The layered structure cathode materials LiMO2 (M = Co, Ni and Mn) are intensively studied, because of their high energy density, large discharge capacity and low cost [1–3]. In general, cathode materials are characterized by high oxidation potential, long cycle life, good reversibility of reaction, good electronic and ionic conductivity; they are non-soluble in electrolytes and structurally stable for repeated charging/discharging processes [4, 5]. The LiCoO2 has been the most widely used cathode material in commercial lithium ion batteries. However, it causes many problems such as high toxicity, high cost, low practical capacity, etc. [6–8]. Therefore, alternate cathode materials with low cost and non-toxicity have been studied in recent years. LiNiO2 is superior to LiCoO2 due to its low cost and toxicity in high power and large scale energy storage applications, such as mobile phones, laptops and electric tools. So, LiNiO= is a promising alternative to LiCoO2. Studies on cationic substitution, including Fe, Mn, Al, Mg, Co/Al and Co/Mg for Ni are an attempt to stabilize the layered structure of the material [9–15]. In the electronic stabilization approach, Mn is partially substituted by Ni in equal concentration, such as 1:1 in LiNi0.5Mn0.5O2 compound. Ni is found to be at +2 oxidation state and Mn at +4 oxidation state, thus eliminating the adverse effects of John-Teller distortion prone Mn3+ ions. The sol-gel method, solid-state reaction method, co-precipitation method, combustion method and emulsion method have been reported for the synthesis of LiNi0.5Mn0.5O2[16–18]. Among all the methods used for the synthesis of LiNi0.5Mn0.5O2, the sol-gel method has some advantages such as good stoichiometric control, production of sub-micronized particles and lower calcinations temperature.
In this work, the sol-gel method has been used for the synthesis of LiNi0.5Mn0.5O2 cathode materials at 800 °C for 20 hours and the obtained compound has been systematically characterized. The main emphasis has been focused on the study of conduction mechanism and dielectric behavior. From the conductivity studies, various important parameters such as activation energy, modulus, relative dielectric constant, etc., were estimated and the results were discussed.
LiNi0.5Mn0.5O2 cathode materials were synthesized by using sol-gel method, from stoichiometric amounts of CH3COOLi·2H2O (AR), Ni(NO3)2·6H2O (AR) and C4H6MnO4·4H2O (AR) which were dissolved in distilled water. The aqueous solution of citric acid, which was acting as a chelating agent, was added to the mixture of the metal ion solution according to their molar ratio of 1:1. At the same time, an ammonia solution, as a precipitation agent was separately added. The reaction temperature was kept at 80 °C and pH was controlled by ammonia solution to the value of 8 to 9. The solutions were added together under stirring at 130 °C for 10 hours, forming sol solution. The sol solution was vaporized at 130 °C till the dry gel was formed, followed by the heat treatment at 500 °C for 6 h in air with a 5 °C/min heating rate to eliminate the organic residues. The powders were thoroughly ground and then calcined at 800 °C for 20 hours in air to obtain the required compounds. The powder samples added with polyvinyl alcohol (PVA) as a binder were ground and then pressed at 5 tons pressure for 6 minutes into a circular disk shaped pellet. The pellet was then sintered at 800 °C for 20 h in air at heating and cooling rates of 5 °C/min. The surface layers of the sintered pellet were carefully polished and washed with acetone and then the pellet was coated with silver paste on the opposite faces, which acted as electrodes.
The powder X-ray diffraction (XRD) data of the sample were collected on a Rigaku CuKα diffractometer with diffraction angles of 20° to 80° in increments of 0.02°. The unit cell lattice parameter was obtained by the least square fitting method from the d-spacing and (h k l) values. Further, the crystallite size of the sample was obtained from XRD pattern by applying Scherrer’s equation. The particle morphology of the powder was observed using a field effect scanning electron microscopy image taken from Carl Zeiss, EVOMA 15, Oxford Instruments, Inca Penta FETx3.JPG. Fourier transform infrared (FT-IR) spectra were obtained on a Shimadzu FT-IR-8900 spectrometer using a KBr pellet technique in the wave number range between 350 cm−1 and 800 cm−1. The impedance study was performed by a Hioki 3532-50 LCR Hitester in the frequency range of 42 Hz to 1 MHz at the temperature range from room temperature to 120 °C.
The XRD spectrum of the LiNi0.5Mn0.5O2 material prepared by sol-gel method at 800 °C for 20 hours is shown in Fig. 1. The XRD spectrum can be indexed based on the α-NaFeO2 structure with a space group R

XRD pattern of LiNi0.5Mn0.5O2 prepared by sol-gel method.
Lattice parameter, unit cell volume, I003/I104 and R-factor of LiNi0.5Mn0.5O2 sample.
| Compound | a [Å] | c [Å] | c/a | Cell volume [Å]3 | I003/I104 | R-factor ((I006+I102)/I101) | Crystallite size [nm] |
|---|---|---|---|---|---|---|---|
| LiNi0.5Mn0.5O2 | 2.8798 | 14.3406 | 4.9797 | 102.9982 | 1.4891 | 0.20598 | 1.9526 |
| LiNi0.5Mn0.5O2[25, 26] | 2.887 | 14.262 | 4.94 | 118.87 | – | – | – |
The structure of lattice parameters for LiNi0.5Mn0.5O2 of the synthesized compound is shown in Table 1. The intensity ratio of I(003)/I(104) is 1.49, which is a qualitative measure of the better battery performance of the synthesized compound [25, 26]. The c/a value for the LiNi0.5Mn0.5O2 is > 4.94 indicating that the phases possess the hexagonal layer structure, similar to pristine LiNiO2[27–29]. It was also found that the density of the sintered pellet is 82 % of the theoretical density.
Fig. 2 shows the FESEM photographs of the synthesized LiNi0.5Mn0.05O2 cathode material. The FESEM image reveals that the material is comprised of well crystallized particles with no obvious aggregation and well-shaped, smooth crystals with sharp edges morphology [30–33]. As seen in Fig. 2 the aggregated particles of the material are spherical in shape, having a diameter of 10 µm. The cathode powders prepared from the spray solution without additives have irregular morphologies. Since we have been interested in the structural changes of the cathode material upon electrochemical cycling therefore these important steps were thoroughly studied [34–36].

FESEM image of LiNi0.5Mn0.5O2 powder.
The mode of vibrations for LiNi0.5Mn0.5O2 in the regions between 400 cm−1 to 1200 cm−1 is depicted in Fig. 3. The FT-IR spectra show the local structure of the oxide lattice constituted by LiO6 and MO6 octahedral [37]. The peaks at 512 and 615 cm−1 are the bending modes of Ni–O in MO6, and the band at around 431 cm−1 can be assigned to the asymmetric stretching of Li–O in LiO6 environments [38, 39]. The FT-IR wavenumber variations of the compound are listed in Table 2. All the values are in good correlation with the previous results.
FT-IR wavenumbers variation of LiNi0.5Mn0.5O2 sample.
| Source | Wavenumbers [cm−1] | |||
|---|---|---|---|---|
| authors | 421.4644 | 477.4024 | 512.0154 | 615.248 |
| [37] | – | 474 | 532 | 597 |

FT-IR graph of LiNi0.5Mn0.5O2 sample.
In impedance technique, the real and imaginary parts of the impedance of a sample are measured simultaneously as a function of frequency. The measured impedance data can be represented in different forms, using the interrelations as follows:
Complex impedance
Complex modulus
where
On the Nyquist plot shown in Fig. 4, Z′ is the real part of the impedance and Z″ is the imaginary part of the impedance. Each semicircular arc begins from lower frequency to the right direction of the Z′-axis and ends in the left direction of Z″-axis at higher frequencies. The obtained curves appear in the form of single semicircles with small spikes at lower frequencies and the depressed semicircles correspond to the bulk conduction, whereas the small spikes are due to the electrode polarization. The proposed system has semicircular Argand plots with the center located below the real axis, precisely indicating the non-Debye relaxation process [40].

Nyquist plots for LiNi0.5Mn0.5O2 material at different temperatures.
Fig. 5a and Fig. 5b show the variation of real and imaginary parts of impedance Z′ and Z″ of the synthesized sample as a function of frequency at different temperatures. It is observed that the Z′ and Z″ values are typically higher at lower frequency regions for different temperatures. The asymmetric broadening of the peaks with an increase in temperature suggests the presence of electrical process in the material with a distribution of relaxation time. This indicates the temperature dependence of electrical relaxation phenomena in the materials [41]. The high value of Z′ and Z″ at lower frequency regions is due to the higher polarization caused by space charge. It is also observed that the values of Z′ and Z″ gradually decrease with increasing frequency and temperature. This indicates an increase in AC conductivity with the rise in temperature and frequency. Here, at low frequency, the value of Z’ decreases with the rise in temperature showing negative temperature coefficient of resistance (NTCR) type behavior, similar to semiconductors [42].

(a) real and (b) imaginary part of impedance of LiNi0.5Mn0.5O2 material as a function of frequency at different temperatures.
The AC conductivity is a very important property of a cathode material. For a better charge transfer process during lithium intercalation-deintercalation in a lithium-ion cell, conductivity plays a significant role. The bulk conductivity has been calculated at various temperatures using the bulk resistance obtained from the analyzed impedance data and the pellet dimensions of the compound. The bulk conductivity (σ) value is calculated using the formula:
where Rb is the bulk resistance of the sample, L is the thickness of the pellet, A is the effective area.
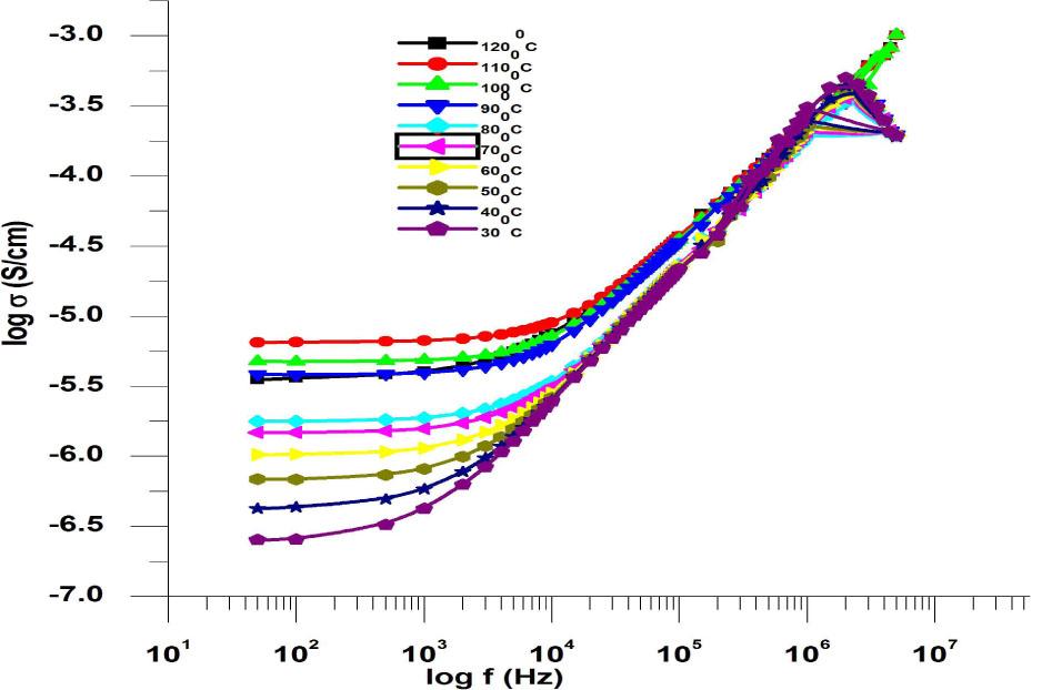
Fig. 6 shows the variation of AC conductivity of the synthesized material as a function of frequency at different temperatures (30 °C to 120 °C). At low frequency, AC conductivity exhibits dispersion and increases with an increase in frequency and temperature [43]. The maximum AC conductivity of the synthesized sample is 1.03 × 10−6 S/cm at 60 °C.

Variation of AC conductivity of LiNi0.5Mn0.5O2 material as a function of frequency at different temperatures.
The activation energies for AC conductivity at different temperature regions were obtained by measuring the slope of the curves and using the Arrhenius relationship:
where σ0 is a pre-exponential factor, Ea is the activation energy, kB is Boltzmann’s constant and T is the absolute temperature. The plots of logσ vs. 1000/T·K are almost linear, obeying the Arrhenius relationship [44]. The activation energy for ionic conduction is found to be 0.281 eV for LiNi0.5Mn0.5O2 compound at 50 Hz.
Fig. 7 shows AC conductivity values varying from 1.03 × 10−6 to 6.87 × 10−7 S/cm for LiNi0.5Mn0.5O2 in the temperature range of 30 °C to 120 °C. The conductivity values are gradually increasing with increasing the temperature up to 120 °C. The AC conductivity values for LiNi0.5Mn0.5O2 have been collected in Table 3 and the values are smaller than those found in other cathode materials. The low activation energy and low conductivity are attributed to a shrinking lattice effect. It is suggested that for smaller lattice dimensions, the decreasing size of the cavities, in which the lithium ions reside, brings these cations closer to M2+ ions. As a result, increased repulsion between Li+ and M2+ reduces the strength of Li–O bonds resulting in lower activation energy and higher conductivity.
AC conductivity values of LiNi0.5Mn0.5O2 sample.
| Temperature [°C] | AC conductivity [S/cm] |
|---|---|
| LiNi0.5Mn0.5O2 | |
| 30 | 2.54×10−07 |
| 40 | 4.24×10−07 |
| 50 | 6.87×10−07 |
| 60 | 1.03×10−06 |
| 70 | 1.47×10−06 |
| 80 | 1.78×10−06 |
| 90 | 3.84×10−06 |
| 100 | 4.75 × 10−06 |
| 110 | 6.54 × 10−06 |
| 120 | 3.52 × 10−06 |

Arrhenius plots of AC conductivity for LiNi0.5Mn0.5O2 material.
The dielectric constant ∊′ is calculated using the following relation:
where ∊0 is the permittivity of free space, C is capacitance, L is the thickness of the pellet, A is the effective area [45].
From Fig. 8 it is observed that the dielectric constant (∊′) decreases with increasing temperature, moreover, it rises sharply towards low frequencies and the shape of the rise is changing as the temperature increases. The increment of dielectric constant (∊′) is rapid at lower temperatures and shows almost frequency independent behavior at higher temperature. At lower frequency regions, the dipoles get sufficient time to orient themselves completely along with the direction of the field, resulting in larger values of ∊′ of the sample [46].

Frequency variation of dielectric constant of LiNi0.5Mn0.5O2 material at different temperatures.
The advantage of the electric modulus formalism is that it suppresses the information about electrode effects. This can also be used to study conductivity relaxation times. The complex modulus is defined as the inverse of the complex permittivity.
The impedance data were converted into electrical modulus by using the relation M′ = ωC0Z′ (real part) and M″ = ωC0Z″ (imaginary part), where C0 = ∊0A/L, A is the area of the sample, L is the thickness of the sample and ∊0 is the permittivity of free space (8.854 × 10−14 F/cm) [47, 48]. The values are shown in Fig. 9.

(a) and (b): real and imaginary part of modulus for LiNi0.5Mn0.5O2 material as a function of frequency at different temperatures.
Fig. 9a shows that M′ values tend to a constant value at higher frequencies, whereas M″ has a peak centered at the dispersion point of M′. It is also clear from Fig. 9b that the value of M″ decreases and shifts toward higher frequencies as temperature increases. The variation of M′ and M″ as a function of frequency shows shifting of the peaks towards the high frequency as temperature increases, which implies that there is a distribution of ionic relaxation time. The shift in frequency of the M″ peak corresponds to the conductivity relaxation phenomenon [49].
In this work LiNi0.5Mn0.5O2 material has been synthesized by sol-gel method at 800 °C for 20 hours. The XRD and FESEM results indicate that the material is made of pure phase corresponding to layered α-NaFeO2 type structure and average particle size is around 10 µm. The FT-IR reveals that the local structure of the oxide lattice is constituted by LiO6 and MO6 octahedra. The impedance analysis of the material indicates the conductivity of the material and AC conductivity values which are found to be 6.54 × 10−6. The AC conductivity obeys the Arrhenius law with activation energy 0.281 eV. The fitting data of EIS plots replicate the non-Debye relaxation process with negative temperature coefficient of resistance (NTCR) behavior.