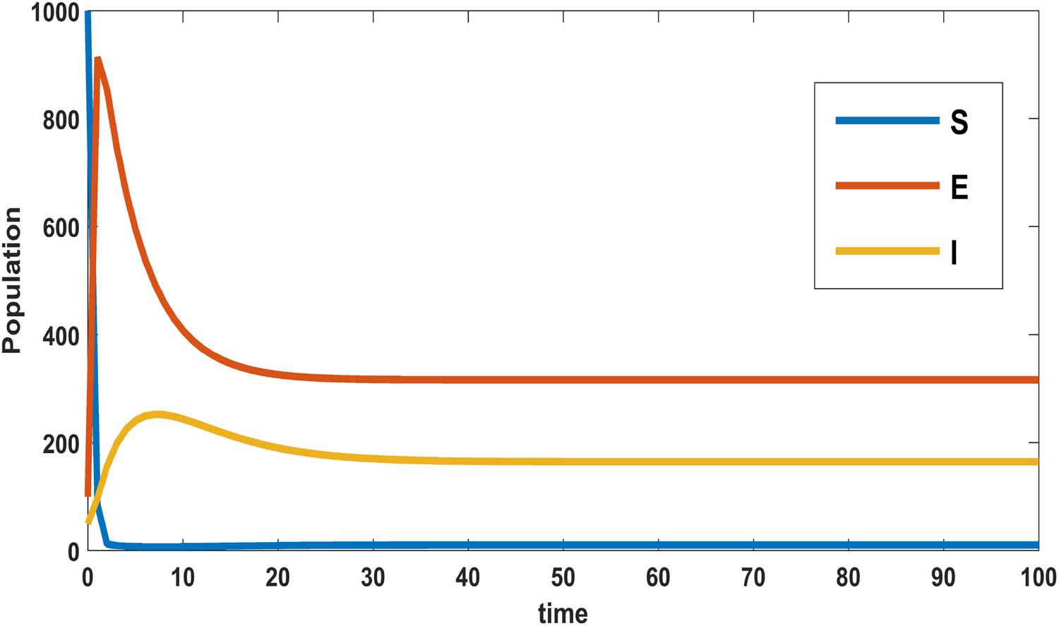
Figure 1

Figure 2

Figure 3

Figure 4

Figure 5

Figure 6

Figure 7

Figure 8

Figure 9

Figure 10

Figure 11

Parameter values
| Symbols | Values | Source |
|---|---|---|
|
| 2 | [10] |
|
| 0.05 | [10] |
|
|
| [10] |
|
| 0.1 | [10] |
|
|
| [28] |
|
| 0.795 | [10] |
|
| 0.56 | [10] |
|
|
| [39] |
|
| 0.0115 | [39] |
|
| 0.062 | [34] |
|
| 0.09 | [39] |
|
| 0.0018 | [39] |
|
| 0.05, 0.0714 | [39] |
Meanings of the parameters
| Parameters | Biological meaning |
|---|---|
|
| Natural birth rate of cells |
|
| Birth rate of human population |
|
| Burst rate of the virus |
|
| Natural death rate of human population |
|
| Natural death rate of cells |
|
| Natural death rate of virus |
|
| Infection rate of exposed population |
|
| Infection rate of susceptible cell |
|
| Recovery rate of the exposed and infected human population |
|
| Transmission rate of the susceptible human population |
|
| Rate at which the infected cells are cleared by the individual immune response |
|
| Rate at which the virus particles are cleared by the individual immune response |
|
| Death rate of the infected human population |
Elasticity indices of R 0 {R}_{0}
| Parameters | Elastic index | Value |
|---|---|---|
|
|
| 1 |
|
|
| 1 |
|
|
| 1 |
|
|
|
|
|
|
|
|
|
|
|
|
|
|
| 0.0018 |
|
|
|
|
Comparative effectiveness for ℛ 0 {{\mathcal{ {\mathcal R} }}}_{0}
| No. | Indicator | % Age | CEL | % Age | CEM | % Age | CEH |
|---|---|---|---|---|---|---|---|
| 1 |
| 0 | 1 | 0 | 1 | 0 | 1 |
| 2 |
| 30 | 5 | 60 | 5 | 90 | 5 |
| 3 |
| 0.106 | 3 | 0.24 | 2 | 0.45 | 4 |
| 4 |
| 0.075 | 2 | 0.26 | 3 | 0.38 | 3 |
| 5 |
| 30.07 | 7 | 60.12 | 7 | 90.45 | 7 |
| 6 |
| 30.05 | 6 | 60.1 | 6 | 90.23 | 6 |
| 7 |
| 0.22 | 4 | 0.35 | 4 | 0.67 | 2 |
| 8 |
| 30.16 | 8 | 60.34 | 8 | 90.5 | 8 |
Initial values of the variables
| Variable | Initial values | Source |
|---|---|---|
|
|
| [10] |
|
| 0 | [10] |
|
| 5.2 | [10] |
|
| 1,000 | Assumed |
|
| 100 | Assumed |
|
| 50 | Assumed |