Neonatal laryngeal and tracheal diagnostics often present considerable challenges, necessitating collaborative efforts among specialists across various disciplines. When a structural defect, focal lesion, or mechanical damage is suspected, diagnosis is primarily based on endoscopic examinations(1,2,3). These procedures, while remarkably precise, are invasive and frequently require sedation, which can adversely affect patient comfort(4). Moreover, despite their numerous advantages, access to endoscopic assessments remains substantially limited in many medical facilities.
The existing medical literature includes studies on the ultrasonographic anatomy and functional assessment of the larynx and trachea in both adults and children(5,6,7). Historically, some publications described ultrasonographic imaging of the larynx and trachea in newborns for diagnosing congenital and acquired laryngeal conditions(8,9,10). Attempts have also been made to compare the dimensions of the larynx with body length, head circumference, or gestational age; however, these studies were based on autopsy examinations of a small group of patients(11). Notably, none of these publications provide measurements of individual anatomical components or relate these components to neonatal anthropometric parameters. To date, no percentile nomograms or research evaluating correlations between the sizes of specific laryngeal and tracheal structures, as measured by ultrasonography, and neonatal anthropometric data have been published.
Ultrasonography stands out as a non-invasive, widely accessible diagnostic modality that enables rapid, bedside evaluation of the larynx and trachea. Importantly, particularly in the neonatal population, ultrasound examination allows for minimal disruption to patient comfort.
This manuscript discusses the relationships between ultrasonographic measurements of the larynx, trachea, and their lumens in relation to neonatal weight, length, and gestational age. Moreover, percentile charts for the dimensions of laryngeal and tracheal structures and their lumens were constructed based on the cohort’s body weight. The findings presented here are derived from data collected in a study registered at ClinicalTrials.gov (Identifier NCT05636410).
The study was designed as a prospective investigation. Ultrasonographic examinations of the larynx and trachea were performed during the first days of life in 300 stable neonates with Caucasian ethnicity born between 32 + 1/7 and 42 + 0/7 weeks of gestational age, following the completion of their postnatal adaptation. Video recordings (DICOM files) obtained during these procedures were subsequently reviewed, without participant involvement, using specialized computer software (Horos, Nimble Co LLC d/b/a Purview), where precise measurements of individual laryngeal and tracheal structures were performed. The study was approved by the Bioethics Committee of the Medical University of Warsaw (KB/65/A2022). The results presented in this manuscript constitute an analysis of data obtained from a previously published study protocol(12) and represent a consecutive publication focusing on ultrasonographic diagnostics of the larynx and trachea in the neonatal period.
Ultrasonographic images analyzed in this study were collected between December 2022 and March 2023 at two neonatal centers in Poland: the Princess Anna Mazowiecka Hospital in Warsaw and the Ujastek Medical Center in Kraków. Video recordings of the examinations were reviewed post-recruitment by two experienced ultrasonographers, proficient in diagnostic ultrasonography, who performed measurements of the laryngeal and tracheal structures. These data facilitated an analysis of correlations with neonatal body weight, length, and gestational age. Furthermore, percentile reference charts were constructed for the dimensions of the larynx, trachea, and their lumens, based on these measurements in relation to neonatal weight.
Inclusion criteria for this study encompassed stable neonates born after 32 + 0/7 weeks of gestation, within the first week of life (less than 7 days old). Neonates born before the specified gestational age, exhibiting signs of congenital anomalies, and those who were intubated or deemed clinically unstable were excluded. The selection criteria aimed to assemble a diverse and representative cohort.
Ultrasonographic examinations, along with subsequent measurements of the larynx, trachea, and their lumens, were conducted in accordance with the previously published protocol(12). Relationships between these measurements and the weight, body length, and gestational age of the newborns were analyzed. As part of further analysis, percentile charts depicting the dimensions of the larynx and trachea, including their lumens, were generated, considering the neonates’ body weight.
Ultrasound examinations of the larynx and trachea were performed by physicians with a minimum of six years’ experience in ultrasonographic evaluation of cervical structures. Procedures took place in a dimly lit, quiet room. Each neonate was positioned supine in a neonatal bed, with a small fabric roller placed beneath the shoulder blades to align the face parallel to the chest. Prior to examination, it was ascertained that the infant had been fed between 30 minutes and 2 hours previously, and following detailed information, parenteral consent was obtained. Pacifiers were not used. In isolated cases of anxiety, 30% glucose solution was administered orally before imaging.
A Philips Epiq 5G ultrasound machine equipped with a linear probe (eL18-4) was employed. To ensure consistency and comparable image quality, standardized ultrasound settings were applied (frequency 18 MHz, examination depth 2.5 cm), with slight adjustments made as needed for individual examinations.
To maximize participant comfort, minimize procedure duration, and enhance measurement reproducibility, all ultrasound assessments adhered to a predetermined protocol. Recordings were stored in DICOM format. After data collection, measurements of individual structures of the larynx and trachea were performed using computer software (Horos, Nimble Co LLC d/b/a Purview). Figure 1 illustrates the ultrasound images of the discussed structures, along with detailed measurement techniques. Statistical analyses were performed using SAS/STAT software.

Measurements of: A. laryngeal width (double-arrow line) – transversely from the outer borders of the thyroid cartilage at the level of the glottis; laryngeal depth (dashed line) – sagitally between the outer borders of the thyroid and annular cartilages; B. glottis width (double-arrow line) – between the medial borders of the arytenoid cartilages; C. subglottic width (double-arrow line) – transversely from the outer borders of the annular cartilage; subglottic depth (dashed line) – sagitally from the outer borders of the annular cartilage; the measurements are taken at the level of the arch of the annular cartilage. D. subglottic lumen width (double-arrow line) – transversely from the inner borders of the annular cartilage; subglottic lumen depth (dashed line) – sagitally medially from the inner borders of the annular cartilage; E. tracheal width (double-arrow line) – transversely from the outer borders of the tracheal cartilage; tracheal depth (dashed line) – sagitally from the outer border of the tracheal cartilage to the tracheal muscle membrane; F. tracheal lumen width (double-arrow line) – transversely from the inner borders of the tracheal cartilage; tracheal lumen depth (dashed line) – sagitally from the inner border of the tracheal cartilage to the tracheal muscle membrane
To ensure a highly diverse cohort of patients, recruitment was conducted randomly, independent of gender, gestational age, body mass, or length, beyond the established inclusion and exclusion criteria. Analysis of the ultrasound images was performed after the completion of all ultrasound examinations. The researchers responsible for measuring the specific structures of the larynx and trachea were blinded to the participants’ anthropometric data at the time of measurement. Previous studies have documented considerable variability in neonatal body length measurements, influenced by both the measurement technique and the individual performing the assessment(13,14,15,16). Consequently, this study discusses the relationships between various laryngeal and tracheal measurements and body length in newborns. However, percentile charts stratified by this parameter were not generated. The authors consider that referencing the obtained ultrasonographic measurements to potentially inaccurate neonatal length assessments could lead to misinterpretation of the results.
To assemble a sufficiently heterogeneous and sizable cohort for ultrasonographic evaluation, 300 participants were recruited. During the study planning phase, a hypothesis was proposed suggesting no differences in measurements between genders. Therefore, emphasis was not placed on recruiting comparable numbers of boys and girls. Nonetheless, the analyzed group comprised an equal number of both sexes (each with 149 participants). Due to significant statistical differences in the dimensions of various laryngeal structures between males and females, as discussed in a previous publication(17), the research group was subdivided into female and male subgroups. An exception was made for the measurement of the glottic lumen width, which is addressed further in this publication.
All statistical analyses were performed using the SAS/STAT software package. To evaluate the significance of differences between sexes, the t-test, Kruskal-Wallis test, and Wilcoxon signed-rank test were applied. The Spearman rank correlation coefficient (r) was used to examine relationships between variables and anthropometric measurements. Based on existing literature(18), correlations were classified as weak (r <0.3), moderate (0.3–0.49), good (0.5–0.7), and strong (r >0.7). The threshold for statistical significance was set at p <0.05.
Percentile grids for assessing the distribution of selected factors were estimated empirically using a percentile regression model. Usually, the quantile is considered a method of ordering observed values. According to Koenker(19), a key aspect of quantile regression theory is that the problem of sorting ordered values can be converted into an optimization problem. Specifically, the objective is to minimize
A total of 300 participants meeting the inclusion criteria were initially enrolled. Due to incomplete anthropometric data, the final statistical analysis utilized data from 298 neonates. A flow diagram illustrating participants progression is presented in Figure S1.
The analyzed study group comprised an equal number of females (n = 149) and males (n = 149). No statistically significant difference was observed in gestational age between sexes (mean gestational age: females 38 + 5/7 weeks, males 38 + 6/7 weeks, p = 0.1). Birth weights differed significantly based on sex (p <0.05), averaging 3.182 grams for females and 3.381 grams for males. Similarly, a statistically significant but less pronounced difference was noted in body length (p = 0.04), with females measuring an average of 52.82 cm and males 53.62 cm. The structure of the study group is presented in Table S1. Details of the number of measurements obtained for individual structures across sexes are provided in Table 1. Missing data resulted from inadequate-quality ultrasonographic images.
Correlations between ultrasonographic measurements of the larynx and trachea and body weight (A), body length (B), and gestational age (C). Correlation between maximum glottic width and body weight, combined for females and males (D)
| Female | Male | |||||
|---|---|---|---|---|---|---|
| n | r | p | n | r | p | |
| A | ||||||
| Laryngeal width | 147 | 0.25 | <0.05 | 147 | 0.36 | <0.05 |
| Laryngeal depth | 147 | 0.32 | <0.05 | 147 | 0.46 | <0.05 |
| Subglottic width | 146 | 0.37 | <0.05 | 147 | 0.37 | <0.05 |
| Subglottic depth | 146 | 0.25 | <0.05 | 147 | 0.55 | <0.05 |
| Subglottic lumen width | 146 | 0.26 | <0.05 | 147 | 0.33 | <0.05 |
| Subglottic lumen depth | 146 | 0.34 | <0.05 | 147 | 0.34 | <0.05 |
| Tracheal width | 145 | 0.25 | <0.05 | 141 | 0.26 | <0.05 |
| Tracheal depth | 145 | 0.17 | <0.05 | 141 | 0.24 | <0.05 |
| Tracheal lumen width | 145 | 0.27 | <0.05 | 141 | 0.26 | <0.05 |
| Tracheal lumen depth | 145 | 0.20 | <0.05 | 141 | 0.20 | <0.05 |
| B | ||||||
| Laryngeal width | 147 | 0.10 | 0.24 | 147 | 0.31 | <0.05 |
| Laryngeal depth | 147 | 0.26 | <0.05 | 147 | 0.34 | <0.05 |
| Subglottic width | 146 | 0.26 | <0.05 | 147 | 0.35 | <0.05 |
| Subglottic depth | 146 | 0.21 | <0.05 | 147 | 0.41 | <0.05 |
| Subglottic lumen width | 146 | 0.30 | <0.05 | 147 | 0.26 | <0.05 |
| Subglottic lumen depth | 146 | 0.28 | <0.05 | 147 | 0.27 | <0.05 |
| Tracheal width | 145 | 0.28 | <0.05 | 141 | 0.13 | 0.12 |
| Tracheal depth | 145 | 0.17 | <0.05 | 141 | 0.06 | 0.49 |
| Tracheal lumen width | 145 | 0.27 | <0.05 | 141 | 0.16 | <0.05 |
| Tracheal lumen depth | 145 | 0.25 | <0.05 | 141 | 0.04 | 0.67 |
| C | ||||||
| Laryngeal width | 146 | 0.05 | 0.53 | 147 | 0.32 | <0.05 |
| Laryngeal depth | 146 | 0.28 | <0.05 | 147 | 0.24 | <0.05 |
| Subglottic width | 145 | 0.16 | 0.05 | 147 | 0.22 | <0.05 |
| Subglottic depth | 145 | 0.15 | 0.08 | 147 | 0.35 | <0.05 |
| Subglottic lumen width | 145 | 0.09 | 0.29 | 147 | 0.20 | <0.05 |
| Subglottic lumen depth | 145 | 0.12 | 0.15 | 147 | 0.21 | <0.05 |
| Tracheal width | 144 | 0.07 | 0.38 | 141 | 0.09 | 0.28 |
| Tracheal depth | 144 | 0.02 | 0.85 | 141 | 0.14 | 0.09 |
| Tracheal lumen width | 144 | 0.14 | 0.10 | 141 | 0.18 | <0.05 |
| Tracheal lumen depth | 144 | 0.12 | 0.17 | 141 | 0.17 | 0.05 |
| D | ||||||
| Female + Male | ||||||
| n | r | p | ||||
| Maximum glottic width | 289 | 0.11 | 0.06 | |||
r – Spearman’s rank correlation coefficient; n – number of measurements obtained; p – statistical significance of the correlation
Correlations with neonatal body weight (Tab. 1A):
- a)
Females:
A moderate correlation was observed between body weight and laryngeal depth (r = 0.32, p <0.05), subglottic laryngeal width (r = 0.37, p <0.05), and subglottic lumen depth (r = 0.34, p <0.05).
- b)
Males:
A good correlation was found between birth weight and subglottic laryngeal depth (r = 0.55, p <0.05). Additionally, moderate correlations were identified between body weight and the width of the subglottic part of the larynx (r = 0.37, p <0.05), and the width (r = 0.33, p <0.05) as well as depth (r = 0.34, p <0.05) of its lumen in boys. Other parameters analyzed showed weak but statistically significant associations with birth weight in both sexes.
- c)
The correlation between maximum glottic width across the entire research group (both sexes combined) and body weight was weak and not statistically significant (r = 0.11, p = 0.06) (Tab. 1D).
- a)
Correlations with neonatal body length (Tab. 1B):
- a)
Females:
Relationships between measured parameters and body length were weak.
- b)
Males:
Statistically significant correlations were observed between body length and laryngeal width and depth, as well as the width and depth of its subglottic part (respectively r = 0.31; 0.34; 0.35; 0.41; p <0.05). Other parameters demonstrated weak correlations with body length.
- a)
Correlations with gestational age (Tab. 1C):
- a)
Females:
All analyzed parameters showed weak correlations with gestational age.
- b)
Males:
Good correlations were noted between gestational age and both laryngeal width (r = 0.32, p<0.05) and subglottic depth (r = 0.35, p <0.05). Other parameters showed weak but statistically significant relationships.
- a)
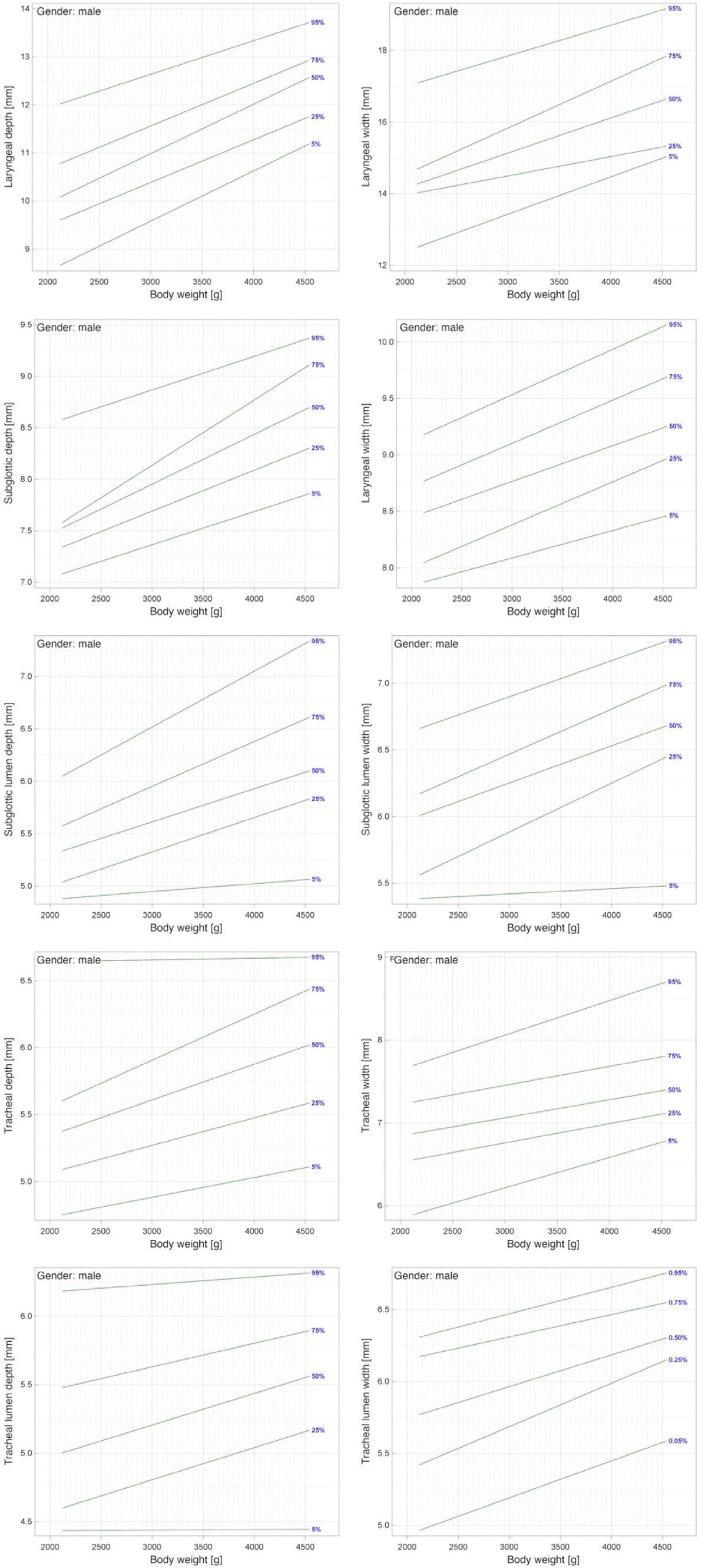
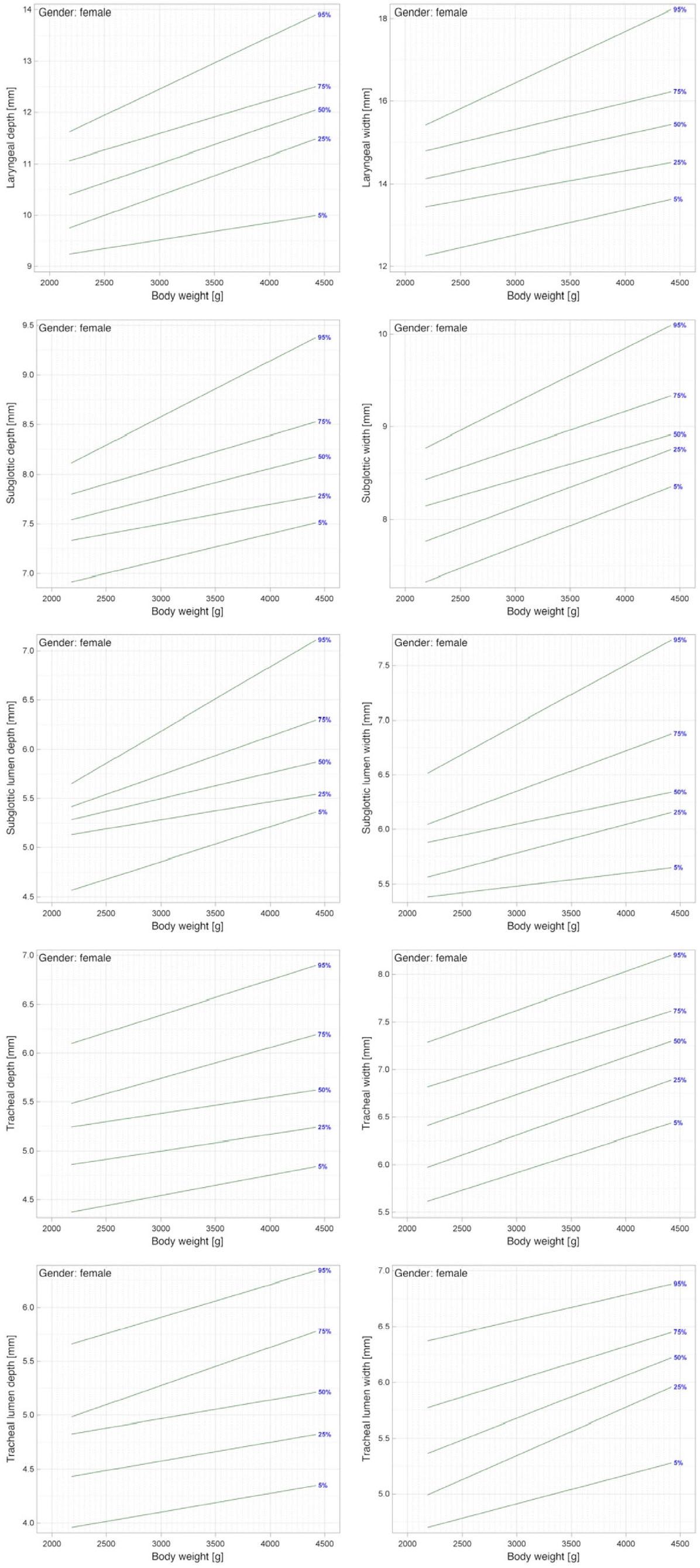
Percentile charts for the dimensions of the larynx, trachea, and their lumens, adjusted for body weight in females and males, were generated (Fig. 2, Fig. 3). Previously published data indicated no significant sex differences in maximum glottic width (average 4.06 mm in females and 4.14 mm in males; p = 0.24)(17). Therefore, the authors decided to create a percentile chart for this parameter, combining all participants into one group (Fig. 4).

Centile charts illustrating the relationship between the size of the larynx and trachea and body weight in female newborns

Centile charts illustrating the relationship between the size of the larynx and trachea and body weight in male newborns

Centile chart illustrating the relationship between maximum glottic width and body weight in newborns
Statistical evaluation using Bablock–Passing analysis and Bland–Altman regression, demonstrated a substantial degree of concordance between measurements obtained by the two independent researchers.
During the first days of life, ultrasound examinations of the larynx and trachea were performed on 300 stable Caucasian newborns. Ultimately, data obtained from 298 participants were included in the analysis, forming the basis for correlation analyses between individual measurements, body weight, body length and gestational age. Furthermore, percentile charts depicting the relationship between the sizes of the larynx, trachea, and their lumens in relation to the body weight of the newborns were also created. Results demonstrated a more pronounced dependency of these measurements on body weight than on body length in both female and male infants.
A notable limitation of this study is the lack of comparable literature evaluating correlations of laryngeal and tracheal dimensions in ultrasound examinations of newborns. Consequently, during imaging, utmost care was taken to adhere strictly to the pre-established protocol and to ensure measurement accuracy. Additionally, to maximize patient comfort, the duration of the ultrasonographic procedure was shortened as much as possible, and measurements were not performed during the examination itself. This approach precluded re-evaluation in cases of missing or poor-quality images. Nonetheless, data gaps were noted in only a small number of measurements. Moreover, conducting measurements in a computer program after completing patient recruitment and image acquisition allowed for the elimination of observer bias related to the assessment of neonatal anthropometric characteristics. Furthermore, the literature describes various methods for neonatal length measurement, the results of which vary significantly(13,14,15,16). Thus, the evaluation of the relationship between measurements and body length was limited to a discussion of the obtained data. The authors decided not to publish percentile charts dependent on body length to avoid potential misinterpretation caused by inaccuracies in neonatal length measurements. In addition, the researchers decided not to create centile charts based on gestational age due to the weak and, in most cases, statistically insignificant correlations between the measurements obtained and this parameter. For the same reasons, relationships between maximum glottic width and body length and gestational age of the study group were not investigated.
The measurements of the larynx, trachea, and their lumens obtained from ultrasound examinations allowed for analysis of correlations between these parameters and the anthropometric data of the newborns. Moreover, these data facilitated the creation of percentile charts illustrating the sizes of the larynx, trachea, and their lumens in relation to body weight. Despite the small size of the structures under consideration and seemingly minor differences in measurements, including a large group of healthy, stable neonates enabled a correlation analysis to be performed between the observed parameters and the anthropometric data. The results indicate a statistically significant relationship between the size of the larynx and trachea and body weight in both male and female infants.
Furthermore, the absence of clear, statistically significant relationships between laryngeal and tracheal measurements and gestational age, in relation to their body weight, is highlighted. The authors hypothesize that this finding may inform future considerations on the standardization of the intubation tube selection process for this patient population, with a particular focus on its correlation with birth weight.
As measurements of newborn length can be inaccurate depending on the technique used and the examiner’s experience, and due to the weak, mostly statistically insignificant correlations between larynx and trachea measurements, the researchers decided to develop percentile charts based solely on body weight.
Considering widespread availability of ultrasound equipment in neonatal and pediatric wards, knowledge of these correlations and access to percentile charts for laryngeal and tracheal measurements, and their lumens could provide a vital foundation for the assessment of normal anatomical development of these organs. The authors believe that expanding knowledge of ultrasonography of the larynx and trachea may lead to faster, more accessible, and more targeted diagnostic procedures that minimize patient discomfort.