Fig. 1

Fig. 2

Fig. 3

Fig. 4

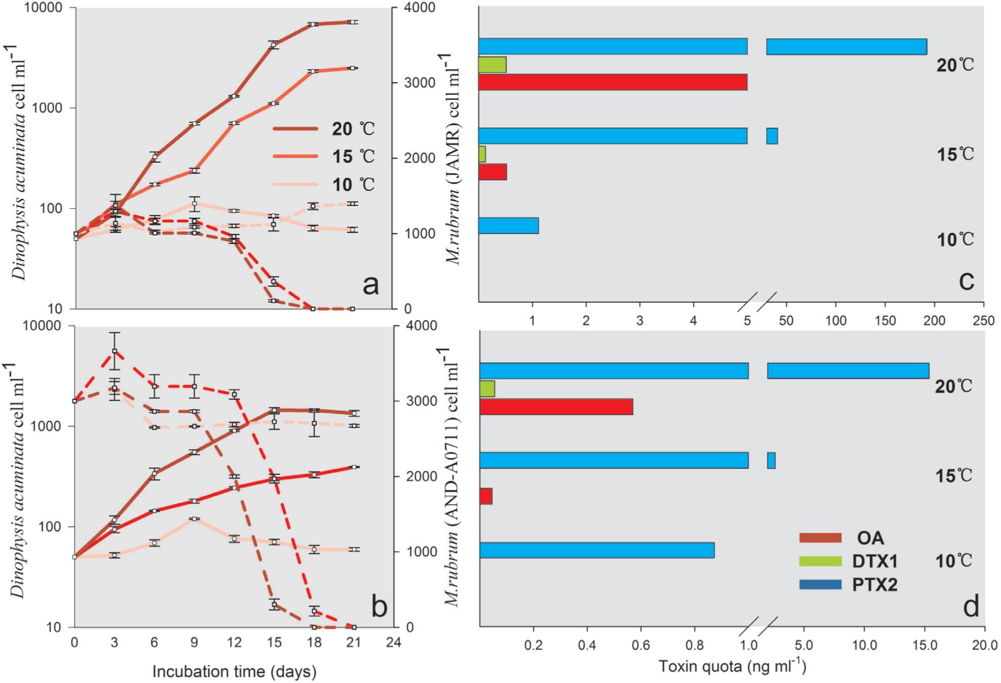
Growth rates and maximum yield in cultures of Dinophysis acuminata isolated from the Yellow Sea, China, at three temperatures, when fed on ciliates Mesodinium rubrum from Japan (JAMR) and Spain (AND-A0711) (mean ± standard error, n = 2)
| Temp. (°C) | JAMR | AND-A0711 | ||
|---|---|---|---|---|
| Growth rate (d-1) | Max yield (cells ml-1) | Growth rate (d-1) | Max yield (cells ml-1) | |
| 10 | 0.09 ± 0.03 (Day 1-Day9) Time indicates the exponential growth period of each treatment | 112 ± 27 | 0.09 ± 0.01 (Day 1-Day9) | 120 ± 3 |
| 15 | 0.21 ± 0.015 (Day 1-Day18) | 0.10 ± 0.001 (Day 1-Day21) | 2483 ± 46 | 360 ± 52 |
| 20 | 0.29 ± 0.008 (Day 1-Day18) | 0.22 ± 0.004 (Day 1-Day15) | 7150 ± 270 | 1343 ± 123 |