Bacteria are abundant prokaryotic microorganisms common in the soil, water, and air. There are approximately 5 × 1030 bacterial species on the Earth (Whitman et al. 1998), which exceeds the number of all plants and animals. In the sea, marine bacteria are abundant and play a variety of roles in ocean environments. In recent years, an increased attention has been paid to the importance of marine bacteria. Marine bacteria not only decompose the organic matter, but also serve as a food source for organisms from higher trophic levels (Azam, Malfatti 2007; Larsson, Hagström 1979; Tsai et al. 2013). Furthermore, marine bacteria can stimulate the algal growth by generating carbon dioxide, supplying inorganic nutrients, vitamins and trace elements, and producing growth-promoting factors (Wang et al. 2016). In addition, marine bacteria can inhibit the microalgal growth indirectly by lysing or killing microalgae via release of lytic compounds, or they may directly inhibit the growth by attacking microalgae or competing for nutrients (Wang, et al. 2016).
In general, the bacterial growth is affected by numerous factors, such as temperature, salinity, nutrient availability, and pH of the surrounding environment (Campbell, Kirchman 2013; Cotter, Hill 2003; Maas et al. 2013; Nester 2001; Pomeroy, Wiebe 2001; Ratkowsky et al. 1982). Although suitable temperatures and a pH range are needed for bacterial growth, in addition nutrient availability is also an important factor that affects bacterial growth (Del Giorgio, Cole 1998; Elser et al. 1995; Kirchman 1994). Numerous nutrients affect the bacterial growth. Among them, organic carbon is the basic carbon source for bacteria growth (Kjelleberg 1993).
The marine ecosystem is one of the largest organic matter reservoirs on the Earth’s surface, containing approximately as much carbon as it is available in atmospheric carbon dioxide (Ogawa, Tanoue 2003). Dissolved organic matter (DOM) release by phytoplankton is an ubiquitous process, often resulting in 2-50% of the carbon fixed by photosynthesis leaving the cell. This is thought to be the main autochthonous source of dissolved organic carbon (DOC) in marine ecosystems (Thornton 2014). In addition, the coastal land use (Garnett et al. 2000), hydrologic transport from rivers (Findlay 2005), and climate change (Freeman et al. 2001; Freeman et al. 2004; Worrall et al. 2003) are all factors that can increase DOC concentrations. Because DOC is the major carbon source for heterotrophic prokaryotes in the water column, a major increase in DOC may cause bacterial composition changes within the bacterial community (Crump et al. 2003; Eiler et al. 2003).
Over the last 20 years, a wide range of molecular approaches have been developed to analyze microbial community structures. Despite the clear advantages of several methods, such as the accuracy of DNA microarray analysis (Dubois et al. 2004) and the depth of sample coverage of next-generation sequencing (NGS), these technologies are often expensive and complex because of their closed architecture (Roh et al. 2010; Samarajeewa et al. 2015). Denaturing gradient gel electrophoresis (DGGE) (Ferrari, Hollibaugh 1999; Muyzer et al. 1995) is a fast, easy, low-cost method that can be used to obtain phylogenetic information on microorganisms and community structural changes by analyzing the bands that migrate on DGGE gels (Watanabe et al. 2004).
The coastal waters of Incheon, Korea, are often eutrophicated. Park et al. (1999) reported that the N/P ratio varied from 18 to 117 in this area. Coastal waters of Incheon (from 762.8 to 4821.6 mg C m−2 day−1) have higher primary productivity than those of other Korean coastal areas (Yoo 2008). Thus, the coastal waters of Incheon represent an important marine fishery and biotic resource due to high primary productivity (Song et al. 2008). A change in the bacteria community structure is likely to affect organisms from higher trophic levels, because bacteria play a significant role in marine nutrient cycling and energy transfer (Buchan et al. 2014; Ederington et al. 1995; Larsson, Hagström 1979). However, few studies have investigated factors that affect bacteria growth and community structure in the coastal waters of Incheon, Korea.
We therefore conducted a field monitoring study in the coastal waters of Incheon, Korea, to examine the relationships in the bacterial community and to determine what factors could potentially affect this community. Physicochemical factors, bacterial community changes, and phytoplankton abundance changes were assessed via comparative analysis of different sites. In addition, correlation analysis and redundancy analysis (RDA) were used to comprehensively analyze the correlative relationships between abiotic and biotic factors.
Surface water samples were collected at three sampling sites in Yeongheung-do, Incheon, Korea, from April 2012 to October 2014 (Fig. 1). Sampling was conducted at St. 1 and St. 2 in 2012-2013. St. 3 was added as another sampling site in 2014. To analyze bacterial composition, both surface and bottom samples were collected from August 2013 to October 2014. Water depth data are shown in Table S1.

Sampling sites in the Yeongheung-do coastal waters, Incheon, Korea. St. 1: Site 1. St. 2: Site 2. St. 3: Site 3
Temperature, salinity, dissolved oxygen (DO) and pH were determined using YSI 556 MPS (YSI, Yellow Springs, OH, USA). Water samples for inorganic nutrients were collected from the filtrate through Whatman GF/F filters and stored at -20°C until measured using an autoanalyzer. Chlorophyll a retained on the GF/F filters was determined fluorometrically (Strickland, Parsons 1972) and measured using a fluorometer (10-AU-005; Turner Inc., CA, USA). Dissolved organic carbon (DOC) samples were collected by passing ~30 ml of the filtrate through a pre-combusted (400°C for 8 hours) Whatman GF/F filter in a pre-combusted (400°C for 8 hours) TOC vial (Shimadzu, Kyoto, Japan) and fixed with 2% H2PO4 (final concentration). The samples were then stored at 4°C in a fridge until measured using a TOC Analyzer (Shimadzu, Kyoto, Japan).
Samples were fixed with 2% glutaraldehyde (Sigma-Aldrich, St. Louis, MO, USA; final concentration) for 10 min in the dark at room temperature and then stored at 4°C in the dark storage room of the Department of Life Science, Hanyang University. Bacterial abundance was determined via DAPI (4’-6-diamidino-2-phenylindole, Sigma-Aldrich) staining of a sample filtered using a 0.2 μm GTTP Millipore filter membrane (Millipore Filter Corporation, Cork, Ireland). The abundance was then determined using an Olympus epifluorescence microscope (XC10, Olympus, Tokyo, Japan) (Porter, Feig 1980) under 1000× magnification.
Samples were fixed using Lugol’s solution (Throndsen 1978) (final concentration of approximately 2%) and stored at 4°C. A Zeiss stereomicroscope (Axioplan microscope, Zeiss, Oberkochen, Germany) or Olympus stereomicroscope (XC10, Olympus, Tokyo, Japan) were then used to count phytoplankton under 200× magnification. Both microscopes were equipped with Nomarski differential interference contrast (DIC) optics.
Fifty milliliter subsamples were collected and filtered through a 0.2 μm GTTP Millipore filter membrane (Millipore Filter Corporation) to analyze the free-living bacterial community. Filters were transferred to a 2-ml Eppendorf tube containing 0.8 ml of extraction buffer (100 mM of Tris-HCl with pH 8, 100 mM of Na2-EDTA, 100 mM of sodium phosphate with pH 8, 1.5 M NaCl and 1% CTAB) and stored at -80°C until DNA extraction (Wang et al. 2014). DNA extraction was performed following the EX DNA extraction protocol (Park et al. 2014). Eppendorf tubes (2-ml) containing the membrane filters were immersed in liquid N2 until completely frozen and then thawed in 65°C water bath. This freeze-thaw process was repeated three times. After adding 8 μl of proteinase K (10 mg ml−1 in TE buffer), the samples were incubated at 37°C for 30 min. Following the addition of 80 μl of 20% sodium dodecyl sulfate (SDS), which was prepared using double-distilled water, the samples were incubated at 65°C for 2 h with occasional stirring. After adding an equal volume of chloroform-isoamyl alcohol (24:1) and shaking the samples, they were centrifuged at 10,000 × g for 5 min. Then aqueous phase of the mixture was transferred to a fresh Eppendorf tube where 3 M sodium acetate (88.8 μl; pH 5.2), prepared using double-distilled water, was added. Next, 586.08 μl of isopropanol (≥99%) was added into the tube. Following centrifugation at 14,000 × g for 20 min, the supernatant was decanted, and 1 ml of cold 70% ethanol was added and the Eppendorf tube was vortexed. Samples were then centrifuged at 14,000 × g for 15 min. Pellets were air-dried before being dissolved in 100 μl of TE buffer (10 mM Tris-HCl, 1 mM EDTA; pH 8). DNA samples were stored at -20°C.
The 341F (5’-CCTACGGGAGGCAGCAG-3’) primer with a GC-clamp (5’-CGCCCGCCGCGCCCCGCGCCCGTCC CGCCGCCCCCGCCCG-3’) attached to the 5’ end and the 518R (5’-ATTACCGCGGCTGCTGG-3’) primer were used to amplify the nuclear SSU rDNA gene (v3 rDNA) (Ferrari, Hollibaugh 1999). PCR reactions were performed in 50-μl reaction mixtures using TaKaRa EX Taq™ (TaKaRa, Shiga, Japan). A touchdown polymerase chain reaction was performed using the Bio-Rad iCycler (Bio-Rad, Hercules, CA, USA) under the following conditions: initial denaturation at 94°C for 5 min, 30 cycles of 94°C for 1 min, annealing for 1 min at 65-55°C (stepping down 1 degree every cycle) for 10 cycles and 1 min at 55°C for 20 cycles, and extension at 72°C for 1 min, and then a final elongation step of 72°C for 15 min. Bands corresponding to the amplified product were excised following gel electrophoresis.
DGGE was performed using the Bio-Rad Dcode universal mutation detection system (Bio-Rad Laboratories); 30 μl aliquots of PCR products were applied to 8% polyacrylamide gels with gradients that contained 40 to 55% urea and 40% deionized formamide. Gels were run for 15 hours at 50 V in 1×TAE buffer. After electrophoresis, gels were stained with ethidium bromide and photographed via UV-transillumination. The banding patterns for each of the DGGE profiles were processed, normalized, and statistically analyzed using the Quantity One software (version 4.6.2; Bio-Rad Laboratories, Inc.). The relationships among the samples were determined by cluster analysis (UPGMA) of banding patterns using the Phylogenetic Tree Quick Guide to the program.
Correlation analysis was performed using the Statistical Package for Social Sciences (SPSS, v. 20.0) based on abiotic and biotic data collected from 2012 to 2014 (St. 1 and 2: 2012-2014; St. 3: 2014). The relationships between bacteria/phytoplankton abundance and environmental parameters were assessed via redundancy analysis (RDA) using CANOCO 5.0 based on the same data set used for correlation analysis from 2012 to 2014.
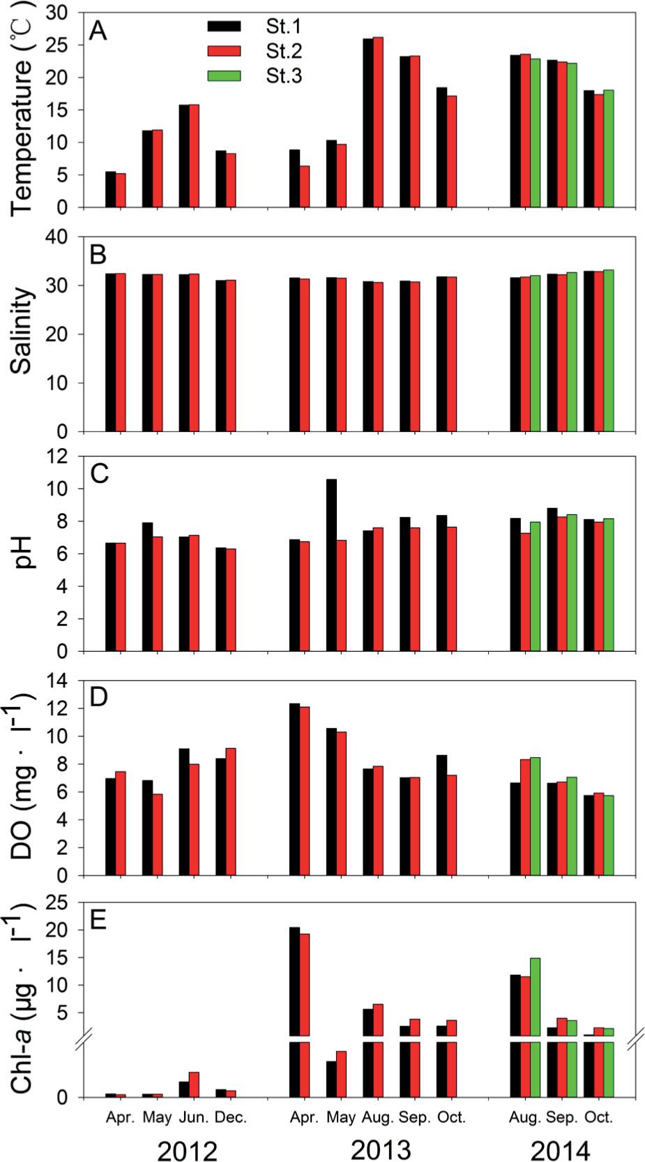
Temperature, salinity, dissolved oxygen (DO), pH, chlorophyll a (Chl-a), DOC and nutrient were measured at St. 1, 2 and 3 during 2012-2014 (St. 1 and 2: 2012-2014; St. 3: 2014) (Fig. 2–4). These factors exhibited no significant differences among the sampling sites during the study period. The temperature ranged from 5.22 (April 2012) to 26.18°C (August 2013), displaying fluctuations in different months (Fig. 2A). In general, salinity and pH did not change significantly over the study period (Figs 2B-C). However, the pH increased abruptly at St. 1 in May 2013 (Fig. 2C). The average DO concentration was higher in 2013 than in 2012 and 2014. The DO concentration primarily decreased in 2013 (April to October) and 2014 (August to October), and steadily increased in 2012 (April to December) (Fig. 2D). The Chl-a concentration gradually decreased from August to October in both 2013 and 2014 (Fig. 2E) but did not exhibit a significant change in 2012. Interestingly, the notable differences in Chl-a were observed in April 2012 (0.0365 μg l−1) and April 2013 (20.4541 μg l−1), even though these samples were isolated during the same month of both years. DOC concentrations at St. 2 increased from May (598.0 μg C l−1) to December (1164.0 μg C l1) in 2012, but were generally lower than those at St. 1. However, no significant difference in DOC was observed between the sites in 2013 and 2014 (Fig. 4B). DOC concentration decreased from August (St. 1: 2646.0 μg C l−1; St. 2: 2712.0 μg C l−1) to October (St. 1: 1397.5 μg C l−1; St. 2: 1339.5 μg C l−1) in 2013; however, the opposite trend was observed in 2014.

Physicochemical factor fluctuations at St. 1 through St.3 during field monitoring. A: Temperature; B: Salinity; C: pH; D: Dissolved oxygen (DO); E: Chlorophyll a, note the y axis break in E: Break from 0.6 to 0.8
Nutrient (nitrite, nitrate, ammonium, phosphate, and silicate) concentrations were measured at St. 1, 2, and 3 (Fig. 3). Levels of these nutrients showed similar patterns of fluctuation among the studied sites. As a result, most nutrient concentrations, with the exception of phosphate, were similar among the sampling sites (Fig. 3). Phosphate concentrations were different between St. 1 and St. 2 in December 2012 and May 2013 (Fig. 3A). The phosphate concentration increased in the fall (September 2013 and 2014) and early winter (December 2012) during the study period, however, the increase in 2014 was not as high as the increase in 2012 and 2013. The ammonium concentration was primarily lower than 2 μM, but peaked in August 2013 with maximum concentrations of 3.9641 μM (St. 1) and 3.9047 μM (St. 2) (Fig. 3B). Nitrite did not vary significantly (0.0456-0.4397 μM) in 2012, but increased abruptly in September 2013 (St. 1: 5.992 μM and St. 2: 7.146 μM) and 2014 (St. 1: 3.040 μM and St. 2: 2.800 μM) (Fig. 3C). Nitrate and silicate concentrations displayed similar patterns of fluctuation in 2012 and 2013, but not in 2014 (Figs 3D-E). These concentrations increased continuously from May to September 2013 and then slightly decreased in October, except for the nitrate concentration at St. 1. Nitrate and silicate concentrations exhibited opposite patterns of fluctuation in 2014 (Figs 3D-E). In September 2014, the nitrate concentration slightly decreased, while the silicate concentration increased sharply at the sampling sites. The N:P ratio was generally below 16 for 2012 and 2013, and above 16 in 2014 (Fig. 3F). Altogether these results imply that environmental conditions were significantly different between 2012-2013 and 2014: i) nitrogen was the limiting factor in 2012-2013 and ii) phosphate was the limiting factor in 2014.

Nutrient variations at St. 1 through St. 3 during field monitoring. A: Phosphate; B: Ammonia; C: Nitrite; D: Nitrate; E: Silicate; F: N:P ratio; the dotted N:P line represents a value of 16, which is the nitrogen to phosphorus ratio in the plankton and is remarkably similar to the global ocean dissolved nitrate to phosphate ratio (16:1) (Redfield 1958)
Bacterial abundance values did not differ among the sampling sites (St. 1, 2 and 3), but they could display dynamic patterns of monthly differences (Fig. 4A). Bacterial abundance ranged from 1.96 × 105 cells ml−1 to 1.41 × 106 cells ml−1 over the study period. Bacterial abundance peaks were observed in April and June 2012, while the only peaks observed in 2013 and 2014 occurred in August (Fig. 4A). Notably, DOC and bacteria exhibited extremely similar patterns in 2012 and 2013 (Figs 4A-B). DOC and bacteria peaked in April and June 2012 at St. 1. In addition, simultaneous DOC and bacteria peaks were observed at all sampling sites in August 2013 (St. 1 and 2) (Figs 4A-B). These results imply that bacterial abundance is closely related to DOC.
DGGE analysis was conducted to determine the effects of DOC on bacterial composition. Samples from August-October 2013 and August-October 2014 were analyzed. For sampling sites at low depth (Table S1) and in the tidal zone, we expected bottom samples to have a similar bacterial composition and therefore we analyzed these samples at the same time. Additionally, we used DGGE to analyze the bacterial composition of samples collected from August to October 2013 as these samples showed the closest relationship between DOC concentration and bacterial abundance (Figs 4A-B), as well as apparent fluctuations from August to October 2013 at St. 1 and St. 2 (see Figs 5 and 6). Because DOC concentrations were similar in August-September 2014, and the bacterial composition in the samples does not form clades strictly related to particular months (Fig. S1), we did not focus on the samples from 2014 in this study. Bacterial composition analysis and DGGE clustering results for the 2013 samples revealed two clades: one clade formed by samples from August 2013 and the other clade formed by samples from September and October 2013 (Figs 5 and 6). No significant differences were observed between the surface and bottom water samples, except for the surface sample at St. 2 in September 2013. The September samples were closer to the October samples than the August 2013 samples (Fig. 6), indicating that bacterial composition in September and October were more similar. Therefore, DOC may affect not only the bacterial abundance, but also the bacterial composition.

Bacteria, dissolved organic carbon (DOC) and phytoplankton variations at St. 1 through St. 3 during field monitoring. A: Bacteria abundance; B: DOC concentration; C: phytoplankton abundance

DGGE band patterns (negatively converted) obtained from the 2013 field monitoring campaign in Yeongheung-do, Incheon, Korea. 1. 08-27-2013 St. 1- Surface; 2. 08-27-2013 St. 1 - Bottom; 3. 08-27-2013 St. 2 - Surface; 4. 08-27-2013 St. 2 - Bottom; 5. 09-24-2013 St. 1 - Surface; 6. 09-24-2013 St. 1 - Bottom; 7. 09-24-2013 St. 2 - Surface; 8. 09-24-2013 St. 2 - Bottom; 9. 10-29-2013 St. 1 - Surface; 10. 10-29-2013 St. 1 - Bottom; 11. 10-29-2013 St. 2 - Surface; 12. 10-29-2013 St. 2 - Bottom

DGGE pattern clustering analysis using the unweighted pair-group method with arithmetic means (UPGMA) for samples collected from St. 1 to St. 3 during the 2013 field monitoring campaign. Distinct background colors used to distinguish the months in different clades.
Phytoplankton displayed similar fluctuations at all sampling sites during the study period (Fig. 4C). Phytoplankton abundance ranged from 17 to 3890 cells ml−1 and exhibited a gradually decreasing pattern each year. In addition, Chl-a and phytoplankton displayed similar fluctuation patterns, as shown in Figs 2E and 4C.
Redundancy analysis (RDA) was performed to analyze the relationships between abiotic and biotic factors (Fig. 7). DOC was found to be positively associated with bacterial abundance. Temperature, pH, NO2-, and NO3- also displayed weak positive correlation with bacterial abundance. These results were confirmed via correlation analysis between abiotic and biotic factors (Table 1). The Pearson correlation between DOC and bacteria was 0.625 (p<0.01), while the Pearson correlation between pH and bacteria was 0.291 (p<0.05). However, none of the other factors was significantly correlated with DOC. RDA and Pearson correlation analyses confirmed a strong relationship between DOC concentration and bacterial abundance.

Redundancy analysis (RDA) of field monitoring data for physicochemical and biotic factors. A significant relationship existed between DOC and bacterial abundance. Cumulative percentage variance of the first two axes was 70.64% and 73.79%, respectively.
Correlations between physicochemical and biotic factors measured during field monitoring
| 1 | 2 | 3 | 4 | 5 | 6 | 7 | 8 | 9 | 10 | 11 | 12 | ||
|---|---|---|---|---|---|---|---|---|---|---|---|---|---|
| 1. Bacteria | Pearson Correlation | 1 | |||||||||||
| p value | |||||||||||||
| N | 48 | ||||||||||||
| 2. Phytoplankton | Pearson Correlation | .157 | 1 | ||||||||||
| p value | .287 | ||||||||||||
| N | 48 | 54 | |||||||||||
| 3. Temperature | Pearson Correlation | .206 | .050 | 1 | |||||||||
| p value | .160 | .718 | |||||||||||
| N | 48 | 54 | 54 | ||||||||||
| 4. Salinity | Pearson Correlation | -.098 | -.150 | -.185 | 1 | ||||||||
| p value | .510 | .279 | .179 | ||||||||||
| N | 48 | 54 | 54 | 54 | |||||||||
| 5. DO | Pearson Correlation | .015 | .546(1) | -.443(2) | -.358(3) | 1 | |||||||
| p value | .918 | .000 | .001 | .008 | |||||||||
| N | 48 | 54 | 54 | 54 | 54 | ||||||||
| 6.pH | Pearson Correlation | .291* | .009 | .459(4) | .067 | -.170 | 1 | ||||||
| p value | .045 | .948 | .000 | .631 | .218 | ||||||||
| N | 48 | 54 | 54 | 54 | 54 | 54 | |||||||
| 7. DOC | Pearson Correlation | .625(5) | -.056 | .103 | -.298 | .108 | -.036 | 1 | |||||
| p value | .000 | .781 | .609 | .131 | .593 | .859 | |||||||
| N | 27 | 27 | 27 | 27 | 27 | 27 | 27 | ||||||
| 8. PO43- | Pearson Correlation | -.208 | -.357 | -.057 | -.555(6) | .107 | -.016 | .092 | 1 | ||||
| p value | .299 | .067 | .778 | .003 | .595 | .938 | .647 | ||||||
| N | 27 | 27 | 27 | 27 | 27 | 27 | 27 | 27 | |||||
| 9. NH4+ | Pearson Correlation | .268 | -.270 | .549(7) | -.295 | -.336 | .103 | .511(8) | .026 | 1 | |||
| p value | .176 | .174 | .003 | .135 | .087 | .608 | .006 | .897 | |||||
| N | 27 | 27 | 27 | 27 | 27 | 27 | 27 | 27 | 27 | ||||
| 10. NO2− | Pearson Correlation | -.007 | -.263 | .476(9) | -.215 | -.303 | .281 | -.020 | .443(10) | .157 | 1 | ||
| p value | .973 | .184 | .012 | .281 | .124 | .156 | .920 | .021 | .435 | ||||
| N | 27 | 27 | 27 | 27 | 27 | 27 | 27 | 27 | 27 | 27 | |||
| 11. NO3− | Pearson Correlation | -.020 | -.224 | .340 | -.458(11) | -.087 | .146 | .092 | .793(12) | .217 | .583(13) | 1 | |
| p value | .922 | .262 | .082 | .016 | .667 | .468 | .649 | .000 | .277 | .001 | |||
| N | 27 | 27 | 27 | 27 | 27 | 27 | 27 | 27 | 27 | 27 | 27 | ||
| 12.SiO4− | Pearson Correlation | -.120 | -.378 | .498(14) | -.203 | -.340 | .348 | .007 | .545(15) | .281 | .827(16) | .734(17) | 1 |
| p value | .551 | .052 | .008 | .311 | .082 | .075 | .971 | .003 | .156 | .000 | .000 | ||
| N | 27 | 27 | 27 | 27 | 27 | 27 | 27 | 27 | 27 | 27 | 27 | 27 | |
Matter cycling is an important process, which helps to understand marine productivity mechanisms (Fuhrman 1992; Schneider, Schmittner 2006; Verity, Smetacek 1996). Bacteria play an important role in matter cycling in marine ecosystems through decomposition of organic matter and transfer of energy to higher trophic levels (Larsson, Hagström 1979). Dissolved organic carbon (DOC) is considered to be the main source of organic matter that affects bacteria in marine ecosystems (Fuhrman 1992). Therefore, numerous studies have been performed to better understand the relationships between DOC and bacterial community structure and productivity mechanisms in marine ecosystems. However, environmental factors, which may be closely related to DOC dynamics, have not been explored to a similar extent. Therefore, we investigated the relationships between DOC, bacteria, phytoplankton and environmental factors. In addition, we discuss the factors that may cause bacterial community changes and influence the DOC dynamics in the coastal waters of Incheon, Korea.
Bacterial growth is affected by various abiotic (temperature, pH, nutrient concentrations, etc.) and biotic (phytoplankton, heterotrophic nanoflagellates, ciliates, etc.) factors (Cotter, Hill 2003; Gonzalez et al. 1990; Kuuppo-Leinikki 1990; Larsson, Hagström 1979; Ratkowsky, et al. 1982). Among these factors, organic carbon is known to directly trigger the bacterial growth (Eiler, et al. 2003; Sundh 1992). Non-living organic carbon, which is estimated to be much more abundant than the living component, exists in marine ecosystems primarily in the DOC form rather than in the particulate organic carbon (POC) (Falkowski, Raven 2007). During the study period, bacterial abundance changes were followed by DOC concentration fluctuations (Figs 4A-B). These changes were determined to be statistically significant via RDA and Pearson correlation analyses (Fig. 7 and Table 1). In addition, we analyzed the bacterial community structure from August to October 2013 using DGGE analyses to better understand the effects of DOC on bacteria (Figs 5 and 6). Cluster analysis of DGGE profiles identified two clades (Fig. 6). One of the clades was isolated in August when the DOC concentration was high, with values of 2646.0 μg C l−1 and 2712.0 μg C l−1 at St. 1 and St. 2, respectively. The second clade was composed of samples (September and October) collected when DOC concentrations were lower, ranging from 1339.5 μg C l−1 to 1613.0 μg C l−1. These results imply that the increase in DOC had a significant effect on the bacterial abundance and community structure in the coastal waters of Incheon, Korea.
DOC may significantly affect the bacterial community and during our study its concentration was on average 1563.5 μg C l−1, with a peak in August 2013 (Fig. 4B). Various pathways can affect DOC concentrations in marine ecosystems, including: i) DOC transportation by water flow from rivers (Findlay 2005), ii) DOC from phytoplankton (Thornton 2014), and iii) introduction from terrestrial soil (Garnett et al. 2000). DOC is the major form of organic matter transported by large rivers, and this represents an important carbon transport process from terrestrial to coastal systems (Findlay 2005). The amount of freshwater that can deliver various nutrients and DOM (Park et al. 2008) into the coastal sea of Incheon increases abruptly during the Korean rainy season, causing a salinity decrease at Incheon (Yoon, Woo 2013). In this study, the salinity decreased abruptly in December 2012 and August 2013 (Fig. 2B). According to weather data from the Korean Meteorology Administration, heavy snow and rain occurred on December 5, 2012 (~8.6 mm) and August 23, 2013 (~42.9 mm). Our sampling period was between December 6, 2012 and August 27, 2013. Notably, a DOC peak was observed in August 2013. In addition, the DOC concentration was relatively high at St. 1 and 2 during December 2012 compared to May 2012. These results imply that an influx of freshwater from river runoff may contribute to an increase in DOC in Incheon coastal waters. However, no major salinity decrease was observed during the DOC concentration increase in October 2014, suggesting that the increased DOC was not caused solely by the influx of freshwater into the coastal waters of Incheon.
Thornton (2014) reported that phytoplankton represent a major DOC source in the water column. Therefore, phytoplankton blooms may also affect DOC concentrations (Morrow et al. 2011; Smith et al. 2006; Smith et al. 1997). Eutrophic conditions generally occur in the western coastal region of Korea due to large tidal magnitudes and various pollution sources (Park, et al. 1999). Park et al. (1999) observed that the N:P ratio tended to increase during the summer and decrease during the winter, which agrees with the results of our study. In general, nutrients are important growth factors for marine phytoplankton. According to the results of the previous study (Tyrrell 1999), the PH (half-saturation constant for phytoplankton growth vs. [PO3]) and NH (half-saturation constant for phytoplankton growth vs. [NO3−]) values are 0.03 μM and 0.5 μM, respectively. In this study, the phosphorus and nitrogen concentrations of almost all samples were higher than the above PH and NH values. In addition, based on water quality standards (Chen et al. 2002), eutrophication standard for dissolved inorganic nitrogen (DIN) was more than 0.2-0.3 mg l−1 (>14.2789 μM) and for dissolved inorganic phosphorus (DIP) -more than 0.01-0.02 mg l−1 (>0.6457 μM). Based on the DIN and DIP means reported by Park et al. (1999), Kyunggi Bay (Incheon coastal waters) experienced a transitional stage from eutrophic to hypereutrophic waters. We also observed eutrophic water conditions in December 2012 and in May, September, and October 2013. Therefore, this study confirms that the Incheon coastal waters of Korea are continuously experiencing high nutrient conditions, which favor the phytoplankton growth. However, no correlation was observed between increased DOC and increased phytoplankton in our study, such as in April 2013 and August 2014. Moreover, the DOC peaked in August 2013, while a similar fluctuation pattern was not observed for phytoplankton abundance (Fig. 4B-C). Therefore, as it appears from the results of our study, phytoplankton abundance cannot be considered a direct cause of increased DOC at Incheon. However, a phytoplankton biomass increase or bloom may still increase the DOC concentration due to eutrophic conditions at Incheon. Our phytoplankton dynamics sampling interval was thought to be relatively long (1 month) to study the phytoplankton dynamics. Therefore, a more frequent sampling interval should be used in the future.
Terrestrial ecosystems contain three times more carbon than the atmosphere (Schimel 1995). Additionally, land use practices may increase DOC concentrations in surface waters (Garnett, et al. 2000). However, no major construction projects were located near our sampling sites when the DOC increased in August 2013. Therefore, it is unlikely that the DOC increase in August 2013 was related to this type of allochthonous nutrient input.
In conclusion, as it results from three-year field monitoring, an increase in DOC strongly affected the marine bacterial abundance and community structure in Incheon coastal waters. An increase in DOC is therefore likely to play an important role in microbial ecosystems. DOC concentration was primarily affected by the influx of freshwater into the Incheon coastal waters during the rainy season. However, further studies should include shorter sampling intervals and long-term monitoring of environmental factors to better understand the DOC dynamics in marine environments.
p<0.01
p<0.01
p<0.01
p<0.01
p<0.01
p<0.01
p<0.01
p<0.01
p<0.01
p<0.01
p<0.01
p<0.01
p<0.01
p<0.01
p<0.01
p<0.01
p<0.01