BaTiO3 (BT) is a typical ABO3 perovskite structure ferroelectric material that can transform through the cubic paraelectric, ferroelectric tetragonal, orthorhombic and triangular phase for temperature in descending order. NaNbO3 has a perovskite-like structure with antiferroelectric phase at room temperature, and it undergoes a transition to a ferroelectric phase at a temperature of 170 K [1].
Heterovalent ionic substitution in BT at A- and B-sites at lower doping content (x ~ 0.05) leads to relaxor ferroelectric behavior and diminishes ion vacancies by electric neutral balance [2, 3]. Yoon et al. [4] proposed that the effect of Nb doping in BT is related to dopant concentration, and 0.4 mol% to 0.5 mol% is a critical concentration. Below this concentration, a sample has larger electronic conductivity, while above this concentration, it produces cation defects by donor doping. Since the energy level of Ba defects is deeper than that of Ti defects, higher donor doping will form Ti defects in ferroelectric ceramics. An increase in cation defect concentration can give rise to a decrease in the electron concentration and if the grain size is below 1 μm, diffusion of the defects from the grain boundary to the center may lead to enhanced insulation on the boundary under higher sintering temperature [4]. In order to better balance the non-stoichiometric effect caused by Nb doping, appropriate acceptor doping is seriously taken into account.
The development of BaTiO3-based high dielectric-constant-materials is necessary for potential applications [5]. Abdelkefi et al. [6] presented a detailed report on xNaNbO3–BaTiO3 solid solution (x ranging from 0.025 to 0.8) but there has been rarely reported about the dielectric properties of xNaNbO3–BaTiO3 when x is less than 0.01, in particular the critical concentration of 0.4 mol% to 0.5 mol%. The present work explores the dielectric properties of NaNbO3 doped BaTiO3 ceramics with different concentrations ranging from 0.30 mol% to 0.45 mol%, with a special emphasis on 0.40 mol% NaNbO3–BaTiO3 ceramics, its preparation process, microstructure and dielectric properties. The XPS method was used to test the valence changes for the host elements and an appropriate mechanism was also explored.
NaNbO3-doped BaTiO3 (NN-BT) ceramic specimens were prepared by conventional solid-state reaction route using starting materials BaCO3, TiO2, Na2CO3 and Nb2O5 with analytical grade. The powders were weighed according to the stoichiometric ratios and ball milled for 10 h in an agate mortar. The mixed powders were dried and calcined at 1050 °C for 2 h, and then milled for 5 h. The reground powders were pressed into pellets of 1.5 mm thickness and 12 mm diameter. The pressed pellets were sintered from 1250 °C to 1290 °C for 2 h (10 °C as sintering temperature interval). The silver paste was painted on both sides as electrodes to provide ohmic contacts after the sintered samples were cleaned in distilled water. Finally, the painted samples were fired at 580 °C for 15 min. The samples were prepared by adding NaNbO3 at the amounts of 0.30 mol%, 0.35 mol%, 0.40 mol% and 0.45 mol%. Crystal structures of ceramic samples were analyzed by X-ray diffraction (XRD-6000, Japan) at room temperature using CuKα (λ = 15.406 nm) radiation. The microstructure was evaluated by scanning electron microscopy (S-5750, Hitachi, Tokyo, Japan) on the polished and thermally etched surfaces. X-ray photoelectron spectroscopy (XPS) measurements were performed with VG-Scientif ESCALAB Mk200X machine. The XPS test data were processed using XPSpeak41 software. The dielectric characteristics were measured by a HP4192A impedance analyzer from −40 °C to 140 °C.
NaNbO3 can incorporate into BaTiO3 lattice in a large proportion to form NaxBa1−xTi1−xNbxO3 solid solution. However, sodium ions have a tendency to accumulate on the grain surfaces at higher temperatures [7]. Pure NaNbO3 grains with a size of 2 µm can be formed only at sintering temperature of 1200 °C [8]. Therefore, the sintering temperature was controlled between 1250 °C to 1290 °C to form a solid solution of NaNbO3.
Fig. 1 shows the dielectric constants of the NNBT ceramics sintered at 1260 °C with 0.30 mol%, 0.35 mol%, 0.40 mol%, and 0.45 mol% NaNbO3 content at 1 kHz. The samples of BT doped with 0.35 mol% and 0.40 mol% NaNbO3 have larger dielectric constants, therefore for general considerations the doping content of 0.40 mol% NaNbO3 was chosen to be investigated in detail.

Temperature dependence of dielectric constant of NN-BT ceramics with different NaNbO3 contents, sintered at 1260 °C and measured at 1 kHz.
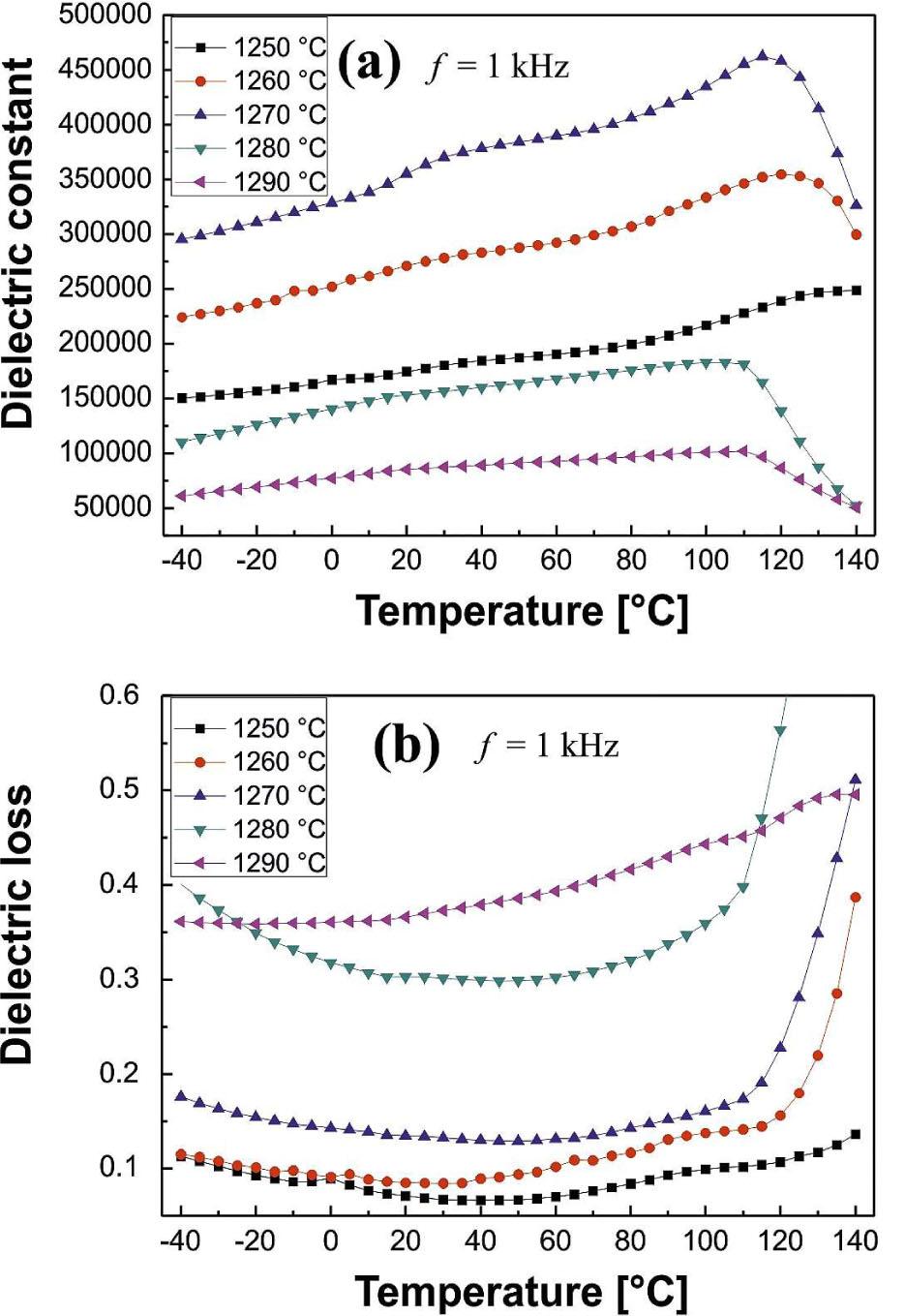
Fig. 2 demonstrates dielectric permittivity versus temperature of 0.40 mol% NN-BT ceramics at different sintering temperatures measured at 1 kHz. The dielectric constant increases with sintering temperature from 1250 °C to 1270 °C and the peak value of dielectric constant of the sample sintered at 1270 °C is 4.5 × 105 as shown in Fig. 2a, while the dielectric loss (Fig. 2b) is less than 0.2 at temperature range from −40 °C to 100 °C. For the sample of NN-BT sintered at 1250 °C, the dielectric constant is only half of the value of the sample sintered at 1270 °C, the temperature coefficient of capacity ∆C/C ranges from −15.4 to +16.7 in the temperature range of −40 °C to 90 °C and the dielectric loss is also almost half of the sample sintered at 1270 °C. When the sintering temperature is higher than 1270 °C, the dielectric constant of NN-BT samples decreases rapidly, and dielectric loss increases significantly.

Temperature dependence of dielectric permittivity of NN-BT ceramics at different sintering temperatures measured at 1 kHz. (a) real part, (b) dielectric loss.
All the samples exhibit double peak shape which is shown in Fig. 2a. The main peak of the samples is at the phase transition temperature of about 115 °C, and another one is at about 30 °C. For the NN-BT sample sintered at 1270 °C, the peaks of dielectric constants are 4.6 ×105 and 3.7 × 105, while the peaks of dielectric losses are 0.13 and 0.19, respectively.
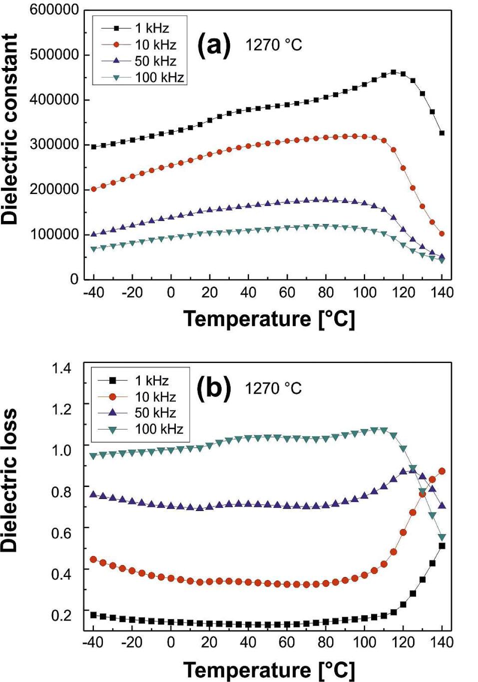
Fig. 3a and Fig. 3b represent the dielectric constant and dielectric loss versus temperature at different frequencies for the sample sintered at 1270 °C. There is a large decrease in dielectric constant and increase in dielectric loss with frequency in the sample sintered at 1270 °C. When the frequency increases from 1 kHz to 100 kHz, the value of dielectric constant decreases from 450000 to 100000 and the dielectric loss increases from 0.2 to 1.0 at Curie temperature (115 °C). The double peak phenomena appear in both dielectric constant and loss curves leading to good temperature stability of the sample.

Temperature dependence of dielectric permittivity for the 1270 °C sintered NN-BT ceramics at different frequencies (a) real part of permittivity, dielectric loss.
The variation of dielectric constant can be explained by compensation mechanisms of electronic and ionic compensation for higher concentration of Nb than that of Na in the grains. The electronic compensation mechanism can be described:
Ionic compensation can be cation vacancies either on A or B site as:
Reaction described by equation 1 is a result of Nb donor doping producing semiconducting grains. Giant dielectric constant of NN-BT samples below the phase transition temperature as shown in Fig. 1 is due to the barrier layer between semiconducting grain and the insulating grain-boundary at low NbNaO3 contents. NbNaO3 content exceeding 0.4 % and higher sintering temperature (above 1270 °C) generate cation defects by ionic compensation, following reaction 2, and trap electrons [4]. Desu and Payne [9] derived schematic diagrams that presented the variance of defect concentration with an increase in donor concentration in donor doped BaTiO3. In the diagram, the critical donor concentration appeared beyond the concentration where the electron trap became larger than the electron concentration. Cation defects can reduce electronic concentration, reducing dielectric constant.
The effect of dramatic decrease in dielectric constant and increase in dielectric loss at temperatures higher than the phase transition temperature is explicitly due to the relative displacement of Ti ions in Ti–O octahedron. Park et al. [10] proposed that dielectric phase transition and low-temperature peaks correspond to the grain core and grain shell ferroelectric-paraelectric phase transitions, respectively. When the sintering temperature is low, the higher proportion of Na+ and Nb5+ ions in the grain boundary dominates the dielectric effect. When the sintering temperature rises, more ions incorporate into the BaTiO3 ceramics to form uniform distribution of Na+ and Nb5+ ions. The doping amount of 0.40 mol% NaNbO3 also gives rise to a maximum mobility of Na+ and Nb5+ ions at the grain boundary [11]. The uniform distribution of heterovalent substitution of Na+ and Nb5+ ions for the host ions produces an internal electric field which increases displacement of Ti4+ and influences the chemical environment of host ions, Ba2+ and Ti4+. When temperature rises above 1280 °C, the segregation of Na+ on the surface of NN-BT grains can influence the dielectric constant and dielectric loss.
Fig. 4 shows the XRD results of 0.40 mol% NN-BT ceramics sintered at 1250 °C to 1290 °C. At the bottom of the figure the data of JCPDF831880, tetragonal phase BaTiO3, are depicted with short dotted lines. Comparing with standard spectroscopy of the JCPDF-831880, the calcined powder shows almost the same peaks of tetragonal phase, while the peaks of the ceramics sintered above 1250 °C exhibit a shift to left, corresponding to the increase of lattice constants. There is an additional peak occurring at 2θ of 28° for the samples sintered above 1280 °C. Due to the larger mobility at high temperatures, the sodium ions are supposed to precipitate on the grain surface, which affects the results of XRD.

X-ray diffraction patterns of NN-BT ceramic samples.
Fig. 5a shows the grain distribution of the NN-BT ceramics sintered at 1250 °C. The average size of the grains is less than 0.4 µm with dense areas, which is due to the melting of NaNbO3 at 1460 °C. Fig. 5b shows that when sintering is carried out at temperature of 1260 °C the shape of the grains is clearer and part of the regions appear overgrown. When the sintering temperature is equal and higher than 1270 °C, the white substance on the grain surface begins to precipitate, forming white spots as shown in Fig. 5c. With the rise of temperature (1280 °C and 1290 °C), the precipitate density increases, and the grains grow uniformly as indicated in Fig. 5d and Fig. 5e. Comparing with the results of XRD, the white precipitate material may correspond to the small peak at 28° in the XRD patterns.

SEM images of cross-sections of NN-BT ceramic samples sintered at (a) 1250 °C, (b) 1260 °C, (c) 1270 °C, (d) 1280 °C and (e) 1290 °C.
Two 0.40 mol% NN-BT samples sintered at 1250 °C and 1270 °C were tested by XPS method as shown in Fig. 6. The XPS results show that Ti 2p photoelectron spectra of the both samples confirm the binding energy of Ti4+ without appearing the sub-peaks of Ti3+. In O 1s photoelectron spectra of the both samples, a large number of O2− ions lost one electron to form oxygen O− ions. There are two possible reasons for this phenomenon: one is that an electron from O2− ion has been provided to other ion, increasing the oxygen ionic radius; the second reason is oxidizing of the sample surface by adsorbed oxygen ions, revealed in the XPS test [12].

XPS of NN-BT samples sintered at 1250 °C and 1270 °C: (a) Ti 2p, (b) O 1s, (c) Ba 3d.
The double peaks appearing in Fig. 6c belong to Ba3d. For Ba3d electron energy distance between two peaks is about 15 eV, i.e. approximately the binding energy difference of Ba2+ to capture an electron [13]. In order to maintain electrical neutrality for precipitation of sodium ions, Nb ion at Ti site provides an electron to the nearest neighbor of the Ba ion. In addition, Ba2+ ions can bind with neighboring Ti–O octahedron or an electron in oxygen vacancies to form a weakly bound effect of Ba2+ − e (or Ba+) in high-energy electron bound states. Ionic radius of Ba+ is larger than that of Ba2+, and, therefore, a large number of Ba+ ions may also lead to an increase in the lattice constant.
In the paraelectric high-temperature zone of barium titanate ceramics, the ions form a long-range correlation, and thermal fluctuations among the ions lead to instantaneous dipole moments with a lower dielectric constant. In the ferroelectric phase, positive and negative ions are in the off-center symmetric position, and the symmetry breaking enhances the role of short-range correlation. Very small amount of impurity doping strengthens the role of such short-range to form polarized region. Polarized electric field with the emergence of the region changes the ion energy levels, i.e. the shallow bound levels occur. The donor doping introduces conduction band electrons which may be bound by A site Ba2+ ions, increasing Ba2+ − e (or Ba+) ions concentration. The electrons hopping from one Ba+ to another Ba2+ ion can increase conductivity of the ceramics.
CaCu3Ti4O12 (CCTO) is a kind of giant dielectric constant material with larger loss in paraelectric state. As the temperature decreases, the dielectric constant of CCTO declines without detectable changes in the structure [14]. A large number of studies have found that oxygen concentration greatly affects its dielectric properties.
Oxygen vacancies introduced during high-temperature sintering increase the number of polarons, and form Ti3+–O–Ti4+ “order-disorder” structures [15]; Ti3+ leads to the emergence of Ti–O octahedron tilt or twist [16].
The difference in the CCTO is that the giant dielectric constants of NN-BT ceramics exist only in the ferroelectric phase, accompanied by a sharp decline of dielectric constant in the phase transition region. In addition, the valence state change is due to the formation of high-energy electronic state of Ba+ (or Ba2+ − e) by Ba2+ obtaining an electron rather than by the formation of Ti4+ → Ti3+ . In the perovskite structure, Ti–O octahedron is prone to tilt or twist, so that the Ti–O octahedral tilting in CaTiO3 [17] leads to intermediate energy states within the band gap which are mainly responsible for PL emission [18]. The XPS results imply that Ba2+ ion is more prone to capture electrons than Ti4+ when Ti4+ ions deviate from the equilibrium center. Two peaks were found in the giant dielectric constant of Sr (Fe1=2Nb1=2) O3 ceramics. The low temperature peak is inferred to come from electronic ferroelectricity caused by ordered arrangement of Fe2+ and Fe4+ ions. Compared with ion ordering induced ferroelectricity, charge ordering causes electronic ferroelectricity showing strong frequency dispersion [19] and an increase of polar domains [20]. Therefore, if Ba2+ and Ba+ ions are arranged orderly due to appropriate doping of impurities, electronic ferroelectricity occurs in the NN-BT samples. Under the applied electric field, weakly bound electrons are easy to be stimulated to hopping conductivity, while the grain boundaries maintain insulation. Due to Maxwell-Wagner interface, a barrier between semi-conducting grain and insulating grain boundary appears [21], which results in large dielectric constant.
NN-BT ceramics sintered at a temperature of 1270 °C showed the maximum dielectric constant of 4.5 × 105 and dielectric loss less than 0.2 at temperatures between −40 °C to 100 °C and frequency of 1 kHz. Although the sample sintered at 1250 °C had the dielectric constant lower than that sintered at 1270 °C it was more stable in temperature range of −40 °C to 90 °C. The 0.40 mol% NaNbO3– BaTiO3 ceramics sintered at temperatures from 1250 °C to 1290 °C was studied using XRD, SEM and XPS. XRD results showed that the ceramics had a tetragonal perovskite structure. With increasing sintering temperature, sodium ions precipitated in the surface gradually as shown in SEM images. XPS measurements of two NN-BT samples showed that the peak of binding energy belonging to Ti2p has not changed, i.e. Ti3+ ions have not appeared, while the peak of Ba3d of binding energy shifted to a lower value, which indicates a combination of Ba2+ and e−.