | 0 | 0 | 0 | 0 | 0 | 0 | 0 | 0 | 0 | 0 | 0 |
| 12 | 0 | 0 | 0 | 0 | 0 | 0 | 0 | 0 | 0 | 0 | 0 | 0 | 0 | 0 | 0 | 0 | 0 | 0 | 0 | 0 | 1017 | 0 | 0 | 0 | 0 | 0 | 0 | 0 | 0 |
| 13 | 0 | 0 | 0 | 0 | 0 | 0 | 0 | 0 | 0 | 0 | 0 | 0 | 0 | 0 | 0 | 0 | 0 | 0 | 0 | 0 | 0 | 0 | 0 | 0 | 0 | 0 | 0 | 0 | 0 |
| 14 | 0 | 0 | 0 | 0 | 0 | 0 | 0 | 0 | 0 | 0 | 0 | 0 | 0 | 270 | 0 | 0 | 0 | 0 | 0 | 0 | 0 | 0 | 0 | 0 | 0 | 0 | 0 | 0 | 0 |
| 15 | 0 | 0 | 0 | 0 | 0 | 0 | 340 | 0 | 0 | 0 | 0 | 0 | 0 | 0 | 0 | 0 | 0 | 0 | 0 | 0 | 0 | 0 | 0 | 0 | 0 | 0 | 0 | 0 | 0 |
| 16 | 0 | 0 | 0 | 0 | 0 | 0 | 0 | 0 | 0 | 0 | 0 | 0 | 0 | 0 | 0 | 0 | 0 | 0 | 380 | 0 | 0 | 0 | 0 | 0 | 0 | 0 | 0 | 0 | 0 |
| 17 | 0 | 0 | 0 | 0 | 0 | 0 | 0 | 0 | 0 | 0 | 0 | 0 | 0 | 0 | 0 | 0 | 0 | 0 | 0 | 0 | 0 | 0 | 0 | 0 | 305 | 0 | 0 | 0 | 0 |
| 18 | 0 | 0 | 0 | 0 | 0 | 0 | 0 | 0 | 0 | 0 | 0 | 0 | 0 | 0 | 0 | 0 | 0 | 0 | 0 | 0 | 0 | 0 | 0 | 0 | 0 | 0 | 0 | 0 | 0 |
| 19 | 0 | 0 | 0 | 0 | 0 | 0 | 0 | 0 | 0 | 0 | 0 | 0 | 0 | 0 | 0 | 0 | 0 | 484 | 0 | 0 | 0 | 0 | 0 | 0 | 0 | 0 | 0 | 0 | 0 |
| 20 | 0 | 0 | 0 | 844 | 0 | 0 | 0 | 0 | 0 | 0 | 0 | 0.1 | 0 | 0 | 0 | 0 | 410 | 0 | 0 | 0 | 0 | 0 | 0 | 0 | 0 | 0 | 0 | 0 | 0 |
| 21 | 0 | 0 | 0 | 0 | 0 | 0 | 0 | 0 | 0 | 0 | 0 | 0 | 0 | 0 | 0 | 0 | 0 | 0 | 0 | 0 | 0 | 0 | 0 | 0 | 0 | 0 | 0 | 927 | 0 |
| 22 | 0 | 0 | 0 | 0 | 755 | 0 | 0 | 0 | 0 | 0 | 0 | 0 | 0 | 0 | 0 | 0 | 0 | 0 | 0 | 0 | 0 | 0 | 0 | 0 | 0 | 0 | 0 | 0 | 0 |
| 23 | 0 | 0 | 0 | 0 | 0 | 0 | 0 | 0 | 0 | 0 | 0 | 0 | 0 | 0 | 0 | 0 | 0 | 0 | 0 | 0 | 0 | 0 | 0 | 0 | 0 | 0 | 0 | 0 | 0 |
| 24 | 0 | 0 | 281 | 0 | 0 | 0 | 0 | 0 | 0 | 0 | 0 | 0 | 0 | 0 | 0 | 0 | 0 | 0 | 0 | 0 | 0 | 0 | 0 | 0 | 0 | 0 | 0 | 0 | 0 |
| 25 | 0 | 0 | 0 | 0 | 0 | 0 | 0 | 0 | 0 | 0 | 0 | 0 | 0 | 0 | 0 | 0 | 0 | 0 | 0 | 0 | 0 | 0 | 0 | 0 | 0 | 0 | 0 | 0 | 0 |
| 26 | 0 | 0 | 0 | 0 | 0 | 0 | 0 | 0 | 0 | 0 | 0 | 0 | 0 | 0 | 0 | 295 | 0 | 0 | 0 | 0 | 0 | 0 | 0 | 0 | 0 | 0 | 0 | 0 | 0 |
| 27 | 0 | 0 | 0 | 0 | 0 | 0 | 0 | 0 | 0 | 0 | 0 | 0 | 0 | 0 | 804 | 0 | 0 | 0 | 0 | 0 | 0 | 0 | 0 | 0 | 0 | 0 | 0 | 0 | 1493 |
| 28 | 0 | 369 | 0 | 0 | 0 | 0 | 0 | 358 | 0 | 0 | 0 | 0 | 0 | 0 | 0 | 0 | 0 | 0 | 0 | 0 | 0 | 0 | 0 | 17 | 0 | 0 | 0 | 0 | 0 |

Figure 5:
Graphical representation of the network used in the paper. The network does not account for the actual position in the landscape.
