Several species of Dinophysis are responsible for severe gastrointestinal symptoms termed “Diarrheic Shellfish Poisoning” (DSP), which was first documented in 1978 (Yasumoto et al. 1978). Since their discovery, the toxins from these organisms have received much attention due to the considerable threat to public health and fisheries resources in many parts of the world (Hallegraeff & Lucas 1988; Lee et al. 1989; FAO 2004; Reguera et al. 2014; Trainer et al. 2013). Okadaic acid (OA), dinophysistoxins (DTXs) and/or pectenotoxins (PTXs) are groups of lipophilic compounds, which have been detected and confirmed in many geographical strains of Dinophysis (Hackett et al. 2009; Kamiyama & Suzuki 2009; Fux et al. 2011; Nagai et al. 2011; Nielsen et al. 2012; Reguera et al. 2012). Typically, these major toxin compounds of Dinophysis species are extracted, qualified and quantified together.
Numerous field studies have demonstrated the widespread distribution of Dinophysis spp. However, Dinophysis blooms are not necessarily accompanied by DSP events. The reported toxin content of Dinophysis species varies temporally, geographically (MacKenzie et al. 2005; Pizarro et al. 2009; Fux et al. 2011) and between and/or within species (Lee et al. 1989; MacKenzie et al. 2005). For instance, investigations of the DSP toxin of field D. acuminata cells from Limfjord, Denmark, indicated that the OA content ranged from non-detected to 72 pg cell-1 (Jørgensen & Andersen 2007). The OA content of D. acuminata and D. cf. ovum, isolated from Northeast America, and the Gulf of Mexico, reached peaks of 0.9 and 12.6 pg cell-1, respectively, when grown under the same environmental conditions (Tong et al. 2015a). In the past 20 years, lipophilic toxins have been found to be widely distributed in different shellfish species along Chinese coastal waters (Zhou 1999; Li et al. 2012). In May 2011, a seafood-borne intoxication in the East China Sea affected 200 patients and was diagnosed as DSP poisoning (Li et al. 2012). Studies of the ecology and population dynamics of Dinophysis in China have just been instigated and will require continuation.
Physiological and toxigenic studies of Dinophysis spp. have been systematically conducted since their successful culturing and maintenance in the laboratory (Park et al. 2006). Mixotrophic dinoflagellates of this genus require a unique three-stage food chain for their growth, specifically a cryptophyte (photosynthetic nanoflagellate) – Mesodinium rubrum (phototrophic ciliate = Myrionecta rubra) – Dinophysis. The effects of temperature (Kamiyama et al. 2010; Tong et al. 2010), light intensity (Kim et al. 2008; Tong et al. 2011; Nielsen et al. 2012; Nielsen et al. 2013), prey quantity (Kim et al.2008) and dissolved inorganic nutrients (Hattenrath & Gobler 2015; Hattenrath et al. 2015; Tong et al. 2015b) on cell growth and toxin production of Dinophysis species have been examined. The results indicated that temperature and prey quantity were key factors controlling the cell growth (Kim et al. 2008; Kamiyama et al. 2010), whereas their effects on toxin production varied significantly at different growth phases of the population (Tong et al. 2011).
The unsuccessful culturing of Chinese species of Dinophysis made it difficult to characterize the local strains and investigate its physiology and toxigenicity. Thus, in the present study, we attempted to isolate and culture Dinophysis spp. from Chinese coastal waters based on the established Mesodinium rubrum cultures. Furthermore, the effects of temperature and different prey on the growth and toxin production of a clonal strain of Chinese Dinophysis were examined.
A unialgal culture of D. acuminata was established by a single-cell isolation from surface seawater samples collected in Xiaoping Island, the Yellow Sea, China (121.53E 38.83N) in July 2014, when water temperature was 20°C. Samples were sequentially filtered through 45 and 23 μm Nitex sieves. The 45-23 μm size fraction was rinsed gently into a beaker using freshly sterilized seawater and single D. acuminata cells were isolated into each well of several 48-well microplates with micropipettes. About 60 M. rubrum cells grown on a Teleaulax amphioxeia culture were added to each well as prey. Once the abundance of Dinophysis exceeded 50 cells per well, the well content was transferred into a 12-well microplate and fed with M. rubrum in a predator:prey ratio of about 1:5. Following the three steps of the feeding protocol, D. acuminata cultures were successfully established.
Two sets of strains of M. rubrum and Teleaulax amphioxeia were used and maintained in the laboratory. M. rubrum strain JAMR and T. amphioxeia strain JATA were isolated from Inokushi Bay (131.89E, 32.79N) in the Oita Prefecture, Japan, in February 2007 as described by Nishitani et al., (2008a); M. rubrum strain AND-A0711 and T. amphioxeia strain AND-A0710 were isolated from Huelva, Southern Spain in 2007. Teleaulax amphioxeia cultures were maintained by inoculating 2 ml of the culture (ca. 150 000 cell ml-1) into 30 ml of f/2-Si medium. Mesodinium rubrum cultures were transferred weekly, by mixing 30 ml of stock culture (~ 4 000 cells ml-1) and 1 ml of T. amphioxeia with 30 ml of f/6-Si medium. Mesodinium rubrum, after the complete consumption of the cryptophyte, was used as prey for Dinophysis. All the cultures were maintained at 15°C with a 14-h light : 10-h dark cycle.
Subsamples (1.5 ml) of Dinophysis cultures were transferred into 2 ml sterile centrifuge tubes and centrifuged for 5 min at 12 000 g. The supernatant was discarded to leave the pellet and ca. 250 μl of supernatant. DNA was then extracted from the pellets using a Yeast DNA Extraction Reagent Kit (Thermo Scientific) following the manufacturer’s instructions, and stored at -20°C before PCR amplification. Amplifications were conducted in a T professional PCR cycler with the primers Dinocox1R and Dinocox1F (Lin et al. 2002). The PCR system (20 μl) consisted of primers (0.5 μl of each, 10 µM), up to 20 μl of nuclease-free water, 10 μl of DNA polymerase (2 × Taq Mix, Kangwei) and ~ 200 ng of DNA template. The cycle was programed as follows: denaturation at 95°C for 5 min, followed by 30 cycles at 95°C for 0.5 min, 55°C for 0.5 min, and 72°C for 1 min, ending with 5 min at 72°C.
Amplified sequences were confirmed using agarose gels (1%) stained with ethidium bromide and a UV transilluminator. After sequencing by Sunny Biotechnology Co. (Shanghai, CHN), sequences were aligned using the CLUSTALW method of the software MEGA6 (Tamura et al. 2013). The phylogenetic relationships among species were determined using the neighbor-joining method.
Morphological characteristics of the Dinophysis isolate were described by measurement of length (L) and dorsoventral depth (D) of 25 formalin fixed cells collected during the exponential growth phase (Fig. 1a, see details in Tong et al. 2015a).

Light micrographs of cultured cells: (a) Dinophysis acuminata DAYS01, from Xiaoping Island, the Yellow Sea, China; (b)Mesodinium rubrum JAMR, from Japan; (c) Mesodinium rubrum AND-A0711, from Southern Spain. Scale bars = 10 μm
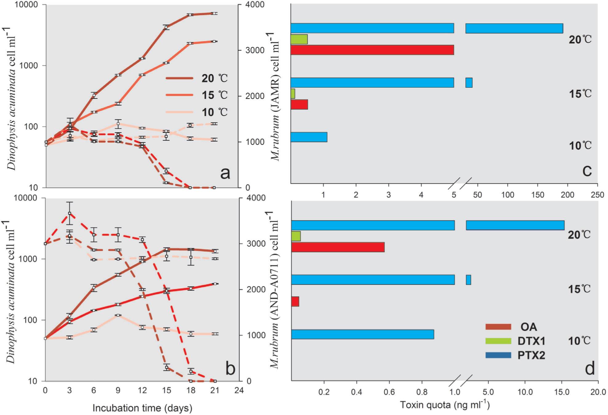
We then examined the effect of three temperatures (10, 15 and 20°C) and two strains of M. rubrum on the growth and toxin content of the Chinese isolate of D. acuminata (DAYS01). To keep the prey biomass/ predator ratio consistent, ciliates were measured for size and nutritional quality. Diameters of ciliate cells were measured under a microscope and their volume was calculated (cells were assumed as spheres). Nutrient analysis was conducted on 50 ml of each ciliate culture sample. For particulate carbon and nitrogen analysis, a Flash EA1112 Carbon/Nitrogen Analyzer with a Dynamic Flash Combustion technique was used. Particulate phosphorus of the two ciliate strains was converted to and measured as dissolved orthophosphate (PO43−), and analyzed by Lachat QuikChem 8000 at the Woods Hole Oceanographic Institution (Woods Hole, MA). The results showed that the volumes of JAMR (Fig. 1b) and AND-A0711 (Fig. 1c) were about 7939 μm3 and 2393 μm3 (mean value, n > 20), respectively, with a ratio of 3:1. The carbon, nitrogen and phosphate ratios of JAMR to AND-A0711 were 2.3, 3.3 and 3.4, respectively. Therefore, the initial cell ratios of D. acuminata to M. rubrum, JAMR and AND-A0711, were set up as 50:1000 and 50:3000, respectively. After starvation for over 2 weeks, D. acuminata and M. rubrum cells were inoculated into 48-well microplates, with a total volume of 1 ml of culture medium in each well. Twenty-four parallel samples in each treatment were established in each 48-well microplate. Every 3 days, all contents (cell & medium) in two wells of each treatment (each microplate) were selected and harvested randomly and fixed with 3% (v/v) formalin for cell counting separately. Samples were enumerated using a Sedgewick-Rafter counting chamber at a magnification of 100 ×. The incubation experiment lasted for 21 days. At the end of the experiment, all cultures remaining in each treatment were mixed in 15-ml centrifuging tubes and kept at −20°C for over 24 h before toxin extraction.
Culture samples were processed through the solid phase extraction (SPE) procedure as described by Smith et al. (2012). A SPE column (Oasis HLB 60 mg; Waters, Milford, MA) was previously conditioned with 6 ml methanol and rinsed with 6 ml Milli-Q water. The Dinophysis culture samples (cells + medium) were thawed, resuspended and sonicated for 15 min before being loaded onto the cartridge column. The cartridge was then washed with 3 ml Milli-Q water and toxins were ultimately eluted with 1 ml methanol into a HPLC vial. Elutes from the samples were heated at 40°C in a heating block, dried under a stream of N2 (HP-S016SY), and re-suspended in 1 ml of methanol for toxin analysis.
An Ultimate 3000 LC system (ThermoFisher, USA) and AB 4000 triple quadrupole mass spectrometer system (AB SCIEX, USA) coupled with electrospray ionization was used for the toxin analysis. Chromatographic separation was performed using a Waters X-Bridge C18 column (3.0 × 150 mm; 3.5 μm particle size). Toxins OA, DTX1, DTX2, YTX and HOMO-YTX were analyzed in the negative ion mode. In the mobile phase, eluent A was water and eluent B was acetonitrile-water (90:10, v/v), both containing ammonium water (0.05%). PTX2 was analyzed in the positive ion mode. The mobile phase was 100% water for eluent A and acetonitrile-water (95:5, v/v) for eluent B, both containing 2 mM ammonium formate and 0.2% (v/v) formic acid. Toxins were eluted from the column with 90% eluent B at a flow rate of 0.4 ml min-1. The toxin concentration was determined by comparing the peak areas with toxin standards for OA, DTX1, DTX2, YTX, HOMO-YTX and PTX2, which were purchased from the National Research Council, Canada.
The specific growth rate of D. acuminata was measured over the exponential phase using the following formula:
Effects of temperature and prey on the growth of Dinophysis were examined by two-way ANOVA. Alpha was set at 0.05 for all analyses.
Phytoplankton samples dominated by Dinophysis species – D. acuminata and D. caudata – were collected from coastal waters of Xiaoping Island, the Yellow Sea, and Gouqi Island, the East China Sea. However, only D. acuminata from Xiaoping Island was successfully established in cultures. Many attempts to culture D. caudata failed. Following the three steps of the feeding protocol, D. acuminata (Fig. 1a) was able to feed on the two strains of M. rubrum, which were isolated from Japan (JAMR, Fig. 1b) and Southern Spain (AND-A0711, Fig. 1c), and finally maintained in 6-well microplates at 15°C in dim light (~ 100 μmol photons m−2 s-1) with a 14-h light : 10-h dark cycle.
Cells isolated from the Yellow Sea (DAYS01) were studied and identified as D. acuminata using light microscopy (Fig. 1a) and DNA sequence similarity (Fig. 2). Measurements of Dinophysis (strain DAYS01) cells (n = 25) were 32.5 ± 4.0 μm in length (body length, Fig. 1a) and 24.3 ± 5.1 μm in dorsoventral width (Fig. 1a). Detailed description was presented by Tong et al. (2015a)

Neighbor-joining phylogenetic tree of dinoflagellates inferred from mitochondrial cox1. The corresponding GenBank accession number follows the name of each organism. Numbers at nodes are interior branch test values for 1000 replicates. The scale bar represents the number of substitutions per site.
DNA sequencing successfully recovered the expected mt cox1 gene sequence, and was 100% identical to D. acuminata DAEP01, DAMV01, and DABOF02 (GenBank Accession No. KJ670071, KJ670072 and KJ670073, respectively) from North America, D. acuminata from Passamaquoddy Bay, the Bay of Fundy, Canada (GenBank accession EU927465), and D. acuminata from Narragansett Bay, the USA (GenBank accession EU130566), over the aligned region. Our sequence was different at eleven nucleotides compared to the mt cox1 gene sequence of a Spanish isolate (GenBank accession AM931582). In phylogenetic analyses, our strain was included in a highly supported clade with other D. acuminata isolates (Fig. 2)
The growth rate of Chinese D. acuminata was higher at higher temperature in both feeding treatments (two-way ANOVA, p < 0.05, Table 1, Fig. 3a, b). At low temperature (10°C), D. acuminata had a slower growth rate (0.09 d-1) during a 9-day incubation than at higher temperatures (15 and 20°C), and stopped growing thereafter in both feeding treatments. Meanwhile, the prey was still present in the mixed culture during the entire incubation at 10°C (Fig. 3a, b). In contrast, at 15 and 20°C, the prey (JAMR and AND-A0711) was fully consumed by day 16 or 18, resulting in better growth of D. acuminata. When fed with larger ciliate cells (JAMR), D. acuminata had higher growth rates (0.21 d-1 and 0.29 d-1) at higher temperatures (15 and 20°C) compared to those fed on small Spanish ciliates, with growth rates of 0.10 d-1 and 0.22 d-1 at 15 and 20°C, respectively.
Growth rates and maximum yield in cultures of Dinophysis acuminata isolated from the Yellow Sea, China, at three temperatures, when fed on ciliates Mesodinium rubrum from Japan (JAMR) and Spain (AND-A0711) (mean ± standard error, n = 2)
| Temp. (°C) | JAMR | AND-A0711 | ||
|---|---|---|---|---|
| Growth rate (d-1) | Max yield (cells ml-1) | Growth rate (d-1) | Max yield (cells ml-1) | |
| 10 | 0.09 ± 0.03 (Day 1-Day9)(1) | 112 ± 27 | 0.09 ± 0.01 (Day 1-Day9) | 120 ± 3 |
| 15 | 0.21 ± 0.015 (Day 1-Day18) | 0.10 ± 0.001 (Day 1-Day21) | 2483 ± 46 | 360 ± 52 |
| 20 | 0.29 ± 0.008 (Day 1-Day18) | 0.22 ± 0.004 (Day 1-Day15) | 7150 ± 270 | 1343 ± 123 |

(a, b) Growth responses of D. acuminata (solid lines) under multiple temperature (10, 15 and 20°C) and two strains of ciliates (a: JAMR b: AND-A0711, dash lines); (c, d) Toxin profiles of D. acuminata (DAYS01) fed with M. rubrum from Japan (JAMR) and Spain (AND-A0711) under multiple temperatures (10, 15 and 20°C). Error bars: standard error
Dinophysis samples were harvested for toxin analysis using LC-MS/MS. OA, DTX1 and PTX2 were the dominant DSP toxins of this Chinese Dinophysis isolate (Fig. 4a, b). Toxin data were plotted as total toxin content (e.g. OA amount per ml culture medium, Fig. 3c, d). Samples for toxin analyses were harvested once during the late plateau phase. The content of the remaining wells was combined to ensure enough biomass for toxin analysis. Therefore, no statistical analysis was conducted on toxin content differences in relation to temperature (Fig. 4a, b) and prey types of cultured DAYS01 (Fig. 3c, d). The total toxin concentration (OA, DTX1 and PTX2, per ml) increased as cell densities increased, which resulted from the faster growth of Dinophysis at higher temperatures. In the dense culture system (cell density of 7150 ± 270 cells ml-1 at 20°C when fed on Japanese ciliates), total OA, DTX1 and PTX2 toxin concentrations reached 5.66, 0.52 and 192.87 ng ml-1, respectively.

LC-MS/MS chromatograms of OA, DTX1 (a) and PTX2 (b) in Dinophysis acuminata (DAYS01) cultures under 10, 15 and 20°C
Many Dinophysis species have been successfully maintained in the laboratory, using the specific food chain, Dinophysis–Mesodinium–Teleaulax, including D. acuminata (Park et al. 2006; Tong et al. 2010), D. fortii (Nagai et al. 2008), D. caudata (Nishitani et al. 2008a), D. ovum (Fux et al. 2011; Tong et al. 2015a), D. acuta (Jaén et al. 2009), D. tripos (Rodríguez et al. 2012), D. sacculus (Raho et al. 2013) and D. infundibulus (Nishitani et al. 2008b). However, although toxic Dinophysis species have been reported in China since the late 20th century (Chen 1988; Wang 2007; Li et al. 2012; Jiang et al. 2014;Li et al. 2015), all previous attempts to maintain Chinese isolates of Dinophysis in the laboratory were unsuccessful. In this study, we cultured D. acuminata from the Yellow Sea (DAYS01) by feeding them with two strains of M. rubrum, JAMR and AND-A0711. The feeding activity of DAYS01 was slow during the first day of isolation and increased after several generations (~ 5-day consumption), indicating that DAYS01 specifically selected JAMR or AND-A0711 as its prey. However, the unsuccessful cultivation of D. caudata using the same prey was probably due to the poor physiological conditions of Dinophysis cells in raw water samples. Nagai et al. (2008) found that their attempts to culture D. fortii failed when samples were dominated by small and colorless cells.
The Chinese isolate DAYS01 was classified as Dinophysis acuminata Claparède & Lachmann based on morphological and phylogenetic analysis. Morphologically, DAYS01 cells were identical to D. acuminata, with a slightly tapered hypotheca and a left sulcal list supported by three ribs and extending to over halfway down the ventral margin of the hypotheca. When viewed laterally, cells were rounded symmetrically (Tong et al. 2015). In comparison, the DAYS01 isolate (32.5 ± 4.0 μm in length and 24.3 ± 5.1 μm in width) was smaller than the three D. acuminata isolates from the northwestern Atlantic (DAEP01, DAMV01 and DABOF02), which were documented as 42.0 ± 2.4, 44.9 ± 2.5 and 44.3 ± 2.3 μm in length, and 27.2 ± 2.3, 30.5 ± 2.0 and 29.2 ± 1.9 μm in dorsoventral width, respectively (Tong et al. 2015a). Molecular analyses based on the cox1 sequence aligned the Chinese isolate with D. acuminata strains from the northwestern Atlantic (GenBank Accession No. KJ670071, KJ670072 and KJ670073), Passamaquoddy Bay, the Bay of Fundy, Canada (Genbank accession EU927465) and Narragansett Bay, the USA (Genbank accession EU130566). Mitochondrial cox1 allows differentiating D. acuminata from D. ovum and D. sacculus within the “D. acuminata complex” (Raho et al. 2008; Raho et al. 2013), but may not be powerful enough to separate all species in this genus. The ITS1-5.8S-ITS2 region proved to be a valuable marker to distinguish D. acuminata, D. acuta, D. norvegica and D. rotundata (Edvardsen et al. 2003). It was also a more effective marker than rDNA SSU, LSU, mt cob, mt cox1 and plastid rDNA SSU to discriminate D. miles from other Dinophysis species (Qiu et al. 2011). Amplified sequences of the LSU D2 and ITS rDNA region of a single Dinophysis cell from Qingdao, China, also showed the resolving power to identify D. acuminata and D. rotundata (Luo 2011). However, the ITS region poorly discriminate between D. acuminata and D. sacculus due to their identical (Edvardsen et al. 2003) or slightly different ITS sequences (Marín et al. 2001; Guillou et al. 2002). As for species within the “D. acuminata complex”, mitochondrial cox1 has been known so far as a variable marker to discriminate between these morphologically related species (Papaefthimiou et al. 2010; Raho et al. 2013).
In the present study, the isolate of D. acuminata from the Yellow Sea was characterized by relatively low growth rates when prey was not limited, ranging from 0.09 to 0.29 d-1 during the exponential phase. Other cultured D. acuminata grew either at a similar level, i.e. the D. acuminata isolate from Inokushi Bay, Japan, with growth rates of 0.14 d-1 at 10°C and 0.28 d-1 at 22°C under a 12-h light : 12-h dark cycle (Kamiyama et al. 2010), or higher, i.e. D. acuminata isolates from North America, the USA, with growth rates of 0.23 d-1 at 10°C (Tong et al. 2010), 0.37 d-1 at 15°C under a 14-h light:10-h dark cycle (Tong et al. 2015a) and from Masan Bay, Korea, with growth rates of 0.91 d-1 at 20°C under continuous light (Park et al. 2006). Interestingly, a significantly low growth (0.09 d-1) was observed at 10°C in the present study, when there was still sufficient prey in the mixed culture, indicating that this geographical isolate of D. acuminata was able to survive, but not feed and/or divide actively at low temperature. The insufficient growth and predation of Dinophysis at 10°C might be a survival strategy of cells exposed to lower temperature, which may be the same response of Dinophysis cells to other environmental pressures in natural seawater. As a cosmopolitan species, different strains of D. acuminata were revealed to adapt to a wide range of conditions and were capable of growing under temperatures as low as 6°C in North America (Tong et al. 2010) or 8°C in the northeast of Japan (Maestrini 1998). A strain of D. acuminata from Inokushi Bay, Japan (32.80°N, 131.90°E) was reported to grow exponentially at a wide range of temperatures (from 10 to 22°C), even though cultures were originally maintained at 18°C (Kamiyama et al. 2010).
Temperature of all the environmental factors may not be identified as the “weighted” factor for certain physiological and toxigenic characteristics of Dinophysis (Alves-de-Souza et al. 2013). However, field studies revealed the succession of Dinophysis on a seasonal basis (Alves-de-Souza et al. 2013; Jiang et al. 2014; Fabro et al. 2016). Meanwhile, the positive effect of temperature on the phytoplankton growth has been confirmed by numerous studies. A warmer habitat leads to many ecological variations in an organism, such as frequency of division, active motility and metabolic activities (Wotton 1995). Therefore, it is a rational assumption that the higher temperature in the present experiment (20°C) stimulated the growth of D. acuminata by enhancing the encounter rates of the predator and prey, which in turn, activated the phagotrophy of Dinophysis.
The type of prey had a significant effect on the population growth and cellular biomass of D. acuminata. Both the cell size and biovolume of the two ciliate strains were different. Strains from Japan (JAMR) were three times larger than AND-A0711. Although AND-A0711 was used as prey in three times larger amounts than JAMR, the growth rate and biomass of D. acuminata were still significantly higher when fed on JAMR through the entire growth period. It is possible that factors other than biomass, such as pigment or the type of chloroplast, may affect the growth. Park et al. (2010) investigated the fate of “kleptoplasts” in one isolate of D. caudata and found that CR-MAL01-type plastids stayed longer than CR-MAL11-type plastids in D.caudata cells with the increased starvation time. This indicated that Dinophysis treats plastids taken up from different cryptophytes via its ciliate prey M. rubrum in different ways. Unfortunately, we could not investigate the effect of the plastid type on the growth of Dinophysis, because the plastids of the T. amphioxeia strain JATA and the strain AND-A0710 were identical according to their 16S rDNA and psbA sequencing. Furthermore, genetic differences in D. acuminata may have led to differentiating physiological characteristics within this species. D. acuminata from North America (DAMV01) had a growth rate of 0.37 d-1 at 15°C when fed on the same prey (Tong et al. 2015b). Dinophysis (D. caudata, D. acuta and D. tripos) from Northwest Spain had growth rates of 0.27-0.40 d-1 under high light illumination (Rial et al. 2013).
Environmental factors, such as temperature, light intensity, dissolved inorganic nitrate and phosphate, do not directly affect the toxin profile and the content of Dinophysis in batch cultures (Kamiyama & Suzuki 2009; Tong et al. 2011; Nielsen et al. 2013; Hattenrath & Gobler. 2015; Hattenrath et al. 2015; Tong et al. 2015b). Tong et al. (2011) investigated the toxin production of D. acuminata under two temperatures (4 and 6°C) and three light intensities (65, 145 and 284 µmol photons m-2 s-1), and showed that the toxin content of Dinophysis was not significantly altered by changes in these environmental conditions. Kamiyama et al. (2010) found that the cellular PTX2 content was greater at lower temperatures, but no clear differences in OA and DTX1 were observed in relation to temperature. Although relatively higher amounts of OA per ml of culture were observed at higher temperature in both feeding regimes in the present study, the differences were not statistically analyzed. The cellular toxin content was unaffected by irradiance (Tong et al. 2011; Nielsen et al. 2012; Nielsen et al. 2013), but light was required for the growth and toxin production of D. acuminata (Tong et al. 2011). Dissolved nitrate and phosphate do not have a direct effect on the toxin production of D. acuminata, but these nutrient pools may contribute to prey growth and biomass, thereby indirectly promoting overall toxin concentrations in the D. acuminata culture system (Hattenrath & Gobler 2015; Hattenrath et al. 2015; Tong et al. 2015b). Additionally, the cellular toxin content of Dinophysis isolates varies greatly due to the variability associated with different growth stages (Tong et al. 2011; Tong et al. 2015a).
Prey availability affected the total amounts of OA, DTX1 and PTX2. In the presence of prey, the number of D. acuminata cells increased, resulting in elevated total toxin concentrations (Kamiyama et al. 2010; Nagai et al. 2011; Tong et al. 2011; Tong et al. 2015a). Active toxin production by Dinophysis required the presence of ciliate prey (Tong et al. 2015b). In the absence of prey, there were no changes in cellular, dissolved or total OA, DTX1 or PTX2 over one month of incubation (Smith et al. 2012; Tong et al. 2015b).
Prey isolates or prey nutritional quality might be a driver of toxin content in Dinophysis. Two nutritionally different ciliates were supplied as prey for D. acuminata DAYS01. Although more Spanish ciliates were added to maintain an equivalent biomass/ biovolume, the toxin content, especially PTX2, in the two feeding chain systems varied greatly, suggesting that inherent differences in the prey influenced the PTX2 toxin quota of Dinophysis. No obvious differences in PTX2 content were observed at 10°C, possibly due to the non-growth of Dinophysis at such a low temperature. Therefore, Dinophysis cultures at 10°C may have maintained their initial toxin concentration. However, toxin analysis was not performed for the Dinophysis inoculum, which prevented us from testing this assumption.
Intrinsic differences in Dinophysis strains may lead to variations in the toxin profile and production. In a batch culture study, OA, DTX1 and PTXs toxin content of northwestern Atlantic D. acuminata isolates (DAEP01, DAMV01 and DABOF02) from the northwestern Atlantic was typically 0.01−1.80 pg cell-1 of OA or DTX1 in batch culture (Tong et al. 2015a), a value at the lower end of the D. acuminata isolates from Japan (0.2−12.2 pg cell-1, Kamiyama & Suzuki 2009; Kamiyama et al. 2010; Nagai et al. 2011) and Brazil (3.2−18.0 pg cell-1, Mafra et al. 2014). Compared to those studies, the extracted toxins were not from isolated cells, but from the culture (including cell and medium) in the present study. Therefore, the OA or DTX1 content of our Chinese D. acuminata, nd-0.54 pg cell-1, were overestimated. However, the content of OA or DTX1 was still low. The overestimated PTX2 content of the isolates (9.63-18.49 pg cell-1) in the present study was within the range of quotas reported for many other regions (Nielsen et al. 2012). The relatively low OA and DTX1 toxin content of the Yellow Sea isolates is consistent with scarce harvesting closures in that region due to OA-group toxins, but the potential risk of moderate or high PTX toxin exposure cannot be ignored.
Individual Dinophysis strains appear to be able to produce only one type of toxin profile (Reguera et al. 2012). Dinophysis cf acuminata cells from northern and southern Chile (Blanco et al. 2007; Fux et al. 2011) produced only PTX2; D. cf ovum cells from Texas contained only OA (Deeds et al. 2010; Fux et al. 2011; Tong et al. 2015a). The toxin PTX2 was the dominant toxic component in D. acuminata, D. norvegica and D. infundibulus from Hokkaido, Japan (Suzuki et al. 2009), and D. fortii was reported to produce DTX1 and PTX2 (Kamiyama & Suzuki 2009; Suzuki et al. 2009). The toxin profiles and content of D. caudata varied seasonally and geographically. The cellular toxin content was extracted from the isolated cell, and low concentrations of OA were detected in field populations of D. caudata from Singapore (0.07-0.14 pg cell-1) (Holmes et al. 1999; Holmes & Teo 2002). Moderate to high values of OA (7.9-56.5 pg cell-1) and DTX1 (7.2-53.9 pg cell-1) were reported in the Philippines, where D. caudata populations were seasonally dominant in phytoplankton communities at intervals higher than 1000 cell l-1 (Marasigan et al. 2001). Dinophysis caudata isolates from Northwest Spain were reported to contain PTX2, ranging from 5 to 130 pg cell-1 (Fernandez et al. 2006; Pizarro et al. 2013), and trace amounts of OA and/or DTX2 (Pizarro et al. 2013). A field investigation of D. caudata in China (Gouqi Island, the East China Sea) found low PTX2 (0.58 pg cell-1) and trace amounts of OA and DTX1 using LC-MS/MS (Li et al. 2015), suggesting an urgent need to investigate the toxin-producing capacity of local species and to assess the potential risk to local aquaculture industries.
The successful cultivation of the Chinese strain of Dinophysis acuminata (DAYS01) provided an opportunity to investigate the physiological and toxigenic characteristics of the local Dinophysis isolate. The effects of temperature and the type of prey on the growth and toxin production of local Dinophysis species were examined. The results showed that Dinophysis culture densities increased at temperatures of 10, 15 and 20°C, and the highest growth rates occurred at the highest temperature. OA, DTX1 and PTX2 were the major toxin components of DAYS01, with the highest recorded toxin content of 0.54, 0.05 and 18.49 pg cell-1, respectively. Toxin concentrations (toxin amount per ml of culture) increased with increasing cell densities. The type of prey significantly influenced the cell growth and toxin content, suggesting that the origin or strain of the ciliate prey directly impacted the D. acuminata blooms and the overall toxin concentration in the field.
Time indicates the exponential growth period of each treatment