Colorectal cancer surgery is often followed by postoperative complications. They appear in 24–38%1,2, prolong hospitalization and increase hospital cost. The perioperative mortality rate has been reported to be 3–4%.2,3 The most common are infectious complications, especially surgical site infections (SSIs). SSIs are divided into incisional (superficial and deep) wound infections and organ/space infections, which are mostly the result of anastomotic leak.4 Intra-abdominal infection can be manifested as abscess, local or diffuse peritonitis.5The incidence of SSI after elective colorectal resection is 5–30%.6,7 Rectal surgery has a higher risk for infection because of longer duration and greater bacterial contamination compared with colon surgery.8,9 Postoperative infectious complications, particularly severe infections influence patient outcomes and worsen long-term survival.10-12 The most common mechanisms causing this are deregulated host immune response during the infection and extraluminal implantation of malignant cells in anastomotic leakage.13
Early clinical signs of postoperative infections are nonspecific and difficult to distinguish from the systemic inflammatory response syndrome (SIRS) triggered by surgical trauma. SIRS is usually self-limiting or may progress to infection, sepsis and septic shock.14 The median time to diagnosis of infection has been reported to be from POD (postoperative day) 7 to POD9.4,7,15-19 Organ/space SSIs have been diagnosed significantly later than incisional SSIs.20 Most causes of infection, such as anastomotic leak, can appear much earlier.5 Early identification of patients with a high probability of infections is necessary so that clinicians may focus on additional diagnostic investigations. Preemptive antibiotic therapy decreases the incidence and severity of postoperative infections and significantly improves the outcome.21
The most commonly used laboratory test during the postoperative period, namely white blood cell (WBC) count is neither very sensitive nor specific.22,23Many studies affirmed the predictive value of a non-specific C-reactive protein (CRP) for infection after surgery, but it is more reliable if analysed together with the clinical assessment.24-26 The results of procalcitonin (PCT) studies have been contradictory. In some studies PCT proved to be as good as or even better predictor of infections than CRP5,23,27,28, but in others worse than CRP.29,30 Neutrophil/lymphocyte ratio (NLR) is a marker of immunosuppression and is increased in SIRS after major surgery, polytrauma, endotoxaemia and sepsis.31 In some studies it proved to be a predictor of all complications after abdominal surgery.32,33
A biological marker which could predict infections before the development of clinical signs and symptoms develop is needed. Therefore we studied a new biomarker neutrophil CD64 (CD64n), in laboratory analysis expressed as an index CD64n (iCD64n). CD64 is a high-affinity Fc receptor for IgG1 and IgG3 subclasses of immunoglobulins (FcγRI), expressed on macrophages, monocytes, less on eosinophils and very weakly on non-activated neutrophils.34,35 Neutrophil expression of CD64 is down-regulated or lost with cell maturation and strongly up-regulated in response to pro-inflammatory cytokines in SIRS and sepsis.36-39 The main functions triggered by FcγRs include phagocytosis, enzyme release and clearance of immune complexes.40 The expression of CD64n can be induced by bacteria as well as viruses.41,42Two meta-analyses by Cid et al.43 and Li et al.44 concluded iCD64n could be a promising diagnostic biomarker for bacterial infections. Another meta-analysis reported iCD64n is a helpful marker for early diagnosis of sepsis in critically ill adult patients45 and in neonates.46-48 It can differentiate systemic infection from disease flare in patients with inflammatory autoimmune diseases.49
A new biomarker iCD64n has up to now been investigated very scarcely after a major surgery.34,50-54 The objective of this study was to compare iCD64n with standard predictive markers of infections - WBC count, NLR, CRP and PCT - after colorectal cancer resection. We investigated the risk factors of infection and their impact on survival.
In this prospective study 200 consecutive patients with elective colorectal carcinoma surgery were included. The study was conducted at the surgery department of the Institute of Oncology Ljubljana from September 2010 to March 2013. The study protocol was approved by the Republic of Slovenia National Medical Ethics Committee. All the patients provided written consent for data collection and publication.
The exclusion criteria were preoperative infection, preoperative ileus and palliative surgical procedure. Neo adjuvant chemotherapy (CTX) and/or radiotherapy (RT) were carried out in 118 (59%) patients and finished six to eight weeks before surgery. The stage of tumour was evaluated clinically according to the nuclear magnetic resonance (NMR) investigation before the beginning of the treatment. The stage of tumour without neo-adjuvant CTX/RT was diagnosed by histopathological examination. The TNM (Tumour, Node, Metastasis) classification was used for staging colorectal cancer disease.55 Each patient was assessed preoperatively according to American Society of Anesthesiologists (ASA) physical status classification which accurately predicts morbidity and mortality.56,57 Bioelectric impedance analysis (BIA) measurement was performed on the day before the surgery. Body mass index (BMI) was calculated according to the formula in which body mass (kg) is divided by the square of the body height (cm).
On the day of the surgery blood samples for inflammation markers, albumins and haematocrit analysis were taken in the operating room before intravenous fluid application started. Each patient received systemic antibiotic prophylaxis for Gram negative and anaerobic bacteria on induction of anaesthesia and prior to skin incision. A standardized protocol for general and epidural anaesthesia was used. During the surgery we recorded the length of the procedure, the blood loss volume and the volume of blood transfusion. The body temperature was measured at the end of the procedure.
Values of WBC count, WBC differential, CRP, PCT and iCD64n were recorded just before surgery and after surgery daily from POD1 to POD5. NLR was calculated by dividing the number of neutrophils by the number of lymphocytes. The ratio iCD64 was calculated by dividing a postoperative value of iCD64n by its preoperative value. SIRS criteria from POD1 to POD5 and postoperative infections up to 30 days after surgery were recorded. SSIs (incisional, organ/space), pneumonia, central venous catheter related bloodstream infections (CRBSIs), urinary tract infections (UTIs) and enterocolitis were recorded. Microbial cultures were used as the gold standard to identify the source of infection. Criteria for SIRS reconsidered in the year 2001 by SCCM/ESICM/ACCP/ATS/SIS International Sepsis Definitions Conference58 and criteria for nosocomial infections defined by Centres for Disease Control and Prevention (CDC) were used.59 The perioperative transfusion of red blood cells was considered as a risk factor for infection until the infection has developed and as a risk factor for survival 30 days after surgery. The duration of hospitalization was recorded. After discharge each patient was monitored by outpatient clinic examinations 30 days after surgery. The data from medical records and the data of the Cancer Registry of the Republic of Slovenia were used to follow survival.
WBC count (reference range 4–10 × 109/L), WBC differential (neutrophil count 1.50–7.40 × 109/L, lymphocyte count 1.10–3.50 × 109/L) and haematocrit (reference range 0.390–0.500) were analysed with a haematological blood analyser LH75 (Beckman Coulter). The immunobiochemic analyser Modular Analytics SWE (Roche Diagnostics) was used for serum samples analysis. Serum concentration of CRP (reference range 0–5mg/L) was measured by immunoturbidimetric method, PCT (reference range 0–0.5μg/L) by electrochemiluminiscence method and albumins (reference range 35–52g/L) by bromcresol green method.
Neutrophil CD64 was quantified by flow cytometry using the Leuko64 assay (Trillium Diagnostics, LLC, Maine, USA) according to the manufacturer’s instructions. Whole blood EDTA-anticoagulated samples were used for analysis. During working days samples were immediately transported to the laboratory and analysed on the same day. The results were available after a few hours. During weekends samples were stored up to 48 hours in refrigerator at 4°C. 100 μL of the whole blood was incubated for 15 minutes in the dark at room temperature with a mixture of murine monoclonal antibodies. Fluorescence beads were then added and flow cytometer analysis was performed. The iCD64 was derived by the ratio of linearized mean fluorescence intensity (MFI) of the cell population to the fluorescein isothiocyanate (FITC) signal from the beads. An internal negative control was the automatically measured lymphocyte iCD64 (< 1.0) and an internal positive control was the automatically measured monocyte iCD64 (> 3.0). The limit value of iCD64n for probable sepsis was > 1.5.
BIA was performed using a portable bioelectrical impedance analyserBodyStat QuadScan 4000 (Douglas, Great Britain). Phase angle (PA) is a ratio between the reactance (Xc) and resistance (R).60 The normal range for men is from 7.90° to 6.19° and for women 7.04° to 5.64°.61 The illness marker (IM) is the ratio between the impedance measurement at 200kHz and 5kHz. A ratio closer to 1.00 indicates poor cellular health or extreme fluid overload.
The t-test was used to compare numeric variables (age, BMI, temperature, PA, IM and albumins) between infected and non-infected patients. Non-normally distributed continuous variables were summarised using medians and interquartile ranges and Mann-Whitney U test was used to compare these variables (infected versus non-infected patients). Categorical variables were analysed with the Pearson’s chi-square test and the Fisher’s exact test. To counteract the problem of multiple comparisons the Holm-Bonferroni corrected p values were used.62
The predictive values of biomarkers WBC, NLR, CRP, PCT, iCD64 and the ratio iCD64n for postoperative infection were assessed by the receiver operating characteristic (ROC) curve. Each cut-off value was determined by using the maximum value of the Youden index. The Bonferroni correction for AUC confidence intervals was used because multiple statistical tests were performed. The calculated confidence interval (CI) for AUC was 99%, but interpreted as the 95% one.63 Multivariate logistic regression analysis was used to explore the prediction of the probability of infection. Considering survival of the patients, Kaplan-Meier curves between groups of infected and non-infected patients were compared by the log-rank test.64 Prognostic factors were investigated by univariate and multivariate Cox proportional hazard model. A p-value ≤ 0.05 was considered statistically significant. All analyses were performed with R statistical software, version 3.2.1
A total of 200 patients were included in the study, 131 males (65.5%) and 69 females (34.5%). The characteristics of the patients, cancer disease and surgical procedure are shown in Table 1.
Comparison of patient and surgical characteristics between infected and non-infected group
| Characteristic | Total N=200 | No infection N=132 | Infection N=68 | p-value | Corrected(1) p-value | |
|---|---|---|---|---|---|---|
| Age (years) | 62.8 (11.3) | 62.2 (11.0) | 63.8 (11.9) | 0.3787(2) | 1 | |
| Gender | male | 131 (65.5%) | 86 (65.2%) | 45 (66.2%) | 1(3) | 1 |
| female | 69 (34.5%) | 46 (34.8%) | 23 (33.8%) | |||
| ASAscore | I | 14 (7%) | 12 (9.1%) | 2 (2.9%) | 0.0503(4) | 0.8546 |
| II | 105 (52.5%) | 74 (56.1%) | 31 (45.6%) | |||
| III | 76 (38%) | 42 (31.8%) | 34 (50%) | |||
| IV | 5 (2.5%) | 4 (3%) | 1 (1.5%) | |||
| Diabetes mellitus | no | 161 (80.5%) | 110 (83.3%) | 51 (75%) | 0.2222(5) | 1 |
| yes | 39 (19.5%) | 22 (16.7%) | 17 (25%) | |||
| BMI (kg/m2) | 27.2 (4.3) | 27.3 (4.1) | 27.2 (4.6) | 0.8461(6) | 1 | |
| Phase angle(7)(°) | 5.4 (1.0) | 5.5 (1.0) | 5.3 (1.1) | 0.4632(8) | 1 | |
| Illness marker(9) | 0.81 (0.04) | 0.81 (0.04) | 0.81 (0.04) | 0.8567(10) | 1 | |
| Dry lean body mass(11)(kg) | 12.2 (9.8–16.5) | 12.8 (9.9–16.5) | 11.3 (8.8–16.5) | 0.1852(12) | 1 | |
| Hematocrit(13) | ≥ 38% | 100 (50%) | 66 (50%) | 34 (50%) | 1(14) | 1 |
| 30–37% | 87 (43.5%) | 57 (43.2%) | 30 (44.1%) | |||
| 26–29% | 12 (6%) | 8 (6.0%) | 4 (5.9%) | |||
| 21–25% | 1 (0.5%) | 1 (0.8%) | 0 (0%) | |||
| Albumin(15)(g/l) | 42.1 (3.6) | 42.4 (3.3) | 41.6 (4.0) | 0.1583(16) | 1 | |
| Tumour site | rectum | 137 (68.5%) | 84 (63.6%) | 53 (77.9%) | 0.0909(17) | 1 |
| colon | 60 (30%) | 46 (34.8%) | 14 (20.6%) | |||
| rectum + colon | 3 (1.5%) | 2 (1.5%) | 1 (1.5%) | |||
| Stage (TNM) | 0 | 3 (1.5%) | 2 (1.5%) | 1 (1.5%) | 0.0265(18) | 0.477 |
| I | 27 (13.5%) | 21(15.9%) | 6 (8.8%) | |||
| II | 42 (21%) | 34 (25.8%) | 8 (11.8%) | |||
| III | 109 (54.5%) | 66 (50%) | 43 (63.2%) | |||
| IV | 19 (9.5%) | 9 (6.8%) | 10 (14.7%) | |||
| Preoperative RT/CTX | no | 82 (41%) | 62 (47%) | 20 (29.4%) | 0.0251(19) | 0.477 |
| yes | 118 (59%) | 70 (53%) | 48 (70.6%) | |||
| Antibiotic prophylaxis | < 24 hours | 54 (27%) | 35 (26.5%) | 19 (27.9%) | 0.9404(20) | 1 |
| 24 hours | 132 (66%) | 87 (65.9%) | 45 (66.2%) | |||
| > 24 hours | 14 (7%) | 10 (7.6%) | 4 (5.9%) | |||
| Surgical procedure Rectum resection | LAR | 86 (43%) | 62 (47%) | 24 (35.3%) | 0.0034(21) | 0.0749 |
| Miles + Hartmann | 50 (25%) | 23 (17.4%) | 27 (39.7%) | |||
| Colon resection | 64 (32%) | 47 (35.6%) | 17 (25%) | |||
| Synchronous resection of liver metastases | no | 186 (93%) | 126 (95.5%) | 60 (88.2%) | 0.0784(22) | 1 |
| yes | 14 (7%) | 6 (4.5%) | 8 (11.8%) | |||
| Duration of surgery (min) | 170 (130–220) | 160 (120–196.2) | 200 (150–242.5) | < 0.0001(23) | 0.0004 | |
| Loss of blood (ml) | 500 (300–800) | 400 (200–675) | 600 (400–1000) | < 0.0001(24) | 0.0003 | |
| Temperature(25)(°C) | 35.3 (0.6) | 35.3 (0.5) | 35.3 (0.7) | 0.8719(26) | 1 | |
| Perioperative(27) transfusion of PRBC (ml) | 0 (0–606.2) | 0 (0–326.2) | 345 (0–842.5) | < 0.0001(28) | 0.0009 | |
| SIRS 1 (POD 1)no | 138 (71.1%) | 95 (74.8%) | 43 (64.2%) | 0.1657(29) | 1 | |
| yes | 56 (28.9%) | 32 (25.2%) | 24 (35.8%) | |||
| SIRS 2 (POD 2) | no | 147 (75.4%) | 100 (78.7%) | 47 (69.1%) | 0.1895(30) | 1 |
| yes | 48 (24.6%) | 27 (21.3%) | 21 (30.9%) | |||
| SIRS 3 (POD 3) | no | 161 (82.6%) | 107 (84.3%) | 54 (79.4%) | 0.5151(31) | 1 |
| yes | 34 (17.4%) | 20 (15.7%) | 14 (20.6%) | |||
| SIRS 4 (POD 4) | no | 149 (77.2%) | 104 (83.2%) | 45 (66.2%) | 0.012(32) | 0.2392 |
| yes | 44 (22.8%) | 21 (16.8%) | 23 (33.8%) | |||
| SIRS 5 (POD 5) | no | 144 (80.9%) | 99 (87.6%) | 45 (69.2%) | 0.005(33) | 0.1055 |
| yes | 34 (19.1%) | 14 (12.4%) | 20 (30.8%) | |||
| Re-operation | no | 188 (94%) | 132 (100%) | 56 (82.4%) | < 0.0001(34) | < 0.0001 |
| yes | 12 (6%) | 0 (0%) | 12 (17.6%) | |||
ASA = American Society of Anesthesiologists; BMI = body mass index; CTX – chemotherapy; Hartmann = proctosigmoidectomy; LAR = low anterior rectum resection; Miles = abdominoperineal rectum resection; POD = postoperative day; PRBC = packed red blood cells; RT = radiotherapy; SIRS = systemic inflammatory response syndrome; TNM = classification of malignant tumors (Tumour, Nodes, Metastasis)
Sixty-eight patients (34%) developed infectious complications, 132 patients did not. Sepsis was diagnosed in 47 patients (23.5%). Two infections were diagnosed in 10 patients. The most frequent postoperative infection was SSI in 61 patients (30.5%). Incisional SSI was diagnosed as the first infection in 28 patients, organ/space SSI in 30 patients, both of them in 3 patients. Most of the incisional SSIs (58%) were diagnosed in patients with abdominoperineal rectum resection and most of organ/space SSIs (52%) in patients with LAR (low anterior rectum resection). Other infections were quite rare (8 UTIs, 5 pneumonias, 1Clostridium difficileenterocolitis). The median number of days until the first infection occurred was seven with interquartile range (IQR) 6–9. The median time to organ/space SSI occurrence was 8 days (IQR 6–12). Antibiotic therapy was applied in 116 patients. In the cases of negative microbiologic results and clinical signs not concordant with infection it was stopped after a few days. Reoperation was necessary in 12 patients (6%), because of infection in 7 and for other reasons in 5 patients.
Risk factors for any perioperative infection as shown by univariate analysis were: duration of surgery (corrected p = 0.0004), loss of blood (corrected p = 0.0003) and perioperative transfusion of red blood cells (corrected p = 0.0009). Surgical procedure and SIRS on POD5 were on the threshold of statistical significance for postoperative infections. Albumins before surgery, PA, IM and dry lean body mass were not found to be risk factors for postoperative infections. A risk factor for organ/space SSI was perioperative transfusion (corrected p < 0.0001) while the blood loss was at the border of statistical significance (corrected p = 0.07). The hospital stay of 19 days (IQR 14–24) in the infected group was significantly longer as compared to 10 days (IQR 7–12) in the non-infected group (p < 0.0001).
The multiple logistic regression analysis was made for prediction of all postoperative infections. It included ASA score, type of surgical procedure, duration of surgery and perioperative transfusion. Independent risk factors for infections were found to be duration of surgery (odds ratio [OR] 1.63, 95% CI 1.14–2.40, p = 0.01) and perioperative transfusion (OR 1.10, 95% CI 1.02–1.19, p = 0.014). The expectedodds for infection increased with every hour of surgery by 63% (95% CI 14–140%) or with every 100mL of transfusion by 10% (95% CI 2–19%).
The values of all biomarkers after surgical procedures were elevated, reaching the peak values on the first day (WBC count, NLR and PCT) or on the second day (CRP, iCD64n, ratio iCD64n) and later slowly decreasing. The increase of biomarkers was greater in the infection group than in the non-infection group (Figure 1,2)

The dynamics of CRP shown with median for infected/non-infected group 5 days after colorectal surgery. The width of the box shows the interquartile range. The distal points of vertical line show the highest and the lowest values of CRP.
CRP = C-reactive protein; POD = postoperative day

The dynamics of the ratio iCD64n shown with median 5 days after colorectal surgery. The width of the box shows the interquartile range. The distal points of vertical line show the highest and the lowest values of the ratio iCD64n.
iCD64n = index CD64n
The ROC analysis was used to compare biomarkers WBC count, NLR, CRP, PCT, iCD64n and the ratio iCD64n from POD1 to POD5 as early predictors of postoperative infections. Predictions for all infections in 15 and 30 days and for organ/space SSIs in 15 days were made. The 15-day prediction was made because the great majority (97%) of the first infections had been diagnosed up to and including this day. The highest diagnostic accuracy for 30-day prediction of all infections was for CRP observed on POD4 (AUC 0.72, 99% CI 0.61–0.83), POD2 (AUC 0.70, 99% CI 0.59–0.80) and POD3 (AUC 0.69, 99%CI 0.58–0.80). The cut-off value for CRP POD4 was 69 mg/L. Two other, rather good predictors were NLR on POD4 (AUC 0.65, 99% CI 0.54–0.77), POD5 (AUC 0.69, 99% CI 0.57–0.80) and the ratio iCD64 on POD2 (AUC 0.67, 99% CI 0.56–0.78) with the cut-off value 1.74. The results of ROC analysis for 15-day prediction of all infections were similar.
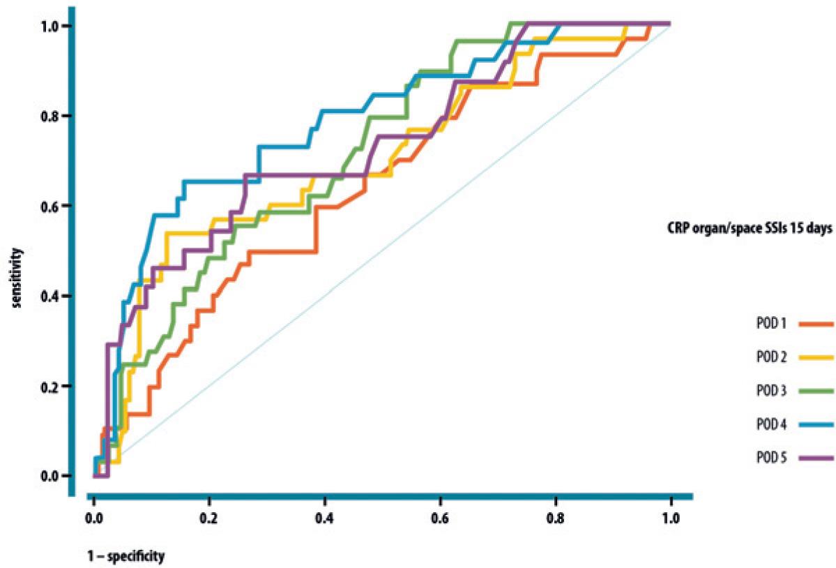
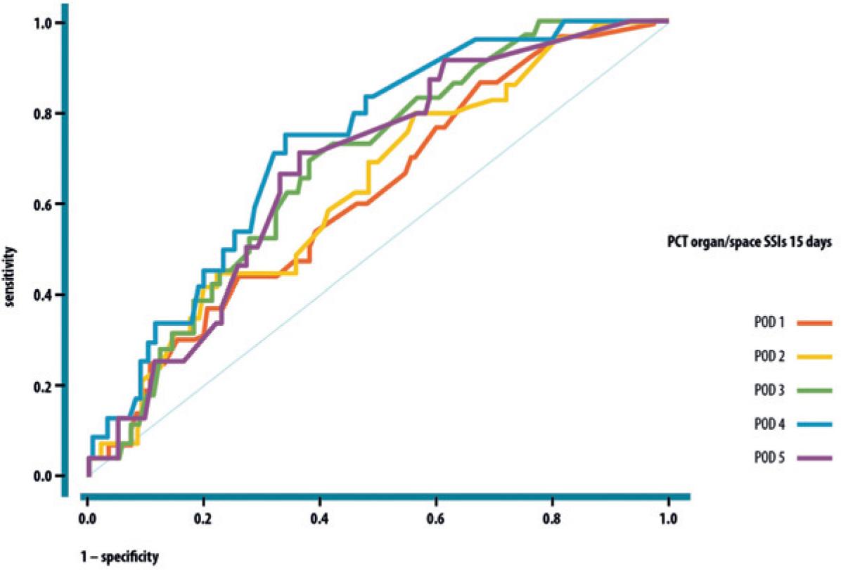
In the 15-day prediction of organ/space infections the diagnostic accuracies of CRP and the ratio iCD64n were better than in the two previously mentioned analyses for all infections. The ratio iCD64n was a better predictor on POD3 (AUC 0.73, 99% CI 0.59–0.87) and POD1 (AUC 0.72, 99% CI0.58–0.86), followed by POD4 (AUC 0.72, 99% CI 0.57–0.88) and POD2 (AUC 0.70, 99% CI 0.55–0.84).The cut-off value for POD1 was 1.37 and POD3 1.40 (Figure 3). The predictive value of CRP was the best on POD4 (AUC 0.79, 99% CI 0.64–0.93) followed by POD5 (AUC 0.73, 99% CI 0.57–0.88), POD3 (AUC 0.72, 99% CI 0.57–0.86) and POD2 (AUC 0.70, 99%CI 0.56–0.85). The cut-off value for CRP on POD4 was 103 mg/L (Figure 4). The prognostic value of PCT for 15-day prediction of organ/space infection was most sensitive on POD4 (AUC 0.72, 99% CI 0.57–0.88) (Figure 5) and for iCD64n on POD5 (AUC 0.69, 99% CI 0.53–0.85).

ROC curve for the ratio iCD64n POD1-POD5 as a predictor of organ/space SSIs 15 days after colorectal surgery.
iCD64n = index CD64n; POD = postoperative day; ROC = receiver operating characteristic; SSIs = surgical site infections

ROC curve for CRP POD1-POD5 as a predictor of organ/space SSIs 15 days after colorectal surgery.
CRP = C-reactive protein; POD = postoperative day; ROC = receiver operating characteristic; SSIs = surgical site infections

ROC curve for PCT POD1-POD5 as a predictor of organ/space SSIs 15 days after colorectal surgery.
POD = postoperative day; PCT = procalcitonin; ROC = receiver operating characteristic; SSIs = surgical site infections
The thirty-day mortality was 0% and the ninety-day mortality 0.5%. The Kaplan Meier analysis showed a one-year survival rate in the non-infected group was 97.7% (95% CI 93.1–99.3) and in the infected group 92.6% (95% CI 83.2–96.9). A two-year survival was significantly higher in the non-infected group 92.4% (95% CI 86.4–95.9) as compared to the infected group 80.9% (95% CI 69.4–88.4). P value in log-rank test was 0.0134 (Figure 6). A median follow-up of patients was 40.9 months (range 32.4–51.5).

Kaplan-Meier survival curve for infected and non-infected group. Patients have been followed up for a minimum of 28 months.
Prognostic factors were investigated by univariate and multivariate Cox proportional hazard model. Predictive factors for shorter survival in univariate analysis were: age (p < 0.0001), ASA score (p = 0.0006), tumour stage (p = 0.027), PA (p = 0.0024), dry lean body mass (p = 0.015), perioperative transfusion (p = 0.0004) and postoperative infection (p = 0.016). Multivariate analysis showed independent factors associated with shorter survival were: age (hazard ratio [HR] 1.06, 95% CI 1.02–1.10, p = 0.0044) and postoperative infection (HR 1.96, 95% CI 1.03–3.73, p = 0.04).
Colorectal surgery is associated with an intensive release of pro-inflammatory cytokines followed by an anti-inflammatory response and immuno-paralysis. Cellular immunity, crucial for defence against cancer cells in the perioperative period is significantly suppressed.65-67 Postoperative immunosuppression can be further exacerbated by blood transfusion. These immune changes predispose the host to infection, sepsis and even multiple organ dysfunction syndrome (MODS).68
In the present study we compared a new biomarker iCD64n and the ratio iCD64n with other biomarkers - WBC count, NLR, CRP and PCT. We found out the best early predictor of organ/space SSIs was the ratio iCD64n. CRP and PCT predicted these infections with the same AUC later, on POD3 and POD4. Other biomarkers as predictive factors for infections after colorectal surgery had already been much studied widely whereas iCD64n had not yet been.
Warschkow et al. reported in a diagnostic metaanalysis of 1832 patients the best CRP predictive value for postoperative complications after colorectal surgery was 135 mg/L on POD4 with a negative predictive value (NPV) 89%.69 In another retrospective study with 1187 patients Warschkow et al. concluded CRP on POD4 with the cut-off 123 mg/L had the highest diagnostic accuracy for the early detection of infections (sensitivity 66%, specificity 77%).22 In a meta-analysis with 2215 patients Gans et al. reported infectious complications after major abdominal surgery were very unlikely in patients with CRP below 159 mg/L on POD3 (pooled values: AUC 0.87, sensitivity 77%, specificity 77%, NPV 90%). Maximum predictive values were reached on POD5 (pooled values: AUC 0.83, sensitivity 86%, specificity 86%, NPV 92%).70 The conclusion of the pooled analysis with 1427 patients made by Straatman et al. was that CRP on POD3 below 75 mg/L may be a safe discharge criterion after major abdominal surgery with a NPV 97.2%. The probability of major postoperative complications for CRP cut-off 215 mg/L was 20% (95% CI 14.7–25.60%).71 In our study CRP on POD4 had the best predictive value in the 30-day prediction of all infections and even better on POD4 in the 15-day prediction of organ/space SSIs.
Some recent studies have compared the diagnostic accuracy of PCT and CRP for infection after colorectal surgery. Takakura et al. reported in the study which included 114 patients with colorectal resection PCT on POD1 and POD3 (AUC 0.76 and 0.77) was a more relevant predictor for surgical site infection than CRP (AUC 0.71).27 Garcia-Granero et al. reported that in 205 patients undergoing surgery for colorectal cancer PCT was better than CRP in the early prediction of major anastomotic leak on POD3, POD4 and POD5. The best AUC values for PCT were 0.87 and for CRP 0.85 on POD5.23 The results of study, made by Lagoutte et al. were different. It included 100 patients and showed PCT is neither earlier nor more accurate than CRP for the detection of anastomotic leakage after colorectal surgery. The best accuracy for CRP and PCT was obtained on POD4 (AUC 0.87 and 0.75).29 Oberhofer et al. reported in a study with 79 colorectal surgical patients PCT on POD2 and CRP on POD3 had similar predictive values for infections (AUC 0.75 and 0.75).28 In the present study we found out that PCT on POD4 (AUC 0.64) was a worse predictor than CRP (AUC 0.72) in the 30-day prediction of all infections. In the 15-day prediction of organ/space SSIs PCT on POD4 (AUC 0.72) was worse than CRP (AUC 0.79) again.
As in other studies WBC count proved to be a poor early diagnostic marker of postoperative infections. The best predictive value of NLR was on POD5 (AUC 0.69) in the 30-day prediction of all infections and was as good as for CRP (AUC 0.68).
Only few studies have investigated the dynamics of iCD64n in the postoperative period. The first have been done in cardiovascular and orthopedic surgery. Two studies done by Kolackova et al. with 40 cardiac patients34 and Katoh et al.50 with 41 orthopaedic patients reported the expression of CD64n after surgery was significantly increased with the peak on POD3. Studies by Fjaertoft et al.51 and Gerrits et al.52reported that iCD64n was significantly higher in septic patients compared to patients with SIRS after surgery and control group. Unlike clean surgical procedures, the iCD64n in clean-contaminated surgery has only recently been explored. In the study Janež et al.53 included 77 patients. They compared postoperative differences in inflammatory and immunological response between opened and laparoscopically assisted colorectal surgery. There was a considerable increase of iCD64n in both groups of patients on POD1 (1.42 in open surgery group versus 1.24 in laparoscopic surgery group). But they did not observe difference in infectious complications in these two groups. In a very recent study, which included 189 patients with colorectal, 17 with maxillofacial and 23 with open heart surgery, Jukic et al.54 reported that iCD64n is the best predictor of postoperative infections in the first 48 hours after major surgery compared to WBC count, neutrophils and CRP. The AUC value after 24 hours was 0.89 and after 48 hours 0.82. The most frequent infection was the respiratory tract infection (40%).
In the present study index CD64n was not found to be a good early predictor for any infection including organ/space SSIs. However, we found that the ratio iCD64n was a better predictor of infection than its absolute value. In the 30-day prediction of all infections the ratio iCD64n on POD2 (AUC 0.67) was a worse predictor than CRP (AUC 0.70). However, for the 15-day prediction of organ/space SSI the ratio iCD64n on POD1 (AUC 0.72) was the best early predictor among all studied biomarkers (AUC on POD1 for iCD64n and CRP was 0.63 and for PCT 0.61). Patients with the ratio iCD64n higher than the cut-off value 1.37 on POD1 should be closely monitored and additional diagnostic measures should be taken to confirm or exclude infection. Our study group was homogeneous and it is comprised of patients with clean-contaminated colorectal surgery. SSIs were the most common postoperative infections. We explain this with a high number of rectum surgeries (68%), a high stage of the disease (64% stage III and IV) and a high proportion of patients preoperatively treated with neo-adjuvant CTX and/or RT (59%). Risk factors for infections were analysed. It was shown that duration of surgery and transfusion of red blood cells were independent risk factors for infections. The length of surgery procedure is closely correlated with perioperative immunoparalysis and predisposition to infection.71
We found out that age, ASA score, tumour stage, PA, dry lean body mass, perioperative transfusion and postoperative infection correlated with the length of survival. Multivariate analysis showed that the only independent factors associated with shorter survival were age and postoperative infection. In our study a perioperative transfusion of red blood cells was not an independent prognostic marker for survival. However, in many other studies postoperative infections and perioperative transfusion were independent risk factors for worse long-term survival.73-77 Both of them aggravate cytokine response after surgery, suppress cell mediated immunity and can facilitate the growth of tumour cells. Due to the synergistic effect patients with both risk factors represent a group with a particularly poor prognosis.78 The efforts to reduce postoperative infections may have a favourable effect on cancer prognosis.
In the present study we found the ratio iCD64n on POD1 was the earliest predictor of intra-abdominal infection after colorectal cancer surgery. CRP predicts the infection with the same predictive value later, not before POD3. Further research is needed to evaluate the role of neutrophil CD64 expression in infection diagnosis after major surgery. Postoperative infection was found to be an independent predictive factor of shorter long-term survival.
Holm-Bonferroni correction;
T-test (mean, standard deviation)
Chi-square test
Fisher’s exact test
Chi-square test
T-test (mean, standard deviation);
measured one day before surgery;
T-test (mean, standard deviation);
measured one day before surgery;
T-test (mean, standard deviation);
measured one day before surgery;
Mann-Whitney U test (median, interquartile range)
in the morning before surgery;
Fisher’s exact test
in the morning before surgery;
T-test (mean, standard deviation);
Fisher’s exact test
Fisher’s exact test
Chi-square test
Fisher’s exact test
Fisher’s exact test
Fisher’s exact test
Mann-Whitney U test (median, interquartile range)
Mann-Whitney U test (median, interquartile range)
at the end of surgery;
T-test (mean, standard deviation);
during the surgery and 30 days after the surgery or until the infection develops;
Mann-Whitney U test (median, interquartile range)
Chi-square test
Chi-square test
Chi-square test
Chi-square test
Chi-square test
Fisher’s exact test