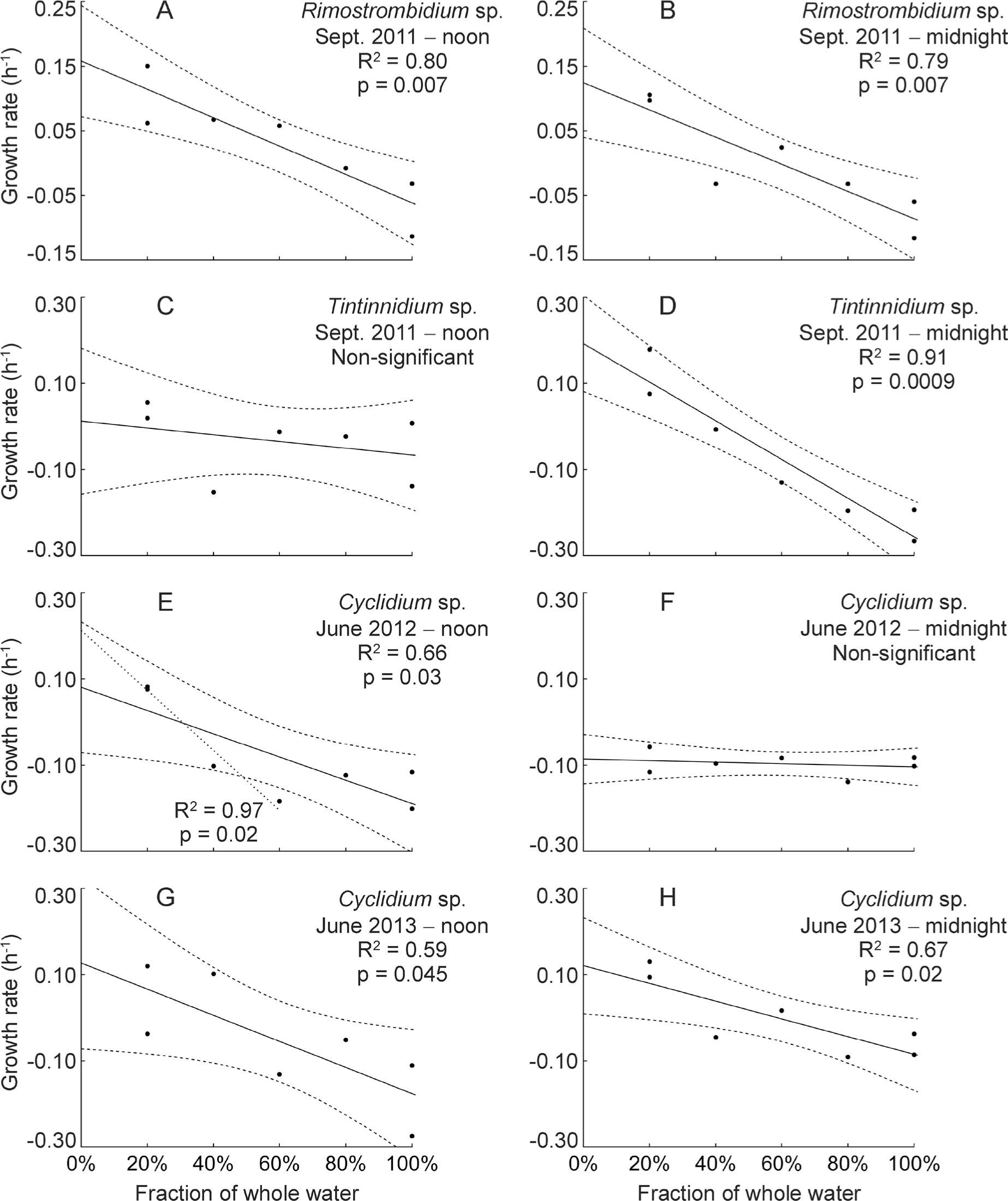
Figure 1

Figure 2

Environmental conditions and food resources during experiments carried out in highly eutrophic Lake Gardno_ Mean values for the incubation of whole water and 20% dilution were calculated for bacterial and flagellate abundances (see Materials and Methods)_ In the case of chlorophyll a concentration, values for whole water and 10-μm filtrates are provided, because only such small algae (up to 10 μm) represented the available food resource for the ciliates studied_
| Experiment | Temp.(°C) | Salinity(PSU) | Ciliates(cells ml1) | Chlorophyll a (μg l-1) | Bacteria (106 cells ml1) | Nanoflagellates (103 cells ml1) | ||||
|---|---|---|---|---|---|---|---|---|---|---|
| whole water | 10-μm filtrate | whole water | 20% dilution | whole water | 20% dilution | |||||
| 21–22/09/2011 | midnight | 15.6 | 0.59 | 67.3 | 60.9 | 7.03 | 7.04 | 5.22 | 18.7 | 11.2 |
| 22/09/2011 | noon | 15.4 | 0.67 | 42.2 | 61.9 | 6.28 | 5.89 | 3.26 | 19.3 | 16.9 |
| 13/06/2012 | noon | 20.0 | 0.92 | 118 | 50.3 | 9.17 | 8.76 | 7.87 | 20.3 | 14.6 |
| 13–14/06/2012 | midnight | 21.1 | 0.84 | 119 | 33.8 | 6.89 | 9.76 | 9.14 | 16.0 | 12.8 |
| 28–29/06/2013 | midnight | 18.4 | 0.17 | 307 | 45.3 | 7.58 | 16.4 | 14.9 | 18.1 | 15.5 |
| 29/06/2013 | noon | 18.2 | 0.18 | 423 | 46.8 | 8.69 | 12.7 | 10.7 | 16.6 | 15.4 |