Cancer is one of the major causes of death in developed countries.1 Despite the fact that several decades of investigations and massive funding have been devoted to the cancer research, the decrease in cancer mortality is relatively modest.2 Based on numerous different genes implicated in sustained proliferative signalling, evading growth suppression, resisting cell death, enabling replicative immortality, inducing angiogenesis, and activating invasion and metastasis, cancers exhibit considerable genetic complexity and genome instability, which generates the genetic diversity.2,3 Consequently, amongst all diseases, cancer is one of the most difficult to treat and cure, because it is not a single disease but rather consists of numerous different types and subtypes.
Targeted therapy with novel drugs directed at specific molecular pathways opens promising new avenues to improve the efficacy of therapy. However, in spite of the initial enthusiasm, the clinical application of such target oriented anticancer drugs did not fulfil the expectations. Although the targeted therapy has been successful, it is still limited to some very specific types of tumours.3 Hence, in order to increase the effectiveness of cancer treatment, new compounds with potential anticancer activities have to be synthesized and screened.
Modern synthetic chemistry is powered by facile synthetic protocols that allow for a rapid generation of compound scaffolds. Catalyzed azide-alkyne cycloaddition reaction producing 1,2,3-triazoles (‘click’ triazoles) is one of such example.4,5 Moreover, this chemistry paves the way to a variety of derivatives including 1,3,4-trisubstituted 1,2,3-triazolium salts (‘click’ triazolium salts).6 1,2,3-Triazole has drug-like properties7 and its derivatives are recognized for their broad range of biological activities, including antiviral, antibacterial, antifungal, anti-inflammatory and analgesic, anticonvulsant, antiparasitic, antidiabetic, antiobesitic, antihistaminic, antineuropathic, antihypertensive, and anticancer activities8, presenting a promising group of potential anticancer drugs. Despite the fact that there are numerous examples on cytotoxic activities of compounds with a triazole subunit9-15, to our knowledge, only one such report exists for the 1,2,3-triazolium salts. Namely, Shrestha and Chang reported an in teresting anticancer activity of the compounds having triazolium ring fused to 1,4-naphthoquinone.16 No cytotoxic activity of the 1,3,4-trisubstituted 1,2,3-triazolium salts has been reported to date.
We recently developed a strategy for the ‘click’ triazolium salts synthesis, and prepared a library of twelve isomeric and homologous pyridine tethered 1,2,3-triazoles (1), which were then subjected to the selective N-methylation into the 3-methyl-1,4disubstituted 1,2,3-triazolium salts 2a – l.17,18 The library constituents differed in the 1,4-substitution pattern consisting of phenyl, 4-methoxyphenyl and 4-(trifluoromethyl)phenyl functionalized 1-(2-picolyl) (2a – c), 4-(2-picolyl) (2d – f), 1-(2-pyridyl) (2g – i) and 4-(2-pyridyl) (2j – l) isomers (Figure 1).

The structures of triazoles 1 and triazolium salts 2.
The unique properties of this class of compounds, including the charge and hydrogen bonding ability, prompted us to evaluate their anticancer activity and to gain more insight into the mode of action that underlies their antiproliferative activity.
Triazoles 1 and triazolium salts 2 were prepared as described previously.17,18 Compounds 1b, 1f, 2b, 2c, 2f – i and 2l were dissolved in ethanol while compounds 1a, 2a, 2d, 2e, 2j and 2k were dissolved in DMSO. The solutions were stored at -20°C, and diluted to the appropriate concentrations with growth medium just before use.
Human cervical carcinoma HeLa and laryngeal carcinoma HEp-2 cells were obtained from cell culture bank (GIBCO BRL, Invitrogen, Grand Island, NY, USA). HEp-2 cell line was recently recognized and categorized by ATCC as human laryngeal carcinoma cell line cross-contaminated with HeLa cells. The development of HEp-2 subline resistant to carboplatin (7T) has been published previously.19 These cells are cross-resistant to anticancer drug cisplatin, transplatin, mitomycin C and the natural compound curcumin as well.19-21 Large cell lung carcinoma H460 cells and colorectal carcinoma HCT-116 were obtained from American Type Culture Collection (ATCC; Manassas, VA, USA). Normal human skin fibroblasts were isolated from the upper arm of a 7-years-old female donor at the Neurochemical Laboratory, Department of Chemistry and Biochemistry, School of Medicine, University of Zagreb. They were used for the cytotoxicity assay at 32 and 36 population doublings. All cell lines were grown as a monolayer culture in Dulbecco’s modified Eagle’s medium (DMEM; Sigma-Aldrich, St. Louis, MO, USA), supplemented with 10% fetal bovine serum (FBS; Sigma-Aldrich) in a humidified atmosphere of 5% CO2 at 37°C and were sub-cultured every 3 – 4 days.
Cytotoxic activity of triazoles and triazolium salts was determined by MTT assay22, modified as described. Cells were seeded into 96-well tissue culture plates (3 x 103 cells/0.18 mL medium/well). The next day different concentrations of triazoles or triazolium salts were added (0.02 mL) to each well and each concentration was tested in quadruplicate. Following 72 h incubation at 37°C, the medium was aspirated, and 20 μg of the MTT dye (Sigma-Aldrich) /0.04 mL medium/well was added. Three hours later, formazan crystals were dissolved in DMSO (0.17 mL/well), the plates were mechanically agitated for 5 min and the optical density at 545 nm was determined on a microtiter plate reader (Awareness Technology Inc, Palm City, FL, USA). To examine the effect of reactive oxygen species (ROS) scavengers on survival of 2b treated cells, the same procedure was used as described above, except that two hours prior to addition of 2b, 5 mM of N-acetyl-cysteine (NAC, Sigma-Aldrich), or 1mM tempol (Santa Cruz Biotechnology, Dallas, TX, USA) was added in wells. Experiment was repeated at least three times.
For determination of colony formation 1000 cells were seeded in 6 cm dish. The next day the cells were pretreated either with 5 mM NAC or with 1 mM (HEp-2 cells) or 0.125 mM (H460 cells) tempol. Two hours later different concentrations of 2b were added in dishes with or without ROS scavengers. The effect of antioxidants on colony formation alone was determined as well. After ten days of continuous treatment, the colonies were washed with PBS, fixed with methanol, stained with Giemsa-crystal violet and counted. Untreated samples were used for determination of plating efficiency. Each concentration was tested in triplicate. Experiment was repeated at least three times.
Human large cell lung carcinoma H460 cells were seeded into 6-well tissue culture plates (105 cells/2 mL medium/well) and treated with 29.7 and 110 μM of 2b on the following day for 24, 48 and 72 hours. Thereafter, both adherent and floating cells were collected, washed with PBS and fixed overnight in 70% ethanol at -20°C. Fixed cells were treated with RNase A (0.1 mg/mL, Sigma-Aldrich) for 1 h at room temperature and afterward stained with propidium iodide (50 μg/mL, Sigma-Aldrich) for 30 min in the dark. The DNA content was analysed by flow cytometry (FACS Calibur, Becton Dickinson, Mountain View, CA, USA). Data were analysed with ModFitLTTM program (Verity Software House Inc., Topsham, ME, USA). Experiment was repeated more than three times.
The calf thymus (ct)-DNA was purchased from Sigma-Aldrich, dissolved in Na-cacodylate buffer, I = 0.05 mol/dm3, pH = 7, additionally sonicated and solution filtered through a 0.45 mm filter. Polynucleotide concentration was determined spectroscopically as the concentration of phosphates by ∊260 nm = 6600 dm3/mol1 cm–1. Thermal denaturation curves for ct-DNA and its complexes with studied compounds were determined in Nacacodylate buffer, I = 0.05 mol/dm3, pH = 7 by following the absorption change at 260 nm as a function of temperature, as previously described.23,24 The absorbance of the compound was subtracted from each curve and the absorbance scale was normalized. Measured Tm values are the midpoints of the transition curves determined from the maximum of the first derivative and checked graphically by the tangent method. The DTm values were calculated subtracting Tm of the free nucleic acid from Tm of the complex. Every ∆Tm value reported here was an average of at least two measurements. The error in DTm is ± 0.5°C.
Generation of ROS was determined by addition of 5-(and-6)-chloromethyl-2′,7′-dichlorodihydrofluorescein diacetate, acetyl ester (CM-H2DCFDA) (Invitrogen). Briefly, logarithmically growing H460 cells were incubated with 10 mM CMH2DCFDA for 1 hour according to manufacturer’s instructions. Afterward, cells were incubated with or without different concentrations of 2b during indicated time periods. After trypsinization and centrifugation, the cells were fixed in cold 80% methanol. Shortly before measurement, they were centrifuged and resuspended in PBS. The fluorescence of the product, developed by removal of the acetate groups from CM-H2DCFDA by intracellular esterases and oxidation, was measured by flow cytometry on BC Navios instrument (Beckman Coulter, Inc., Miami, FL, USA).
To further examine whether toxicity of 2b is coupled with formation of ROS, two ROS scavengers were used: NAC, a drug that has been known for years to directly reduce the level of ROS25 or the new ROS scavenger tempol.26 Their effect was determined by MTT assay or colony-forming assay as described in Cytotoxicity assay.
All data were analysed by unpaired Student’s t-test, and expressed as the mean ± standard error of the mean. Data were considered significant when P values were lower than 0.05, and in the figures these are designated as * = P < 0.05 or ** = P < 0.01. Experiments were repeated at least three times.
Cancer is the second leading cause of death in developed countries.1 Primary or acquired drug resistance and heavy side-effects strongly limit the effectiveness of classical chemotherapy. The success of advanced, target-oriented cancer therapy is at present limited only to the special types of cancers.3 This provides a great impetus for investigation of new compounds with potential anticancer activities. 1,2,3-Triazoles are very important class of heterocycles, which have been well-recognized for their broad range of biological activities, including anticancer activity.8-16
This and the fact that no cytotoxic activity of the unfused 1,3,4-trisubstituted 1,2,3-triazolium salts has yet been reported encouraged us to examine the cytotoxic activity of compounds 2a – l along with some selected parent 1,4-disubstituted triazoles 1a, 1b and 1f.
The effect of tested triazoles and triazolium salts was first evaluated in HeLa cells, the cell model system that we previously found suitable for screening of new compounds.27,28 The results are collected in Table 1.
IC50 values of triazolium salts and some parent triazoles against cervical carcinoma HeLa cells
| Cmpd | IC50 (μM)(1) |
|---|---|
| 1a | > 100 |
| 1b | > 100 |
| 1f | > 100 |
| 2a | 91.6 ± 3.9 |
| 2b | 57.0 ± 12.9 |
| 2c | > 100 |
| 2d | > 100 |
| 2e | 55.4 + 9.4 |
| 2f | –(2) |
| 2g | –(3) |
| 2h | 88.9 + 7.5 |
| 2i | 54.4 + 14.7 |
| 2j | 54.9 + 3.5 |
| 2k | > 100 |
| 2l | –(4) |
It appears that in the picolyl series of the triazolium cations (2a – f) the aryl substituent modulated the cytotoxicity against the tumour cells, with the electron donating 4-methoxyphenyl group being greater as compared to the electron neutral phenyl and the electron withdrawing 4-(trifluoromethyl)phenyl groups. In this series of the compounds the pyridine ring was separated from the triazole core by a methylene bridge and thus less likely influences the electron density at the latter. The situation drastically changes in the pyridyl series (2g – l) were the pyridine ring was attached directly to the triazole, now playing an important role in the cytotoxicity. In 2g – l the triazole core was functionalized with pyridine in two different ways, either through the triazole N1 nitrogen atom as in 2g – i, or through the triazole C4 carbon atom (2j – l). Interestingly, in the former (2g – i), the electron deficient 4-(trifluoromethyl)phenyl group (2i) increased the cytotoxicity whereas in the latter series of compounds the member with the electron neutral phenyl group (2j) was identified as the most active.
Apparently, no clear structure-activity correlation, based purely on the electronic considerations of the triazolium cations, could be drawn at this point. Noteworthy, different chemical reactivity patterns of the four isomeric triazolium cations have been previously observed in some chemical transformations, with the structure-reactivity relation still remaining to be fully understood.29 It is reasonable to expect that in a far more complex system such as the living cell, the structure-activity relation is likely to be a result of combined stereo-electronic effects and could be addressed after considerably larger library of derivatives have been assayed.
In order to compare the results with those for the triazolium salts 2, three parent triazoles 1a, b, f were also selected for the biological screening. None of them exhibited cytotoxic activity against HeLa cells with IC50 below 100 μM.
To shed more light on the mechanisms responsible for the cytotoxic effect of above examined compounds, we decided to proceed further with compound 4-(4-methoxyphenyl)3-methyl-1-(2-picolyl)-1H-1,2,3-triazolium hexafluorophosphate(V) (2b) as a representative compound. First, we explored its antiproliferative activity on several tumour cell lines from different origin, as well as on the normal human fibroblasts. The results are shown in Table 2. Compound 2b strongly inhibited the growth of all examined tumour cell lines and this effect was cell-type specific. Human large cell lung carcinoma H460 cells were the most sensitive toward 2b (and were selected for further studies), while HEp-2 cells were most resistant. Difference in sensitivity between most sensitive H460 and most resistant 7T cells (for IC50 value) was almost 4 times.
Cytotoxic activity of 2b against different cell lines
| Cell line | IC50 (μM)(5) | T.I.(6) |
|---|---|---|
| HeLa | 57.0 ± 12.9 | 4.01 |
| HEp-2 | 87.0 ± 28.5 | 2.63 |
| 7T | 111.7 ± 7.6 | 2.05 |
| H460 | 29.7 + 4.5 | 7.69 |
| HCT-116 | 51.9 ± 7.2 | 4.40 |
| Fibroblasts | 228.5 ± 5.6 | – |
HeLa = cervical carcinoma cells; HEp-2 = laryngeal carcinoma cells; 7T = carboplatin and cisplatin-resistant HEp-2 subline; H460 = large cell lung carcinoma cells; HCT-116 = colorectal carcinoma cells; Fibroblasts = normal primary fibroblasts. The results are shown as mean values of three experiments (±SD).
Drug resistance is the major cause of failure in successful treatment of cancer patients.30,31 It is based on the variety of complex mechanisms.30-35 The compounds that might be efficient against drug-resistant cells could be of great help in improvement of cancer treatment. Therefore we also included carboplatin, cisplatin and mitomycin C resistant 7T subline of HEp-2 cells in our study. As shown in Table 2, both, parental HEp-2 and drug-resistant 7T cells are similarly sensitive to 2b compound, suggesting a potential future application of 2b compound in clinical treatment of cisplatin and carboplatin resistant tumours. For comparison, 7T cells were 3.3 fold more resistant to cisplatin as shown previously.19
One of the most requested characteristics of potential anticancer drug is its higher efficacy against tumour than the normal cells. In this study all examined tumour cell lines were more sensitive to compound 2b than normal cell line, with the therapeutic index higher than 2 (Table 2). Specifically, for H460 cells it was particularly high, 7.69, fulfilling the request of this essential characteristic for a potential anticancer compound.
To gain more insight into the mode of action that underlies the antiproliferative activity of 2b, we investigated its effect on the cell cycle in H460 cells. The flow cytometric analysis is presented in Figure 2, and Table 3. They show that compound 2b arrested the cells in the G1 phase of the cell cycle in dose-dependent manner, even after 24 hours of treatment. At later time points a dose- and time-dependent increase was detected in a fraction of cells with reduced DNA content (subG1), which represents the apoptotic cells subG1 fraction. These results suggest that 2b induces apoptosis in treated cells.
Effect of compound 2b on the cell cycle of H460 cells
| Conc. (μM) | 24 h | 48 h | 72 h | |||||||||
|---|---|---|---|---|---|---|---|---|---|---|---|---|
| G1 | S | G2/M | subG1 | G1 | S | G2/M | subG1 | G1 | S | G2/M | subG1 | |
| 0 | 54 | 31 | 15 | 2 | 59 | 26 | 15 | 2 | 73 | 13 | 14 | 2 |
| 29.7 | 61 | 24 | 15 | 2 | 61 | 26 | 13 | 5 | 65 | 17 | 18 | 6 |
| 110 | 78 | 9 | 13 | 3 | 78 | 9 | 13 | 15 | 79 | 5 | 16 | 35 |
H460 cells were treated for the indicated time period with 2b, stained with propidium iodide and analysed by flow cytometry. Cell cycle distribution was assessed as described in the Materials and methods section.

Effects of 2b on the cell cycle of H460 cells. Logarithmically growing H460 cells were treated with 29.7 and 110 μM of 2b for indicated period of time. Afterwards they were harvested for cell cycle analysis measured by FACS as described in Materials and methods. Representative data of three experiments are shown.
According to their structure, triazolium salts resemble the structures of DNA minor groove binders like those studied by Chenoweth and Dervan36, that show precise recognition of the DNA sequence by thermodynamically controlled “H-bond based reading” of predesigned heterocycle-polyamide molecules. Some non-condensed heterocyclic molecules also proved to be DNA intercalators.8,37 Therefore we studied the interactions of 2b with double strand (ds) DNA. Thus, in thermal denaturation experiment compound 2b was mixed with ct-DNA in a ratio r[compound]/[ct-DNA] = 0.3, at which any DNA binding mode should give a measurable change in DNA melting point transition. However, in the thermal denaturation experiment no measurable change in DNA melting point transition was observed, and no influence on the thermal stability of ct-DNA (Figure 3), indicating that at biologically relevant conditions (pH 7, c(compound) = 6 x 10–6 M) stable non-covalent complex with ds DNA was not formed, suggesting that DNA was not the target of 2b compound.

DNA as possible target of compound 2b. Thermal denaturation curves of ct-DNA (c(ct-DNA) = 2 x 10–5 M, r[compound]/[ct-DNA] =0.3) at pH 7.0 (sodium cacodylate buffer, I = 0.05 M) upon addition of compound 2b. Error in DTm values: ±0.5°C.
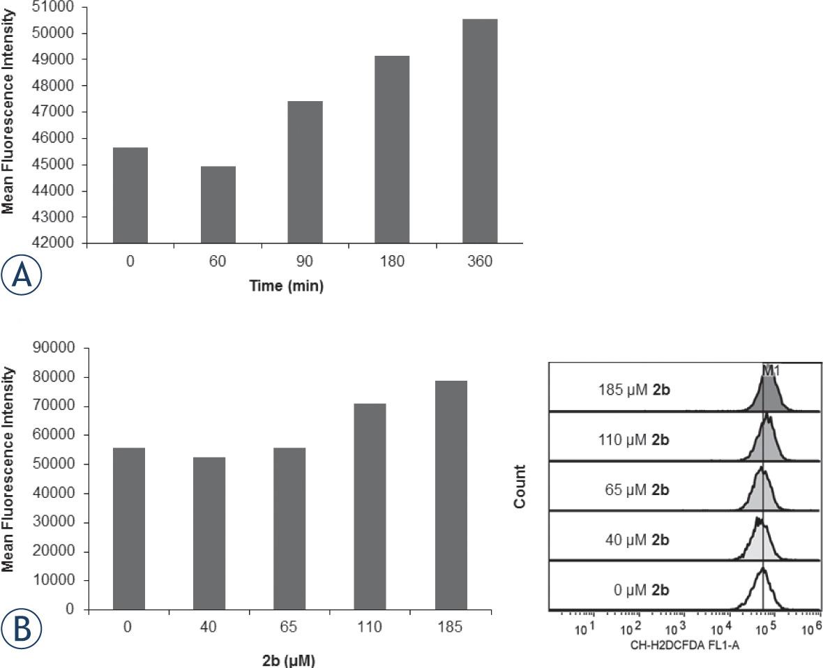
Although 2b does not bind to DNA, alternative mechanisms of 2b action and cytotoxicity were examined. Literature data indicate that diverse compounds can induce cell damage due to formation of ROS.38,39 ROS may irreversibly oxidize DNA, nucleic acids, proteins, and lipids, thereby representing the primary source of damage in biological systems that may eventually lead to cell death.40,41 Accordingly, we directly measured the induction of ROS formation following the treatment with 2b. For this, we stained the cells with 10 mM CM-H2DCFDA for one hour and then treated them either with 110 μM 2b during different time points (Figure 4A) or with different concentrations of 2b during 3 hours (Figure 4B). For better illustration of ROS formation upon 2b treatment during 3 hours we presented additionally results as CMH2DCFDA fluorescence intensity compared to cell number (count). As shown in Figure 4, 2b induced ROS in time- and dose-dependent manner. Dose-dependent skewing of signals toward higher fluorescence intensity with increased concentration of compound is noticeable (Figure 4B). In order to confirm the formation of ROS and validity of detection we incubated the cells in each experiment with 0.01% H2O2 for 30 min (data not shown).

Formation of ROS by 2b in H460 cells. Logarithmically growing H460 cells were stained for 1 hour with 10 mM CM-H2DCFDA and then either treated with 110 μM 2b during indicated time points (A) or treated with indicated concentrations of 2b for 180 min (3 hours) (B). Afterward ROS formation was determined by flow cytometry as described in Materials and methods section. Dose-dependent formation of ROS was additionally presented by cell count and fluorescence intensity of CMH2DCFDA. M1 line is positioned to designate MFI value of the non-treated sample (white histogram) compared to signals obtained upon cell treatment with indicated concentrations of 2b.
To approve this result and additionally examine the possible role of 2b-induced formation of ROS in cell toxicity, we pretreated for 2 hours H460 cells with two different ROS scavengers: NAC and tempol. As shown in Figure 5, the pretreatment of cells with either NAC or tempol increased survival of 2b treated cells compared to the cells treated only with 2b, indicating that 2b induced ROS and that the cytotoxicity of 2b can be reduced by addition of ROS scavenger. To confirm the data that we obtained by MTT assay (Figure 5), we have done additional experiments using colony-forming assay and chronical exposure to 2b with ROS scavenger. The preteratment of HEp-2 cells (a less responsive cell line to 2b compound) with either NAC or tempol increased the survival of 2b treated cells compared to the survival of cells treated only with 2b (Figure 6A). Similar results were obtained with the most sensitive cell line to 2b compound, i. e. H460 cells treated with NAC. Again, the pretreatment with this ROS scavenger increases the survival of cells as compared to the survival of cells treated only with 2b. However H460 cells were highly sensitive to tempol. The highest non-toxic concentration of tempol for chronic treatment of H460 cells was 0.125 mM, which is 8 times lower concentration than could be applied for HEp-2 cells (see Figure 6B). It is possible that this concentration of tempol was too low to scavenge ROS induced by 2b. Perhaps, higher concentration could protect the cells from toxic effect of 2b, but higher concentration used during 10 days incubation was too toxic for H460 cells. H460 and HEp-2 cells differ in their p53 status: H460 has wild type p53, while HEp-2 cells have mutated p53. While p53 has important role in cell response to oxidative stress and apoptosis42, we can assume that wild type p53 can be involved in increased H460 sensitivity to chronic treatment with tempol.

The effects of ROS scavenger on survival of H460 cells treated with 2b determined by MTT assay. H460 cells were seeded and next day pretreated for 2 hours with 5 mM of NAC or 1 mM tempol. Afterwards different concentrations of 2b were added. The cell survival was determined 72 hours later by MTT assay as described in Materials and methods section. Each point represents the mean ±SD of at least three independent experiments. All data are expressed as the average percentage of survival values relative to an untreated control ± SD or samples treated with antioxidants alone. The significance in differences is indicated (*, P < 0.05; **, P < 0.01).

The effect of ROS scavenger on survival of HEp-2 (A) and H460 (B) cells treated with 2b determined by colony-forming assay. HEp-2 and H460 cells were seeded and next day pretreated for 2 hours with 5 mM of NAC or 1 mM (HEp-2 cells) or 0.125 mM (H460 cells) tempol. Afterwards different concentrations of 2b were added. Ten days later the colonies were counted. Non-treated cells and cells treated with antioxidants alone were used as controls. Each point represents the mean ±SD of at least three independent experiments. All data are expressed as the average percentage of survival values relative to an untreated control ± SD or samples treated with antioxidants alone. The significance in differences is indicated (*, P < 0.05; **, P < 0.01).
Thus, experiments in which the cells were pretreated with ROS scavengers suggest that 2b indeed induced ROS in treated cells and that ROS induction was involved in cytotoxicity, but that induction of ROS is not the only mechanism of action of the selected compound 2b.
In conclusion, pyridine tethered ‘click’ triazolium salts have been tested for their anticancer activity for the first time. As revealed on human cervical carcinoma HeLa cells, selected compound (4-(4-methoxyphenyl)-3-methyl-1-(2-picolyl)-1H1,2,3-triazolium hexafluorophosphate(V) (2b), exhibits high cytotoxicity. Its antiproliferative activity was cell type dependent, being mostly cytotoxic against large cell lung carcinoma H460 cells. It is of utmost importance that 2b was significantly more cytotoxic against tumour cells than normal cells, having very high therapeutic index, such as 7.69 for H460 cells. Additionally, this compound was similarly cytotoxic against parental laryngeal carcinoma HEp-2 cells and their drug resistant 7T subline which is, having in mind the importance of inhibitory effect of drug resistance on the success of cancer treatment, a very valuable result. Compound 2b arrested tumour cells in the G1 phase of the cell cycle and induced programmed cell death. This compound does not form a complex with ds DNA, but rather induced ROS in treated cells which further triggers cell death. In short, our results suggest that the ‘click’ triazolium salts are simple to make compounds that are worth of further investigation as anticancer agents. Work is in progress to design and examine an extended library of their analogues.
IC50 is the concentration of the triazoles and triazolium salts inducing 50% cell growth inhibition after 72 h incubation. The results are shown as mean values of at least three experiments (± SD).
Triazolium salt precipitated promptly after the addition to the growth medium and thus the cytotoxicity could not be measured accurately.
The range of concentrations 10 – 1000 μM reduced survival from about 60 to 40%, and therefore the exact IC50 was difficult to determine.
The range of concentrations 10 – 1000 μM reduced survival from about 60 to 40%, and therefore the exact IC50 was difficult to determine.
IC50 is the concentration of 2b that induces 50% cell growth inhibition after 72 h incubation.
T.I. refers to therapeutic index, calculated from the ratio of cytotoxicity (IC50) on normal fibroblasts and cytotoxicity (IC50) on tumour cells.