Figure 1:

Figure 2:

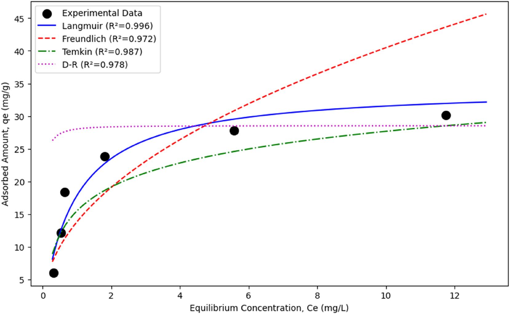
Figure 3:

Figure 4:

Figure 5:

Figure 6:

Figure 7:

Thermodynamic parameters for tamoxifen adsorption_
| Temperature (K) | ΔG (kJ/mol) | ΔH (kJ/mol) | ΔS (J/mol·K) |
|---|---|---|---|
| 298 | −6.848 | 48.267 | 174.568 |
| 308 | −5.339 | 48.267 | 174.568 |
| 318 | −4.095 | 48.267 | 174.568 |
Parameters of isotherm models and (R 2) values for nonlinear regression_
| Model | Parameters | (R 2) |
|---|---|---|
| Langmuir | (q
m
= 34.48 mg/g), | 0.996 |
| Freundlich | (K
F
= 13.80 mg/g (L/mg)(1/n)), | 0.972 |
| Temkin | (A
T
= 18.62 L/mg), | 0.987 |
| Dubinin-Radushkevich | (q
s
= 28.52 mg/g}), | 0.978 |
Comparison of the adsorption capacity of the developed nepheline-cordierite geopolymer with other adsorbents reported in the literature for the removal of tamoxifen and related cytostatic drugs_
| Adsorbent material | Target compound | Maximum capacity (q max, mg/g) | Optimal pH | Reference |
|---|---|---|---|---|
| Nepheline-cordierite geopolymer (this work) | Tamoxifen | 34.48 | 7 | – |
| Activated carbon (Commercial, F400) | Tamoxifen | 18.20 | 6 | [17] |
| Montmorillonite K10 Clay | Tamoxifen | 12.85 | 6 | [17] |
| Zeolite beta | Tamoxifen | 27.10 | 7 | [17] |
| Multi-walled carbon nanotubes (MWCNTs) | Tamoxifen | 41.50 | 5 | [15] |
| Graphene oxide (GO) | Tamoxifen | 2.98 | 7 | [14] |
| Magnetic graphene oxide (MGO) | Tamoxifen | 28.7 | 6 | [3] |
| Activated carbon from pine sawdust | Cyclophosphamide | 129.9 | 7 | [4] |
| Metal-organic framework (MIL-101Cr) | Ifosfamide | 105.0 | 6 | [11] |
Kinetic model parameters and (R 2) values from non-linear regression_
| Model | Parameters | (R 2) |
|---|---|---|
| Pseudo-first-order | (q
e
= 24.12 mg/g) | 0.962 |
| Pseudo-second-order | (q
e
= 24.75 mg/g) | 0.998 |
| Elovich | (α = 35.47 mg/g·min) | 0.889 |
| Intraparticle diffusion | (k
id = 2.86 mg/g·min0.5) | 0.871 |