Figure 1

Figure 2

Figure 3

Figure 4

Figure 5

Figure 6

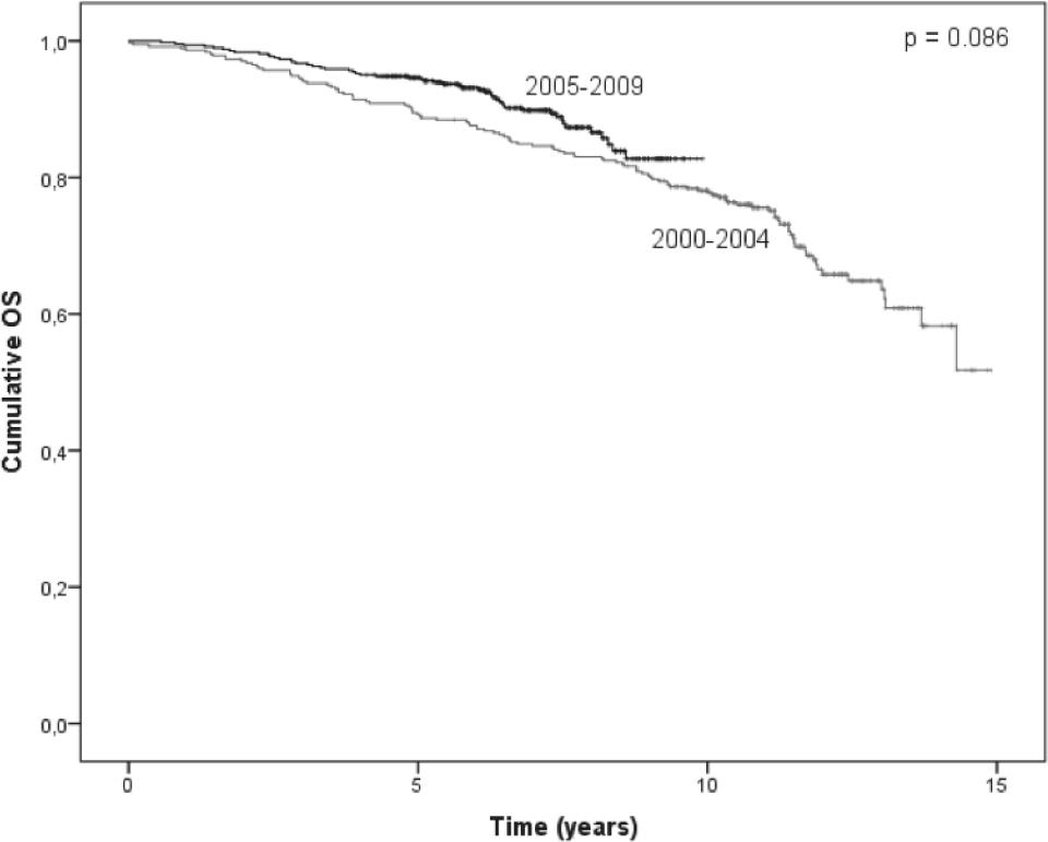
Comparison of 1-, 3- and 5-year overall survival (OS) probabilities for node-negative breast cancer patients treated at the University Medical Centre Maribor (N=858) and in Slovenia (N=4740) in the period 2000–2009_ The only statistically significant OS difference was observed between the two periods in Slovenian patients (p<0_001)_
| Maribor | Slovenia | |||||||
|---|---|---|---|---|---|---|---|---|
| 2000-2004 | 2005-2009 | 2000-2004 | 2005-2009 | |||||
| OS | % | 95% CI | % | 95% CI | % | 95% CI | % | 95% CI |
| 1-year | 98.7 | 97.5-99.9 | 99.4 | 98.6-100 | 98.9 | 98.5-99.3 | 99.0 | 98.6-99.4 |
| 3-year | 94.3 | 91.9-96.7 | 96.7 | 95.1-98.3 | 95.2 | 94.2-96.2 | 95.5 | 94.7-96.3 |
| 5-year | 89.2 | 86.1-92.3 | 94.6 | 92.6-96.6 | 90.1 | 88.9-91.3 | 92.4 | 91.4-93.4 |
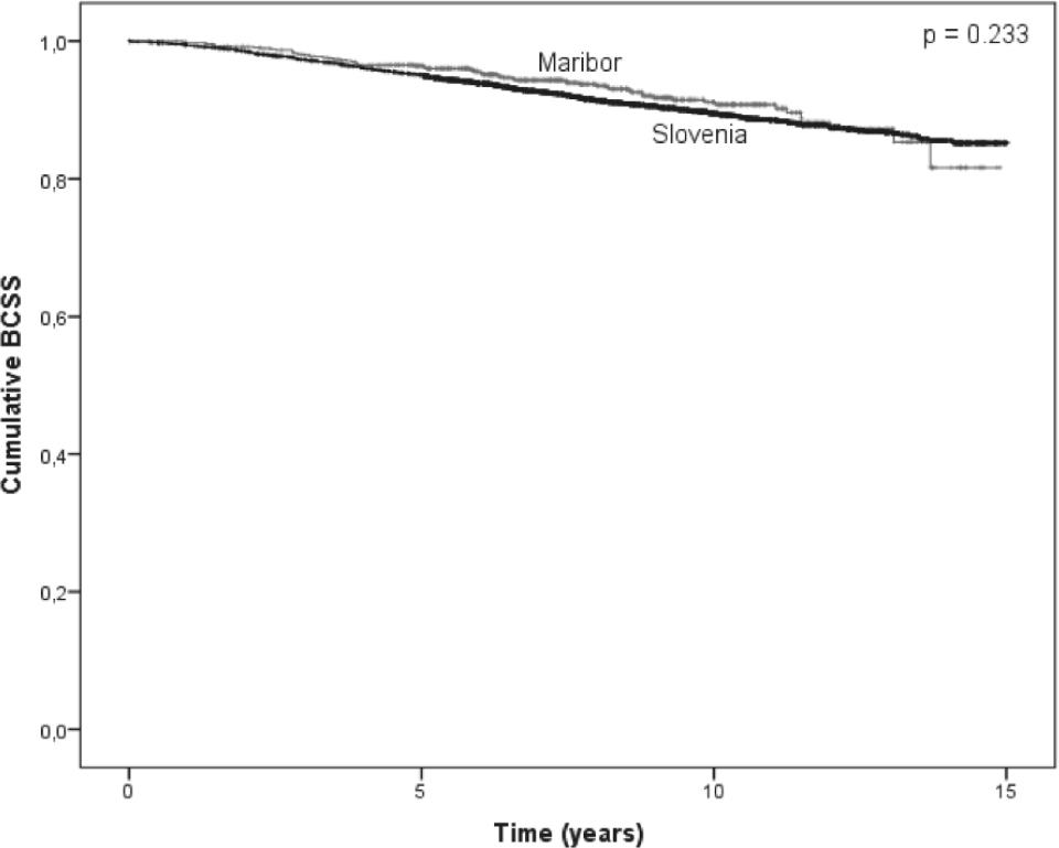
Comparison of 1-, 3- and 5-year breast cancer specifi c survival (BCSS) probabilities for node-negative breast cancer patients treated at the University Medical Centre Maribor (N=858) and in Slovenia (N=4740) in the period 2000–2009_ Statistically significant BCSS differences were observed between the two periods in patients treated in Maribor (p=0_028) and in all Slovenian patients (p<0_001)_ No differences were observed according to the site of treatment (p=0_233)_
| Maribor | Slovenia | |||||||
|---|---|---|---|---|---|---|---|---|
| 2000-2004 | 2005-2009 | 2000-2004 | 2005-2009 | |||||
| BCSS | % | 95% CI | % | 95% CI | % | 95% CI | % | 95% CI |
| 1-year | 99.5 | 98.7-100 | 100 | 99.6-100 | 99.4 | 99.0-99.8 | 99.4 | 99.0-99.8 |
| 3-year | 97.5 | 95.9-99.1 | 98.3 | 97.1-99.5 | 97.3 | 96.7-97.9 | 97.3 | 96.7-97.9 |
| 5-year | 95.3 | 93.1-97.4 | 97.3 | 95.9-98.7 | 94.5 | 93.5-95.5 | 95.6 | 94.8-96.4 |
Multivariate analysis of factors influencing overall survival (OS) and breast cancer specific survival (BCSS) in node-negative breast cancer patients treated at the University Medical Centre Maribor in the period 2000–2009 (N=858)_
| OS | BCSS | |||
|---|---|---|---|---|
| Factor | HR (95% CI) | p | HR (95% CI) | p |
| Treatment period | ||||
| (2005-2009 vs. 2000-2004) | 0.63 (0.44-0.90) | 0.011 | 0.51 (0.29-0.91) | 0.021 |
| Adjuvant radiotherapy | ||||
| (yes vs. no) | 0.36 (0.22-0.57) | <0.001 | 0.41 (0.22-0.76) | 0.005 |
| Adjuvant chemotherapy | ||||
| (yes vs. no) | 0.56 (0.36-0.85) | 0.007 | 0.39 (0.20-0.78) | 0.007 |
| Age | <0.001 | 0.105 | ||
| <40 years vs. ≥70 years | 0.55 (0.22-1.42) | 0.217 | 2.17 (0.77-6.13) | 0.142 |
| 40-70 years vs. ≥70 years | 0.33 (0.23-0.49) | <0.001 | 0.80 (0.45-1.42) | 0.442 |
Characteristics of node-negative breast cancer patients treated at the University Medical Centre Maribor (N=858) and in Slovenia (N=4740) in the period 2000–2009_
| Maribor N (%) | Slovenia N (%) | |
|---|---|---|
| Time period | ||
| 2000-2004 | 373 (43.5) | 2253 (47.5) |
| 2005-2009 | 485 (56.5) | 2487 (52.5) |
| Age | ||
| <40 years | 37 (4.3) | 208 (4.4) |
| ≥40 and <70 years | 561 (65.4) | 3316 (70.0) |
| ≥70 years | 260 (30.3) | 1216 (25.6) |
| Postoperative radiation therapy | ||
| no | 439 (51.2) | 2504 (52.8) |
| yes | 419 (48.8) | 2236 (47.2) |
| Adjuvant systemic therapy | ||
| no | 71 (8.3) | 839 (17.7) |
| yes | 787 (91.7) | 3901 (82.3) |
Multivariate analysis of factors influencing overall survival (OS) and breast cancer specific survival (BCSS) in node-negative breast cancer patients treated in Slovenia in the period 2000–2009 (N=4740)_
| OS | BCSS | |||
|---|---|---|---|---|
| Factor | HR (95% CI) | p | HR (95% CI) | p |
| Treatment period | ||||
| (2005-2009 vs. 2000-2004) | 0.76 (0.66-0.88) | <0.001 | 0.67 (0.55-0.82) | <0.001 |
| Adjuvant radiotherapy | ||||
| (yes vs. no) | 0.60 (0.51-0.71) | <0.001 | 0.65 (0.52-0.81) | <0.001 |
| Adjuvant chemotherapy | ||||
| (yes vs. no) | 0.75 (0.65-0.87) | <0.001 | 0.77 (0.62-0.96) | 0.019 |
| Age | <0.001 | <0.001 | ||
| <40 years vs. ≥70 years | 0.37 (0.26-0.54) | <0.001 | 0.86 (0.57-1.30) | 0.475 |
| 40-70 years vs. ≥70 years | 0.30 (0.26-0.34) | <0.001 | 0.47 (0.38-0.58) | <0.001 |
