Figure 1

Figure 2

Figure 3

Figure 4

Figure 5

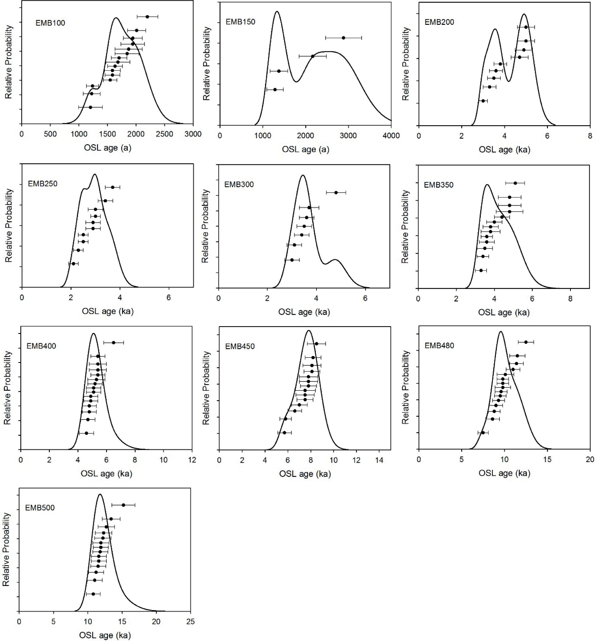
Figure 6

Figure 7

Results of AMS radiocarbon dating
| Depth (cm) | Unit | Latitude | Longitude | Type of material | Radiocarbon age 14C (BP) | Calibrated age 1 σ range; cal year BP(1950) | Laboratory code |
|---|---|---|---|---|---|---|---|
| 85 | U6 | 54°56.870′ | 13°8.200′ | Macoma sp. | 1070±30 | 732 ± 97 | Poz-62228 |
| 234 | U5 | 54°56.870′ | 13°18.200′ | Macoma sp. | 2245 ± 30 | 1977±128 | Poz-62230 |
| 303 | U5 | 54°56.870′ | 13°18.200′ | Macoma sp. | 2735 ± 30 | 2584±130 | Poz-62231 |
| 420 | U3 | 54°56.870′ | 13°18.200′ | fishbone | 4600 ± 70 | 4986±183 | Poz-62232 |
Results of OSL dating
| Sample | Depth (cm) | Unit | Lab. code | Age yrs BP | De(Gy) | n | 238U(Bq kg-1) | 232Th(Bq kg-1) | 40K(Bq kg-1) | Dose rate(Gy ka-1) | w.c. w.c. - water content |
|---|---|---|---|---|---|---|---|---|---|---|---|
| EMB100 | 95-100 | U6 | GdTL-1957 | 1670 ± 140 | 1.63 ± 0.07 | 15 | 25.7 ± 0.6 | 37.6 ± 1.1 | 620 ± 21 | 0.94 ± 0.06 | 220 ± 10 |
| EMB150 | 145-150 | U6 | GdTL-1956 | 1880 ± 400 | 1.98 ± 0.35 | 4 | 24.7 ± 0.7 | 39.3 ± 1.3 | 650 ± 23 | 1.05 ± 0.07 | 190 ± 10 |
| EMB200 | 195-200 | U5 | GdTL-1955 | 4090 ± 390 | 5.8 5 ± 0.36 | 9 | 29.2 ± 0.4 | 40.2 ± 0.8 | 716 ± 23 | 1.43 ± 0.10 | 142 ± 10 |
| EMB250 | 245-250 | U5 | GdTL-1954 | 2850±260 | 3.94 ± 0.21 | 10 | 28.4 ± 0.4 | 36.4 ± 0.7 | 667 ± 21 | 1.38 ± 0.10 | 130 ± 10 |
| EMB300 | 295-300 | U5 | GdTL-1953 | 3620±350 | 5.25 ± 0.30 | 7 | 30.5 ± 0.6 | 39.5 ± 1.1 | 679 ± 23 | 1.45 ± 0.11 | 125 ± 10 |
| EMB350 | 345-350 | U4 | GdTL-1952 | 4050±390 | 6.69 ± 0.30 | 13 | 27.2 ± 0.5 | 31.2 ± 0.8 | 647 ± 21 | 1.65 ± 0.14 | 78 ± 10 |
| EMB400 | 395-400 | U3 | GdTL-1951 | 5180±490 | 9.74 ± 0.25 | 15 | 27.3 ± 0.5 | 29.0 ± 0.8 | 654 ± 21 | 1.88 ± 0.17 | 60 ± 10 |
| EMB450 | 445-450 | U3 | GdTL-1950 | 7420 ± 650 | 15.1 ± 0.5 | 14 | 39.6 ± 0.5 | 42.8 ± 0.9 | 738 ± 24 | 2.04 ± 0.17 | 80 ± 10 |
| EMB480 | 475-480 | U2 | GdTL-1949 | 9910±780 | 23.2 ± 0.8 | 15 | 62.9 ± 0.8 | 68.8 ± 1.4 | 986 ± 33 | 2.34 ± 0.17 | 118 ± 10 |
| EMB500 | 495-500 | U1 | GdTL-1948 | 12020±1150 | 33.8 ± 0.8 | 14 | 49.3 ± 0.5 | 50.3 ± 0.8 | 834 ± 26 | 2.81 ± 0.26 | 53 ± 10 |
Comparison of the accumulation calculation based on previous publications
| Area | Lat. N, Long. E | Core | Duration (a) | Thickness (cm) | Sed. rate (mm year-1) | Publication |
|---|---|---|---|---|---|---|
| Arkona Basin | 54.951°, 13.780° | 242790 | 0-3600 | 225 | 0.625 | Kortekaas et al. 2007 |
| Arkona Basin | 54.951°, 13.780° | 242790 | 3600-8000 | 175 | 0.398 | Kortekaas et al. 2007 |
| Bornholm Basin | 55.377°, 15.398° | 211630-9 | 0-3000 | 325 | 1.083 | Andrén et al. 2000 |
| Bornholm Basin | 55.377°, 15.398° | 211630-9 | 3500-6550 | 228 | 0.48 | Andrén et al. 2000 |
| Gdańsk Basin | 54.822°, 19.185° | 303700-7 | 0-4800 | 205 | 0.427 | Grigoriev et al. 2011 |
| Gdańsk Basin | 54.822°, 19.185° | 303700-7 | 4800-9000 | 430 | 0.102 | Grigoriev et al. 2011 |