Breast cancer is the most common cancer in women whose incidence continues to grow in most parts of the world, largely due to the aging population. In Slovenia, crude breast cancer incidence has increased from 94.3/100.000 women in 2000 to 110.7/100.000 women in 2009 (1). Breast cancer remains the leading cause of cancer-related death in Slovenia (2) as well as in Europe (3) despite the remarkable improvements in survival achieved over the last decades (2, 4, 5). Breast cancer screening programmes have been implemented in many countries across Europe since the 1990s (6). These have been shown to improve breast cancer specific survival rates by approximately 20%, mostly due to earlier diagnosis (7-9). In Slovenia, national breast cancer screening programme DORA has begun with biannual organised screening of women aged 50–69 in the Ljubljana region in 2008 and has been gradually expanding so that it now includes 72% of the target population in Slovenia (10). A slight shift towards earlier diagnosis has been already noted in Slovenia before widespread organised breast cancer screening (11, 12), probably due to a considerable amount of “opportunistic” mammography testing and rising public awareness. In 2013, 55.5% of breast cancers in Slovenian women were diagnosed in a localised stage without regional nodal involvement (2). This number is expected to rise further in the following years.
Irrespective of such a large proportion of patients with localised disease, Slovenian data on survival of this prognostically favourable group of patients are scarce. In addition, separate survival data for patients treated at the University Medical Centre Maribor, a combined secondary/tertiary care centre treating breast cancer patients from the north-eastern region of Slovenia, have never been published. We performed this retrospective study to determine the 5-year overall and breast cancer specific survival for patients with node-negative breast cancer who received primary treatment at the University Medical Centre Maribor in the period 2000–2009. As a quality control measure, we compared the survival of our patients with that of patients with the same characteristics at the national level.
Medical records were searched for information on patients with lymph node-negative invasive breast cancer without distant metastases who received primary treatment at the University Medical Centre Maribor, Slovenia, between January 1 2000 and December 31 2009. Exclusion criteria were systemic treatment or radiotherapy before primary surgery and more than one primary cancer. Information on date of diagnosis, patient age, primary treatment, possible disease recurrence, date and cause of death was obtained from hospital medical records. Information on possible date and cause of death for the patients who did not regularly attend follow-up visits was obtained from the Cancer Registry of Republic of Slovenia. The cause of death for these patients was double-checked with their family physicians. All patients were followed for a minimum of 5 years until December 31, 2014.
The study group was compared with all female permanent residents of Slovenia who were diagnosed with invasive breast cancer without lymph node or distant metastases in the period 2000–2009 who were primarily treated with surgery and did not receive preoperative systemic treatment or radiotherapy. All data for this group of patients were obtained from the Cancer Registry of Republic of Slovenia (1). In order to make this group as similar to the study group as possible and because the Cancer Registry did not yet have information on cause of death for patients who died in 2015 and 2016, December 31, 2014, was chosen as the cut-off date for survival analyses for these patients, as well.
All patients received either lumpectomy with sentinel lymph node biopsy followed by radiotherapy or modified radical mastectomy as locoregional treatment. Adjuvant systemic therapy was given according to the relevant clinical practice guidelines and the decision made by the multidisciplinary tumour board. In general, all patients with hormone receptor positive tumours were offered adjuvant hormone therapy, and most patients with hormone receptor negative tumours were offered adjuvant chemotherapy. Adjuvant chemotherapy in addition to adjuvant hormone therapy was offered to highrisk patients with hormone receptor positive tumours. Adjuvant trastuzumab in combination with chemotherapy was offered to most patients with HER2 positive tumours treated in the period 2005–2009 and to a few selected high-risk patients in the period 2000–2004.
To analyse the time trends in survival, patients were divided in two groups based on the year of diagnosis: 2000–2004 and 2005–2009. Overall survival (OS) was calculated from the date of diagnosis until the date of death from any cause. Breast cancer specific survival (BCSS) was calculated from the date of diagnosis until the date of death from breast cancer. Kaplan-Meier method was used to calculate survival curves and univariate Cox regression was used to assess the hazard ratios (HR). To control for some other clinically important variables apart from treatment period, multivariate analyses were performed by applying the multivariate Cox proportional hazards model. All tests were performed at a significance level of p=0.05 and a confidence interval (CI) of 95%. All p values were two-sided. Statistical analysis was performed using the SPSS software package v. 22 (IBM, Armonk, NY, USA).
In the period 2000–2009, 858 node-negative invasive breast cancer patients without distant metastases were treated at the University Medical Centre Maribor. This represented 18.1% of the 4740 corresponding node-negative patients who were treated in Slovenia in the same period. The characteristics of patients in both groups are shown in Table 1.
Characteristics of node-negative breast cancer patients treated at the University Medical Centre Maribor (N=858) and in Slovenia (N=4740) in the period 2000–2009.
| Maribor N (%) | Slovenia N (%) | |
|---|---|---|
| Time period | ||
| 2000-2004 | 373 (43.5) | 2253 (47.5) |
| 2005-2009 | 485 (56.5) | 2487 (52.5) |
| Age | ||
| <40 years | 37 (4.3) | 208 (4.4) |
| ≥40 and <70 years | 561 (65.4) | 3316 (70.0) |
| ≥70 years | 260 (30.3) | 1216 (25.6) |
| Postoperative radiation therapy | ||
| no | 439 (51.2) | 2504 (52.8) |
| yes | 419 (48.8) | 2236 (47.2) |
| Adjuvant systemic therapy | ||
| no | 71 (8.3) | 839 (17.7) |
| yes | 787 (91.7) | 3901 (82.3) |
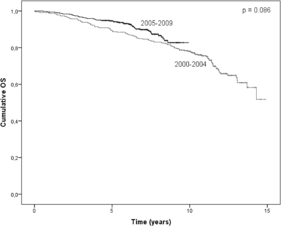
Overall survival analysis was based on 163 events in the group of patients treated in Maribor, and 943 events in all Slovenian patients. The 5- and 10-year OS probabilities of patients who underwent primary treatment at the University Medical Centre Maribor in the period 2000–2009 were 92.3% (95% CI, 90.5%–94.1%; 66 events, 44 censored cases) and 80.1% (95% CI, 77.0%–83.2%; 133 events, 479 censored cases), respectively.The 5-year OS probabilities of the patients diagnosed in the periods 2000–2004 and 2005–2009 were 89.2% (95% CI, 86.1%–92.3%) and 94.6% (95% CI, 92.6%–96.6%), respectively (HR 0.73; 95% CI, 0.51–1.05; p=0.086; Figure 1). In the group of all Slovenian patients, the 5- and 10-year OS probabilities of patients diagnosed in the period 2000–2009 were 91.3% (95% CI, 90.5%–92.1%; 413 events, no censored cases) and 79.6% (95% CI, 78.2%–81.0%; 809 events, 2179 censored cases), respectively. For these patients, OS was significantly better for patients diagnosed in the period 2005–2009, compared to those diagnosed in the period 2000–2004 (HR 0.77; 95% CI, 0.66–0.89; p<0.001; Figure 2).

Kaplan-Meier plot of overall survival (OS) probability for node-negative breast cancer patients treated at the University Medical Centre Maribor, according to the period of diagnosis (N=858). The difference in OS between the two periods of diagnosis is not statistically significant (p=0.086).

Kaplan-Meier plot of overall survival (OS) probability for all Slovenian node-negative breast cancer patients according to the period of diagnosis (N=4740). OS was significantly better for patients diagnosed in the period 2005–2009, compared to those diagnosed in the period 2000–2004 (p<0.001).
A comparison of 1-, 3- and 5-year OS probabilities according to the period of diagnosis and site of treatment is presented in Table 2. No difference in overall survival was observed between the patients treated at the University Medical Centre Maribor and all Slovenian patients (HR 1.07; 95% CI, 0.91–1.27; p=0.413; Figure 3).

Kaplan-Meier plot of overall survival (OS) probability for node-negative breast cancer patients treated at the University Medical Centre Maribor (N=858), compared to all Slovenian node-negative breast cancer patients (N=4740) diagnosed in the period 2000–2009. No difference in OS was observed (p=0.413). The fi nal part of the line representing the Maribor data is less reliable, because of the small number of patients at risk.
Comparison of 1-, 3- and 5-year overall survival (OS) probabilities for node-negative breast cancer patients treated at the University Medical Centre Maribor (N=858) and in Slovenia (N=4740) in the period 2000–2009. The only statistically significant OS difference was observed between the two periods in Slovenian patients (p<0.001).
| Maribor | Slovenia | |||||||
|---|---|---|---|---|---|---|---|---|
| 2000-2004 | 2005-2009 | 2000-2004 | 2005-2009 | |||||
| OS | % | 95% CI | % | 95% CI | % | 95% CI | % | 95% CI |
| 1-year | 98.7 | 97.5-99.9 | 99.4 | 98.6-100 | 98.9 | 98.5-99.3 | 99.0 | 98.6-99.4 |
| 3-year | 94.3 | 91.9-96.7 | 96.7 | 95.1-98.3 | 95.2 | 94.2-96.2 | 95.5 | 94.7-96.3 |
| 5-year | 89.2 | 86.1-92.3 | 94.6 | 92.6-96.6 | 90.1 | 88.9-91.3 | 92.4 | 91.4-93.4 |
Breast cancer specifi c survival analysis was based on 65 events in the group of patients treated in Maribor, and 458 events in all Slovenian patients. The 5- and 10-year BCSS probabilities of patients who underwent primary treatment at the University Medical Centre Maribor in the period 2000–2009 were 96.4% (95% CI, 95.2%–97.6%; 30 events, 69 censored cases) and 91.1% (95% CI, 88.7%– 93.4%; 57 events, 556 censored cases), respectively. The corresponding 5- and 10-year BCSS probabilities in all Slovenian patients were 95.1% (95% CI, 94.5%–95.7%; 413 events, 183 censored cases) and 89.5% (95% CI, 88.5%– 90.5%; 415 events, 2573 censored cases), respectively. Improved BCSS was noted in patients diagnosed in the period 2005–2009, compared to the period 2000–2004 for patients treated in Maribor (HR 0.53; 95% CI, 0.30–0.94; p=0.028; Figure 4), as well as for all Slovenian patients (HR 0.66; 95% CI, 0.54–0.81; p<0.001; Figure 5).

Kaplan-Meier plot of breast cancer specifi c survival (BCSS) probability for node-negative breast cancer patients treated at the University Medical Centre Maribor, according to the period of diagnosis (N=858). BCSS was significantly better for patients diagnosed in the period 2005–2009, compared to the patients diagnosed in the period 2000–2004 (p=0.028).

Kaplan-Meier plot of breast cancer specifi c survival (BCSS) probability for all Slovenian node-negative breast cancer patients according to the period of diagnosis (N=4740). BCSS was significantly better for patients diagnosed in the period 2005–2009, compared to those diagnosed in the period 2000–2004 (p<0.001).
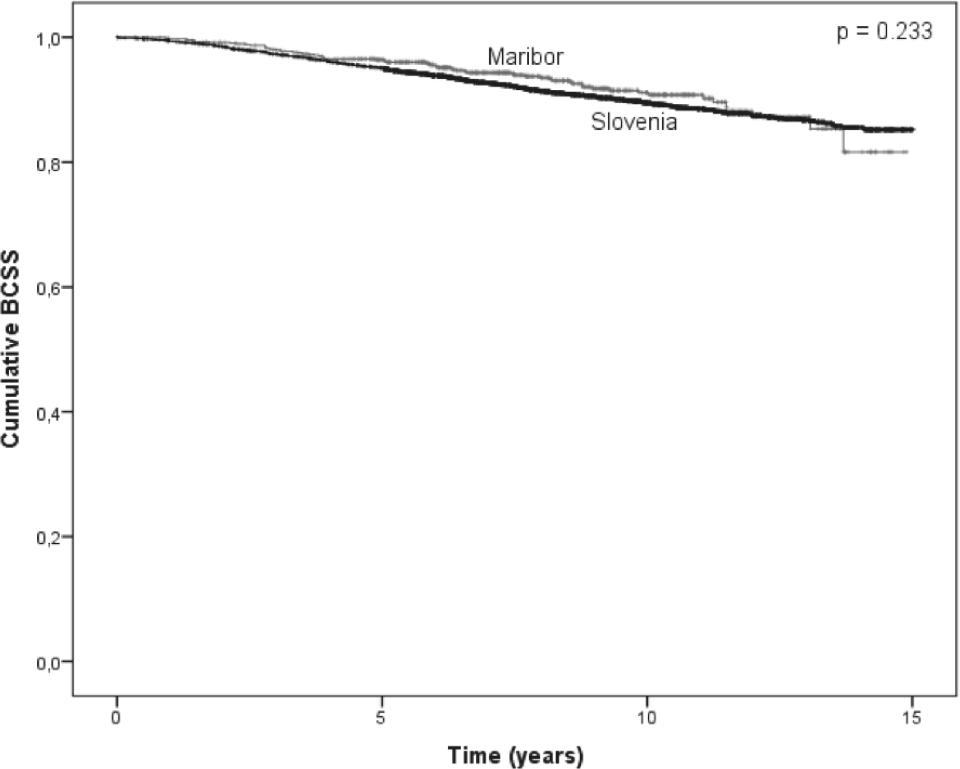
No difference in breast cancer specifi c survival was observed between the patients treated at the University Medical Centre Maribor and all Slovenian patients (HR 0.85; 95% CI, 0.66–1.11; p=0.233; Figure 6). Table 3 shows a comparison of 1-, 3- and 5-year BCSS probabilities according to the period of diagnosis and site of treatment.

Kaplan-Meier plot of breast cancer specifi c survival (BCSS) probability for node-negative breast cancer patients treated at the University Medical Centre Maribor (N=858), compared to all Slovenian nodenegative breast cancer patients (N=4740) diagnosed in the period 2000–2009. No difference in BCSS was observed (p=0.233).
Comparison of 1-, 3- and 5-year breast cancer specifi c survival (BCSS) probabilities for node-negative breast cancer patients treated at the University Medical Centre Maribor (N=858) and in Slovenia (N=4740) in the period 2000–2009. Statistically significant BCSS differences were observed between the two periods in patients treated in Maribor (p=0.028) and in all Slovenian patients (p<0.001). No differences were observed according to the site of treatment (p=0.233).
| Maribor | Slovenia | |||||||
|---|---|---|---|---|---|---|---|---|
| 2000-2004 | 2005-2009 | 2000-2004 | 2005-2009 | |||||
| BCSS | % | 95% CI | % | 95% CI | % | 95% CI | % | 95% CI |
| 1-year | 99.5 | 98.7-100 | 100 | 99.6-100 | 99.4 | 99.0-99.8 | 99.4 | 99.0-99.8 |
| 3-year | 97.5 | 95.9-99.1 | 98.3 | 97.1-99.5 | 97.3 | 96.7-97.9 | 97.3 | 96.7-97.9 |
| 5-year | 95.3 | 93.1-97.4 | 97.3 | 95.9-98.7 | 94.5 | 93.5-95.5 | 95.6 | 94.8-96.4 |
The results of multivariate analyses of OS and BCSS are presented in Tables 4 and 5.
Multivariate analysis of factors influencing overall survival (OS) and breast cancer specific survival (BCSS) in node-negative breast cancer patients treated at the University Medical Centre Maribor in the period 2000–2009 (N=858).
| OS | BCSS | |||
|---|---|---|---|---|
| Factor | HR (95% CI) | p | HR (95% CI) | p |
| Treatment period | ||||
| (2005-2009 vs. 2000-2004) | 0.63 (0.44-0.90) | 0.011 | 0.51 (0.29-0.91) | 0.021 |
| Adjuvant radiotherapy | ||||
| (yes vs. no) | 0.36 (0.22-0.57) | <0.001 | 0.41 (0.22-0.76) | 0.005 |
| Adjuvant chemotherapy | ||||
| (yes vs. no) | 0.56 (0.36-0.85) | 0.007 | 0.39 (0.20-0.78) | 0.007 |
| Age | <0.001 | 0.105 | ||
| <40 years vs. ≥70 years | 0.55 (0.22-1.42) | 0.217 | 2.17 (0.77-6.13) | 0.142 |
| 40-70 years vs. ≥70 years | 0.33 (0.23-0.49) | <0.001 | 0.80 (0.45-1.42) | 0.442 |
Multivariate analysis of factors influencing overall survival (OS) and breast cancer specific survival (BCSS) in node-negative breast cancer patients treated in Slovenia in the period 2000–2009 (N=4740).
| OS | BCSS | |||
|---|---|---|---|---|
| Factor | HR (95% CI) | p | HR (95% CI) | p |
| Treatment period | ||||
| (2005-2009 vs. 2000-2004) | 0.76 (0.66-0.88) | <0.001 | 0.67 (0.55-0.82) | <0.001 |
| Adjuvant radiotherapy | ||||
| (yes vs. no) | 0.60 (0.51-0.71) | <0.001 | 0.65 (0.52-0.81) | <0.001 |
| Adjuvant chemotherapy | ||||
| (yes vs. no) | 0.75 (0.65-0.87) | <0.001 | 0.77 (0.62-0.96) | 0.019 |
| Age | <0.001 | <0.001 | ||
| <40 years vs. ≥70 years | 0.37 (0.26-0.54) | <0.001 | 0.86 (0.57-1.30) | 0.475 |
| 40-70 years vs. ≥70 years | 0.30 (0.26-0.34) | <0.001 | 0.47 (0.38-0.58) | <0.001 |
Despite some limitations as pertains the comparability of the groups due to the differences in data collection, we believe that our results show clearly enough that overall and breast cancer specific survival of early stage breast cancer patients treated at the University Medical Centre Maribor do not differ from the survival of all Slovenian patients with similar characteristics. This expected result serves as important evidence that the quality of treatment of early breast cancer patients in our centre is not inferior to Slovenian average. Of course, this result will also encourage us to try to further improve our patient care.
Improvement of survival was noted over two fiveyear periods of diagnosis, 2000–2004 and 2005–2009. In multivariate analyses, controlling for other clinically important variables, statistically significant improvement of both OS and BCSS persisted, irrespective of patient age and adjuvant treatment. One of the reasons for this improvement is probably the increasing proportion of small nonpalpable tumours detected by screening. The other major reason for improved survival is undoubtedly the improvement of both adjuvant systemic treatment and treatment of metastatic breast cancer, as exemplified by the use of trastuzumab in HER2-positive disease (13).
In general, a marked improvement of 5-year relative survival rates of all breast cancer patients has been noted in most of the European countries in the first decade of the 21st century (14). In Slovenia, 5-year relative survival for breast cancer patients has risen from 81.8% for those diagnosed in the period 2000–2004 to 88.1% in the period 2005–2009 (15). However, some data suggest that the larger part of survival improvement in developed countries has been seen in higher-stage, node-positive disease, while little or no improvement has been noted in the prognostically more favourable group of node-negative patients (16). In contrast, strong improvement of survival rates over time has been observed in nodenegative breast cancer patients in some less developed countries, for example, in Malaysia, where an increase of 5-year overall survival probability from 79% in the period 1993–1997 to 94% in 1998–2002 has been reported in a single-institution study (17).
The other factors associated with better survival in multivariate analyses of both the Maribor and the Slovenian cohort were adjuvant radiotherapy and adjuvant systemic therapy. These findings are consistent with large reviews of the literature (18, 19). However, firm conclusions about the effects of adjuvant treatment cannot be drawn based on our study, because we did not have exact information on important confounding prognostic factors that influence adjuvant treatment decisions. Additionally, age was a significant factor in our multivariate analyses as well. Expectedly, patients aged 70 and above were at an increased risk of dying of any cause, compared to younger patients. In the larger Slovenian cohort, these patients also had worse BCSS, compared to patients aged 40–70 years, but no worse than patients under 40. Similar trends have been reported in other countries (20).
The results of our study confirm excellent 5-year survival rates in breast cancer patients without lymph node metastases throughout the study period. BCSS of patients treated at the University Medical Centre Maribor in the period 2000–2009 was 96.4%, and the corresponding BCSS of all Slovenian patients was 95.1%. These numbers are similar to the reported 96.9% 5-year cause-specific survival of node-negative breast cancer patients treated in Sweden in the period 2000–2004 (21). A CONCORD high-resolution study that compared breast cancer survival data across seven US states and twelve European countries, including Slovenia, reported 92–98% 5-year agestandardised net survival of node-negative patients with small (T1) tumours, and 84–93% 5-year age-standardised net survival of node-negative patients with larger (T2-3) tumours for patients diagnosed in the period 1994–1999 (22).
Due to these high and further rising survival rates, it is essential to emphasise the need for coordinated survivorship care. Patients may face long-term medical issues, such as cardiac issues, bone health problems, lymphedema and thromboembolic events as a consequence of their disease or its treatment. In addition to followup for breast cancer recurrence, it is important to keep in mind that these patients are at an increased risk for second primary malignancies. Furthermore, survivorship care should routinely incorporate advice on a healthy diet and an active lifestyle (23).
We have shown that overall and breast cancer specific survival of node-negative breast cancer patients treated at the University Medical Centre Maribor are not inferior to survival of patients treated elsewhere in Slovenia. Although survival rates of these patients who now constitute more than half of all Slovenian breast cancer patients are already very high, there was still a clear trend of improvement over two time periods, both in Maribor and in Slovenia. The rising number of long-term breast cancer survivors places an additional importance on survivorship care.
