Coastal lagoons are among the most productive but at the same time the most disturbed aquatic ecosystems due to the impact of combined anthropogenic and natural stressors (Kennish, Paerl 2010). Therefore, these water bodies are listed as priority habitats of European importance in Annex I of the Habitat Directive (European Parliament, Council of the European Union 1992). Enclosed water bodies (bays, coastal lagoons, etc.) have undergone drastic changes during the last decades, mainly due to increased human eutrophication (Rönnberg, Bonsdorff 2004; HELCOM 2009). Improvement of the ecological status of such water bodies is central to the European Water Framework Directive (European Parliament, Council of the European Union 2000). The Directive establishes a framework for ecological status assessment in respect of the defined reference (pristine) conditions. Reference conditions for biological parameters could be defined using modelling approaches, historical datasets and existing information on pristine sites or expert judgement. Generally, historical information on the species diversity is the most reliable method of determining the pristine conditions.
Aquatic flora, especially charophytes (Characeae), is considered to be an important biological quality element in fresh and brackish water bodies (Kufel, Kufel 2002; Mathieson, Nienhuis 1991; and references therein). The dense beds of charophytes provide shelter, food and substrate for benthic invertebrates, fishes and birds (Dugdale et al. 2006; Schmieder et al. 2006). Data on the species diversity and threats to charophytes in the Baltic Sea were summarized by Schubert & Blindow (2003). During the last decade, the extensive research on brackish submerged vegetation and the search for indicator species have been carried out in the inner coastal waters of southern Baltic (Schubert et al. 2007; Selig et al. 2007a,b; Steinhardt et al. 2009; Steinhardt, Selig 2008; Steinhardt, Selig 2011) and northern Baltic (Appelgren, Mattila 2005; Rosqvist et al. 2010; Hansen, Snickars 2014; Torn et al. 2014). Nevertheless, the status of charophytes and their response to environmental conditions in the largest lagoons of the Baltic Sea is still not fully understood, especially in the long-term perspective and including the most recent data.
Therefore, the aim of this study was to assess the recent (2014-2015) diversity and the distribution of charophytes in the Curonian Lagoon and to compare them with the previous (1949-1959, 1960-1980 and 1997-2007) results in order to reveal possible long-term changes of charophytes. We also discussed the temporal patterns of charophyte distribution by relating them to changes in environmental factors, potentially caused by human impact and climate change.
The Curonian Lagoon with an area of 1584 km2 is the largest estuarine lagoon in the Baltic Sea. This shallow (the average depth is 3.8 m) and almost freshwater body is situated in the south-eastern part of the Baltic Sea (Zemlys et al. 2013). The lagoon was formed ca. 5000-4000 years ago, when the Curonian Spit separated part of the sea and the Nemunas River Delta (Žaromskis 1996). Therefore, the Curonian Lagoon is recognized as a Natura 2000 site, which borders other territories of European importance, and the Curonian Spit – as a UNESCO World Heritage site.
The northern part of the lagoon (from the Nemunas River Delta) is typically defined as a transitional estuarine system with mixed brackish, lagoon and riverine waters (Fig. 1), whereas the southern part is more lacustrine and characterized by relatively closed water circulation (Ferrarin et al. 2008). The Nemunas River brings 96% of the total freshwater runoff. Saline water from the Baltic flows into the lagoon under prevailing westerly winds in summer and autumn. Episodic inflows of brackish water cause irregular rapid salinity fluctuations (within hours and/or days) in the range of 0.1-7 PSU in the northern part of the lagoon. Brackish waters get into the lagoon through the narrow and ca. 10 km long Klaipeda Strait (port area) and flow mainly through a fairway along the Curonian Spit, while fresh river waters usually flow along the eastern shore of the lagoon (Ferrarin et al. 2008; Zemlys et al. 2013). Consequently, the hydraulic circulation in the lagoon is a factor of primary importance for most of the physical and biogeochemical processes, including changes in water salinity, transparency and concentration of nutrients.

Geographical location of the study area and the distribution of recent (2014-2015) macrophyte sampling transects (samples were collected every ca. 0.25 m along the depth gradient from the coastline or reed stands down to the maximum colonization depth of macrophytes), sites locations (e.g. between the transects or within reed stands) and sampling locations of hydrophysical and chemical parameters in the estuarine part of the Curonian Lagoon
The Curonian Lagoon is one of the most highly eutrophic coastal lagoons in the Baltic Sea (Krevs et al. 2007; Zilius et al. 2014). During the period of 1997-2014, the mean concentrations of total phosphorus (P) ranged from 70 to 180 μg l-1 and total nitrogen (N) – from 1100 to 1800 μg l-1 (Aplinkos apsaugos agentūra 2014). Nearly continuous decline in the mean concentration of total P began in 1997, which decreased from 150 to 70 μg l-1. The concentration of total N did not show clear trends.
The distribution of the study sites during the period of July-September 2014-2015 (Fig. 1) was chosen in line with the previous studies (Minkevičius, Pipinys 1959; Trainauskaitė 1978; Plokštienė 2002; Sinkevičienė 2004) in order to evaluate possible temporal changes in species composition and distribution of charophytes. Two different sampling strategies (transects and points) were used for the assessment of macrophyte species diversity, abundance and depth distribution. The transect sampling approach was conducted at the sites with a relatively wide belt of charophytes, especially on relatively long (>300 m) and gentle slopes, where samples were collected at a depth of every ca. 0.25 m along imaginary transects extending from the coastline or reed stands down to the maximum colonization depth of macrophytes. The point sampling strategy was used at the sites where previous studies were performed or to check certain locations (e.g. between the transects or within reed stands). In total, 27 transects and 12 sites were studied. Submerged plants (at least 3 samples in each depth zone along the transects) were sampled using a double-headed rake by wading in shallow areas, from a boat and by snorkeling in deep zones. The total coverage (%) of charophytes and abundance of each macrophyte species was assessed using the Braun-Blanquet scale (Kent, Coker 1992). The maximum colonization depth of macrophytes was measured using the marked line and echo-sounder (Humminbird 898c SI Combo).
The macrophyte samples were brought in cooling bags to the laboratory for final species identification. Specimens of charophytes were identified using the keys of Hollerbach & Krasavina (1983), Krause (1997), Blindow & Koistinen (2003); vascular plants – according to Lekavičius (1989) and macroalgae – according to Snoeijs & Johansson (2003).
The previous studies of charophytes in the Curonian Lagoon were not systematic and quite scattered, therefore this information was divided into three periods represented by major studies (Table 1): 1949-1959 (Minkevičius, Pipinys 1959), 1960-1980 (Trainauskaitė 1978) and 1997-2007 (Plokštienė 2002; Sinkevičienė 2004). In order to compare the occurrence of charophytes during these periods, the species lists of the first and third period were confirmed with the herbarium material (BILAS, WI).
Characteristics of the recent and historical macrophyte surveys in the Curonian Lagoon used for comparison analysis
| Study period | Sampling method | Number of transects and sites | Depth range (m) | Geographic extent | Reference |
|---|---|---|---|---|---|
| 1949-1959 | six-toothed hook, inspection of fishing nets | 35 sites (26 – littoral part, 4 – middle part, 5 –relevés); 15 littoral sites in the recent study area | 0-4 | Entire lagoon (except the south-eastern part) | Minkevičius, Pipinys 1959 |
| 1960-1980 | no data | no data | no data | Eastern Lithuanian part along the Nemunas River Delta and the south-eastern Russian part | Trainauskaitė 1978 |
| 1997-2007 | six-toothed hook | 22 transects and 13 sites (littoral part) | 0-2 | Lithuanian part | Plokštienė 2002; Sinkevičienė 2004 |
| 2014-2015 | double-headed rake, snorkeling | 27 transects and 12 sites (littoral part) | 0-3 | Lithuanian part | this study |
The recent abundance and depth distribution of charophytes was visualized by kite charts and linear interpolation using packages in R 3.2.0 (R Core Team 2015): “aspace” (Bui et al. 2012), “maptools” (Bivand et al. 2015), “geosphere” (Hijmans 2015) and “rgdal” (Bivand, Rundel 2015). The recent and previous distribution of charophytes was analyzed by plotting their records in the geographic information system (ArcGIS 10.3.). Significant differences in the averaged maximum colonization depth of dominant charophytes in different study periods (1949-1959, 1997-2007 and 2014-2015) were determined by nonparametric multiple contrast effects based on global rankings, computed with the Tukey-type test, using the “nparcomp” package (Konietschke et al. 2015) in R.
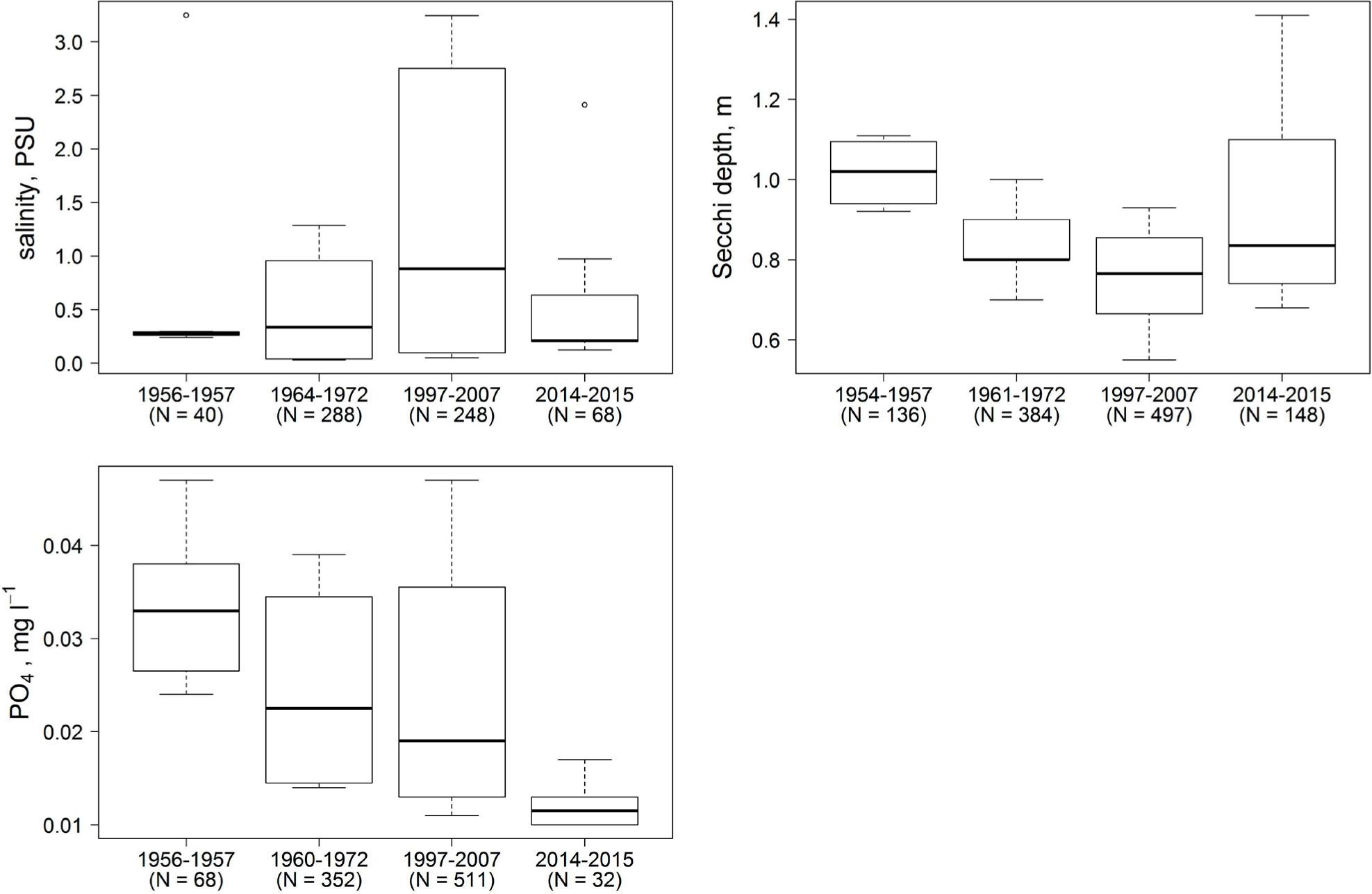
The long-term patterns of charophyte distribution were related to changes in environmental factors, such as water salinity, Secchi depth and concentration of phosphates. Data on hydrophysical and chemical parameters were selected with respect to the distribution of charophytes in the study area and vegetation period (May-August). These measurements were grouped according to the four study periods of charophytes: 1954-1957 (Jurevičius 1959), 1960-1972 (Vaitkevičienė, Vaitkevičius 1978), 1997-2007 (national water monitoring by the Department of Marine Research of the Environmental Protection Agency – DMREPA) and 2014-2015 (this study and DMREPA). During the first two periods, the parameters were measured annually – at least once in spring and summer at 16-17 sites, whereas in the two later periods – monthly at 10 sites (Fig. 1). According to the previous studies mentioned above), the sites were classified into the northern and central areas and monthly means of each parameter were calculated for each area. In order to compare the means from the four analyzed periods, the statistics such as the median, 25% and 75% quartiles, the minimum and maximum were derived from them and plotted in R.
Charophytes were found in 17 out of 27 transects and at 3 out of 12 sites. In total, 7 charophyte species were found during our study, including 5 (Chara aspera, C. contraria, C. baltica, Nitellopsis obtusa, Tolypella nidifica) distributed mainly in the littoral zone, outside the belt of helophytes (Fig. 2) and 2 species (Chara canescens and C. globularis) only in the belt of helophytes. All the species were recorded along the eastern shore of the study area, whereas C. contraria was also found in the western part.

Examples of recent (2014-2015) abundance and depth distribution of macrophytes in the study transects (1-5) with charophytes in the northern part of the Curonian Lagoon
C. contraria was the most common species recorded in 59% of the transects. The species colonized down to 2 m depth (Fig. 3). Its monodominant communities were found at different depths, mainly within 0.5-1.5 m and only in the north-eastern part of the lagoon (Fig. 4). All identified specimens were fertile – with gametangia and abundant ripe oospores.

Recent (2014-2015) median ranges of depth distribution and abundance (Braun-Blanquet scale) of 5 charophyte species along the transects (locations are given in Fig. 2) in the Curonian Lagoon; empirical relationships obtained by linear interpolation

Recent (2014-2015) and previous (1949-1959, 1960-1980 and 1997-2007) distribution of charophyte species recorded in the Curonian Lagoon
C. aspera was less frequent (recorded in 41% of the transects) and preferred shallow waters between 0.25 and 1.25 m (Fig. 3), even though the maximum colonization depth was 1.7 m. Monospecific communities occurred in the north-eastern part of the study area (Fig. 4). All examined specimens of C. aspera had numerous gametangia, but ripe oospores were not observed.
N. obtusa (with relative frequency of 30%) was mainly found in the south-eastern part of the study area to a depth of 2 m (Fig. 3 and 4). It was the only charophyte species recorded in the Nemunas River Delta. N. obtusa did not form monospecific communities and was usually the only species co-occurring in the communities of charophytes and angiosperms (Fig. 2). The plants often had unusual appearance; most likely they were damaged by waterfowl.
The rarest and less abundant charophytes were C. baltica (19%) and T. nidifica (7%), which were recorded in the north-eastern part of the study area (Fig. 4). These species as well as C. canescens and C. globularis also occurred in the reed stands to a depth of 0.1 m.
The densest vegetation of charophytes (total cover 80-100%) was found in the north-eastern coastal part of the study area (Fig. 2) at a depth of 0.25-1.5 m (Fig. 3). In this part, the maximum colonization depth varied between 1.2 and 1.8 m. The number of species and abundance of charophytes decreased toward the south, where the total cover was 5-30% and the maximum colonization depth ranged from 1 to 2 m.
Ten charophyte species have been confirmed by the herbarium material since 1949 (Table 2). The first compilation of charophytes in the Curonian Lagoon (Minkevičius, Pipinys 1959) contained 5 species (Chara aspera, C. connivens, C. contraria, C. globularis and Nitellopsis obtusa). Revision of the herbarium material did not confirm the record of C. connivens (Luther 1979; Sinkevičienė 2004), but supplemented the list with Nitella mucronata. In the period of 1960-1980, the study sites were scarce, mainly concentrated around the Nemunas River Delta and two new species (C. virgata and C. vulgaris) were found. The highest diversity of 8 species was recorded during the period of 1997-2007, when 3 new typical brackish-water species (C. baltica, C. canescens and Tolypella nidifica) were found.
The maximum colonization depth (m) and occurrence of charophyte species recorded in different study periods
| Species | 1949-1959 | 1960-1980 | 1997-2007 | 2014-2015 |
|---|---|---|---|---|
| Chara aspera Willd. | 0.8H, R | +R | 0.6H, R | 1.7 |
| Chara contraria A. Braun ex Kütz. | 0.9H, R | +R | 0.5H, R | 2.0 |
| Nitellopsis obtusa (Desv.) J. Groves | 0.9H, R | +R | 0.7H, R | 2.0 |
| Chara globularis Thuill. | 0.9H, R | +H, R | 0.4H, R | 0.1 |
| Nitella mucronata (A. Braun) Miq. | +H | +H | – | – |
| Chara vulgaris L. | – | +R | +H | – |
| Chara virgata Kütz. | – | +H, R | – | – |
| Chara baltica (Hartman) Bruzelius | – | – | 0.6H, R | 0.9 |
| Chara canescens Loisel. | – | – | 0.2H, R | 0.1 |
| Tolypella nidifica (O. F. Müll.) A. Braun | – | – | 0.1H, R | 1.2 |
H – herbarium data; R – reference data; + – record of a charophyte without maximum colonization depth; – absence of a charophyte; bolded species – abundant species
Although a different number of species was reported in different periods, Chara aspera, C. contraria and Nitellopsis obtusa were the most constant species during the four study periods. The recent composition of charophyte species was very similar to that in 1997-2007.
The present averaged maximum colonization depth of predominant charophyte species was statistically significantly (nonparametric Tukey-type contrast p<0.001) higher than in 1949-1959 and 1997-2007 (Table 2), whereas it was significantly higher in 1949-1959 than in 1997-2007.
The data on the distribution of charophytes from the first two periods (1949-1959 and 1960-1980) were quite scarce and could not reflect the whole situation in the study area, but they provided important information about their occurrence in several localities, especially along the western and south-eastern shores (Fig. 4). Chara aspera, C. contraria, C. globularis and even Nitellopsis obtusa were found in the western part of the study area. Moreover, N. obtusa, C. contraria and C. globularis were recorded in the area of the Nemunas River Delta where they were recently absent. The subsequent studies (1997-2007) revealed the most important sites of charophytes along the eastern shore of the study area and for the first time the localities of typical brackish-water species in the north-eastern part. Recently, Chara baltica and Tolypella nidifica were observed more widespread in this area.
The present study, focused on the charophyte diversity in the largest lagoon of the Baltic Sea, revealed 7 species out of 24 species recorded for the Baltic Sea (Schubert, Blindow 2003). Due to the mixing of freshwater from the Nemunas River and brackish water from the sea, two groups of species could be found at such habitats: freshwater species tolerant to salinity and typical brackish-water species. The similar number of species was revealed earlier in the neighboring Vistula Lagoon (Pliński et al. 1978) and in shallow bays of the northern Baltic Sea (Appelgren, Mattila 2005; Rosqvist et al. 2010). However, the species composition may depend not only on exposure to fresh or brackish water but also other environmental factors such as water transparency, bottom substrate and wave exposure (Kovtun et al. 2011).
Despite the relatively low number of charophyte species recorded in the Curonian Lagoon, we found changes in the species diversity, abundance and distribution during the past 6-7 decades. In the two earlier periods (1949-1959 and 1960-1980), only freshwater species (Chara aspera, C. contraria, C. globularis, C. vulgaris, C. virgata, Nitella mucronata and Nitellopsis obtusa) were recorded. The absence of brackish-water species could be explained by the relatively low density of the study sites (Table 1), especially along the north-eastern shore (Minkevičius, Pipinys 1959). On the other hand, these species could be very rare due to low exposure of brackish waters compared to the later periods (Fig. 5). The increased salinity observed from the 1980s could be explained by enhanced dredging works in the port channel (Gailiušis et al. 2005) and/or by the change of prevailing wind directions in the eastern Baltic Sea, which increased the occurrence of southwestern waves (Kelpšaitė, Dailidienė 2011) and probably an intrusion of a larger amount of brackish waters compared to 1960-1980. Not surprisingly, the charophytes restricted to brackish environment (Chara baltica, C. canescens and Tolypella nidifica) were recorded for the first time in 1999 (Sinkevičienė 2004) and therefore they were included in the Red Data Book (Sinkevičienė 2007). Only one red-listed species (N. mucronata) has not been observed since 1976 and can be treated as extinct (Sinkevičienė 2007).

Statistics of mean salinity, Secchi depth and concentration of phosphates (PO4) in the northern part of the Curonian Lagoon in May-September in different periods: 1954-1957 (Jurevičius 1959), 1960-1972 (Vaitkevičienė, Vaitkevičius 1978), 1997-2007 (DMREPA) and 2014-2015 (this study and DMREPA). The midpoint of a boxplot is the median, the hinges are 25% and 75% quartiles, the whiskers show minimum and maximum values. N – the number of measurements in the period
In the period of 1997-2007, monitoring of macrophytes has begun in the northern part of the Curonian Lagoon (Plokštienė 2002). Several comprehensive surveys of charophytes resulted in the maximum number (8) of species (Sinkevičienė 2004). No significant difference in the species composition was observed in this period compared to 2014-2015. Only one species (C. vulgaris) was not found, but it was always a very scarce species that occurred in sheltered bays or reed stands, and therefore could be missed in the recent surveys. Similarly, Chara canescens and C. globularis were not found in the open coastal areas in 2014-2015, but they were recorded in the reed belt.
In the recent study, a significant dominance and enlargement of areas occupied by Chara aspera and C. contraria was observed, mainly due to the increase in their maximum colonization depth (Table 2). C. aspera was previously treated as a dominant and widespread species, mostly forming monodominant communities in the shallow areas down to 0.5 m depth (Sinkevičienė 2004). During the previous periods, C. contraria was the only species accompanying C. aspera, while recently it formed dense meadows at depths greater than 0.5 m and its maximum colonization depth significantly increased to 2 m. Moreover, the species was recorded at all the sites in 2014-2015 (Fig. 4) where charophytes were found, except 2 study sites in the Nemunas River Delta.
C. contraria is a freshwater species, recorded only occasionally in German, Polish, Lithuanian, Latvian and Estonian coastal waters, in localities with a significant inflow of freshwater (Dekere 2003; Torn et al. 2015). For example, it was frequently recorded in the neighboring Vistula Lagoon (Pliński et al. 1978), in the coastal lakes (e.g. Grosser Binnensee) of the northwestern German Baltic coast, including especially its diaspores in the sediments (Steinhardt, Selig 2011). In the Curonian Lagoon, C. contraria was represented by a partially ecorticate (subgymnophyllous) form, which was also recorded in the Russian part (Romanov, Volodina 2015) and sometimes was treated as a separate species – C. inconnexa Allen (Romanov 2015). The recent spread of C. contraria in the lagoon could be explained by its relative tolerance to salinity and nutrient enrichment (Dekere 2003). Moreover, C. contraria is mentioned as one of the pioneer species colonizing disturbed lakes (Hosper 1994). In the Curonian Lagoon, a decrease in the concentration of nutrients and an increase in water transparency between 1997-2007 and 2014-2015 (Fig. 5) probably enhanced the spread of C. contraria in unvegetated areas by means of usually abundant oospores.
C. aspera is the most common species in the Baltic coastal waters, tolerating a wide range of salinity from freshwater to 17-18 PSU (Blindow 2000). It occurs at different depths and is mostly abundant down to 0.5 m (Nielsen 2003; Torn et al. 2015). Although charophytes were better competitors in clear waters (Blindow 1992), experimental studies evidenced that canopy-forming Stuckenia pectinata may outcompete C. aspera (Van den Berg et al. 1998). In the Curonian Lagoon, we found the negative relationship between abundance of both species (rS = -0.42, n = 71, p<0.01).
Typical brackish-water species – C. baltica, C. canescens and Tolypella nidifica – are frequent species in the Baltic Sea (Blümel 2003; Martin et al. 2003; Urbaniak 2003). In the Curonian Lagoon, they were previously recorded only in reed stands, while C. baltica and T. nidifica were recently found in the open areas, even below 1 m depth. Their localities were still restricted to the north-eastern part of the lagoon, which is exposed to the inflows of brackish waters. Therefore, the distribution limits of these charophytes corresponded to the modelled annual mean of vertically averaged salinity of 1-2 PSU and exposition time of salinity > 0.5 PSU for 85-150 days (Zemlys et al. 2013). According to Kovtun et al. (2009) and Torn et al. (2004), the distribution of species cover correlated with salinity, shallow depth and sheltered areas, whereas C. canescens was mostly found at salinities below 3 PSU in the Estonian coastal waters. In the southern Baltic lagoon (Salzhaff), the diaspore deposition of C. baltica and T. nidifica was more abundant in sheltered areas (Steinhardt, Selig 2007), supporting the effect of wave exposure.
On the other hand, Nitellopsis obtusa distribution in the Curonian Lagoon was associated with riverine waters. N. obtusa is a freshwater species, but can be found in brackish waters up to 2.5 PSU (Urbaniak 2003). According to the recent data, the species was mainly distributed in the south-eastern part of the study area, while in the previous periods, it was more widespread in the north-western part (close to the Klaipeda Strait) and in the Nemunas River Delta (Minkevičius, Pipinys 1959; Trainauskaitė 1978). This difference could be explained by lower exposure to brackish waters in the previous periods than thereafter due to the dredging works in the port channel (Gailiušis et al. 2005) or the change of prevailing wind directions (Kelpšaitė, Dailidienė 2011).
C. connivens is one of the rarest charophyte species in the Baltic Sea (Torn, Martin 2003). Most recently it was rediscovered in the Vistula and Szczecin lagoons (Brzeska et al. 2015), recorded for the first time in the Åland archipelago (Appelgren et al. 2004) and declared as not rare in the Estonian coastal waters (Torn et al. 2004). C. connivens was included in the species list of the Curonian Lagoon by Minkevičius & Pipinys (1959). However, after the examination of herbarium specimens from Lithuania, Luther (1979) did not approve the record (Sinkevičienė 2004). Although we did not find any specimens of C. connivens from the Herbaria (BILAS, WI), the presence of this species is very likely in the lagoon. Thus, more thorough surveys of charophyte distribution in the shallow part of the littoral zone are necessary and recommended. According to Selig et al. (2009), there was a relatively high inter-annual variability of the submerged vegetation in the brackish lagoon of the southern Baltic Sea. Therefore, future research should focus not only on abiotic factors, but also on a diaspore bank and the effect of waterfowl community.
In terms of the Water Framework Directive, the first records from 1949-1959 do not cover the pristine conditions (Pardo et al. 2011), because the data on charophytes in the Curonian Lagoon are available only from 1949. However, they are close to the conditions before the major eutrophication occurred (HELCOM 2009). This period is characterized by a relatively high concentration of nutrients and water transparency (Fig. 5). The relatively poor data (the surveys mainly focused on the eastern part of the study area along the Nemunas River Delta) on charophytes from 1960-1980 cover the period of intensive eutrophication since the total load of phosphorus increased 3-4 times and total nitrogen – 5 times during that period (Žaromskis 1996). The lack of information and herbarium material from other parts of the lagoon may be also related to the decline of charophyte vegetation due to eutrophication effects. The period of 1997-2007 can also be classified as a period of intensive eutrophication, because a significant decrease in the concentration of total phosphorus and total nitrogen was observed only from 2010 (Aplinkos Apsaugos Agentūra 2014). The recent study can be attributed to a post-eutrophication period due to a significant decrease in the concentration of nutrients and an increase in water transparency compared to the earlier periods (Fig. 5). This long-term pattern of eutrophication intensity during the analyzed periods most likely affected the changes in the maximum colonization depth of charophytes (and their habitat extent). Despite some temporal differences in the species composition, predominant charophyte species remained almost unchanged throughout the analyzed periods (Table 2). Therefore, the determination of sensitive species is problematic. In other coastal and estuarine parts of the Baltic Sea, the long-term patterns of charophyte composition and distribution, and their relationships with environmental factors are different. For instance, the comparative analysis of charophyte distribution in the Estonian coastal waters (Torn 2004) between similar periods (1970-1978 and 2001) did not show any large-scale changes. According to Kovtun et al. (2009), however, changes in phytobenthic communities in the Haapsalu Bay over the last 45 years were mainly due to large-scale weather patterns that determined regional salinity and ice conditions, whereas regional nutrient loading had minor effects. On the other hand, eutrophication, reduced pressure of grazers and shores overgrown with reeds were the main causes of long-term changes (between the 1930s and 1940s and 2005/2007) in the distribution of aquatic vascular plants and charophytes in the estuarine area of the Pojoviken-Ekenäs archipelago (Pitkänen et al. 2013).
The datasets for 1997-2007 and 2014-2015 provide comprehensive information about the diversity and distribution of charophytes due to the detailed inventory of species along the shore and transects. This data is valuable for conservation purposes (e.g. continuation of macrophyte monitoring, which was conducted in 1997-2000 and interrupted thereafter, and assessment of the red-listed species status) and the integrated coastal zone management due to the increasing human impact on the lagoon over the last few decades (Jakimavičius, Kovalenkovienė 2010). Moreover, changes in the maximum colonization depth of charophytes could be analyzed as one of the water quality assessment elements according to the Water Framework Directive. For instance, the reduced maximum colonization depth of vegetation and the loss of charophyte-dominated plant communities indicate degradation of benthic habitats in the inner coastal waters of the southern Baltic Sea (Selig et al. 2007a). Thus, charophytes are included in the national monitoring program in Germany (Steinhardt et al. 2009) and Estonia (Torn et al. 2014).
The recent charophyte species composition in the estuarine part of the Curonian Lagoon consists of 4 characteristic freshwater species (Chara aspera, C. contraria, C. globularis, Nitellopsis obtusa) and typical 3 brackish-water species (Chara baltica, C. canescens, Tolypella nidifica). The species list is similar to the one from 1997-2007, and different compared to the previous periods by the presence of a typical brackish-water species complex.
Despite the increasing water salinity in the lagoon observed from 1949-1959, only freshwater species (Chara aspera, C. contraria, Nitellopsis obtusa) tolerant to salinity were most constant and abundant. Recently, C. contraria has become the dominant and more widespread species compared to the previous periods.
The changes in the charophyte species composition, abundance and distribution in the lagoon can be explained to some extent by different intensity of surveys and density of study sites, but also by temporal patterns of ecological conditions. The presence of typical brackish-water species could be a result of increased exposure to brackish waters due to human activity and/or natural processes. The recent increase of the vegetated area covered by charophytes and their maximum colonization depth could be related to the reduced effect of eutrophication over the last decade. Thus, the data obtained are the basis for further search and testing of water quality indicators in respect of the Water Framework Directive.