Water is an essential resource that affects every aspect of human life [1]. Although today most of the world has access to clean, filtered, and/or treated water, this was not quite the case in the past. Civilizations such as the ancient Romans made great strides to improve reliable access to clean water [2]. The first water project in Rome was probably the Cloaca Maxima, i.e., a drainage canal built to drain the flood-prone area between the hills of Rome (Palatine, Esquiline, and Capitoline), which would later become the Roman Forum. Later additional canals were added and covered over to allow for the construction of structures above them, creating the sewer network that is still in place today. Rome’s initial water sources consisted of local springs, wells, and cisterns near the city. Later, the need for more consistent supplies led to the emergence of aqueducts [3].
Many of the historic springs can be found in the city’s central area, such as the Roman Forum. Some springs are still observable as they were sacralized by the Romans, who had the cult of deities linked to water [4]. Some of these waters are still gushing from several famous and artistic fountains in Rome located at various city points. In addition, underground waters can be seen surfacing in some churches (Santa Maria in Via, San Lorenzo in Lucina, and San Bartolomeo all’Isola Tiberina) [4].
Because of their hydrogeological, archaeological, and monumental significance, the historical springs in Rome constitute important geosites [5,6]. The reasons for their cultural and scientific interest are related to their rarity, representativeness, historical value, and location in the central part of the city, and their accessibility has given that some of them fall within areas open to the public and/or are commemorated by monumental elements usable by anyone. Therefore, the historic springs of Rome represent a truly unique historical, archaeological, cultural, and natural heritage. Consequently, they must be considered valuable assets to be protected and safeguarded from the threat of possible pollution phenomena or even disappearance due to anthropogenic interventions that determine changes in the subsurface capable of interfering with the natural emergence.
Urban environments and modern construction such as roads, parking lots, and buildings can significantly alter the nature of recharge to groundwater aquifers due to the decreased amount of percolation areas [7,8,9]. On the other hand, the modern city can also increase the groundwater recharge through park irrigation and any water loss in supply and sewage networks [10,11]. Interrelationships between anthropogenic land use and natural recharge processes influence the chemical composition of a water source [12,13]. Trace metals from industrial areas, organic material from damaged infrastructure, excessive nitrates from area agriculture, and acid rain components from urban air pollution can be found in water [12,13]. Chemical–physical and bacteriological analysis of ancient water sources is important for understanding the vulnerability of these valuable water resources [14,15] and essential for the state of water quality [12]. However, the selection of chemical–physical and biological parameters for water quality analysis is challenging, as there is no particular technique [16,17,18,19].
Preliminary results in a previous study [20] highlighted differences in some ancient springs in the Roman Forum compared to main water and the presence of a high nitrate content, which can be associated with possible pollution of a biological nature. The present study aimed, therefore, to investigate through a multiparametric analytical approach the ancient springs still visible and accessible in 12 different points of the Roman Forum area to obtain their chemical–physical and microbiological characterization and to exclude infiltration from the water network or contamination of pollutants.
A total of 14 water samples (12 ancient spring water samples still emerging and accessible in the Roman Forum area and 2 drinking water samples from the ACEA public aqueduct of Rome; Table 1) were collected during the spring of 2021 and analyzed. Several parameters were determined in situ (conductivity, pH, temperature, dissolved oxygen [DO], and redox potential [ORP]) and in the laboratory (eight anions, eight cations, bicarbonate [
Abbreviations used in all the figures and tables for the analyzed samples
| Source | Abbreviation |
|---|---|
| Valentini Palace baths | VPb |
| Valentini Palace column | VPco |
| Valentini Palace canteen | VPca |
| Juturnae | J |
| Caesarian Galleries | CG |
| Drilling near Lapis Niger | D |
| Lapis Niger | LN |
| Divine Romulus temple | DR |
| Tullianum | T |
| Forum standpipe | Fsp |
| Valentini Palace standpipe | VPsp |
| Tullianum standpipe | Tsp |
| ACEA aqueduct Salone Vergine | ACEAv |
| ACEA aqueduct Peschiera Capore | ACEAp |
Figure S1 shows the sampling points of the water sources in the area of the Roman Forum. In the first map (Figure S1a), the sources of water inside the Valentini Palace were selected. In the second map (Figure S1b), the sources of water present inside the Roman Forum and the Mamertino Prison were considered. The description of the sampling sites is shown in Section S1 of the Supplementary material.
Valentini Palace [21,22] is surely considered an urban area as early as the beginning of the Imperial age when it turned from burial into a trading area and partially into a residential area. However, the archaeological remains testify that it was completely transformed by the construction [23,24] of Trajan’s Forum between the end of the first and the early second century [25]; the pre-existing buildings were buried under a new terrace upon which new buildings were constructed. The archaeological remains under Valentini Palace can belong to two different contexts: a public context to the South and West most probably referred to a very large building dating back to the age of Hadrian that delimits the Trajan’s Forum to the north and can be identified with the Templum Divi Traiani et Divae Plotinae [25,26,27,28,29]; a private residential context to the North and East, with the remains of two wealthy Domus of the mid- and late-Imperial time [30,31,32,33,34]. Figure S1a and b shows the sampling points inside the Valentini Palace and the Roman Forum and the Mamertine Prison, respectively.
In ancient times, the Forum was a marshy area. The Roman Forum began to take shape starting from the end of the seventh century BC, after the reclamation of the valley, and it remained the center of public life for over a millennium.
The Mamertine Prison was the oldest and the only maximum security prison in the Roman State. It is located on the slopes of the Campidoglio and overlooks the Roman Forum. The complex consists of two distinct nuclei: the upper room, called Carcer, which dates back to the seventh century BC, and the Tullianum, the lower hall, which dates back to the sixth century BC.
Perkin-Elmer (Waltham, USA) lambda 16 spectrophotometer managed by the WinLab 2.80.3 UV program was used, with a quartz cuvette with 2, 10, and 50 mm optical path.
Chromatograph 761 compact IC Metrohm (Herisau, Switzerland) with IC NET 2.3 interface equipped with a Dionex (Sunnyvale, California) CS12A 4 mm × 250 mm column, 1 μm Reodine filter, and Metrohm Suppressor Module was used for the anion analysis. A Dionex AS22 4 mm × 250 mm and a 2 μm Supelco (Darmstadt, Germany) filter were instead used for the cation analysis.
The following eluents were used for anion and cation analyses. Anions: 1.3 mM sodium carbonate and 4.5 mM sodium bicarbonate, obtained from sodium carbonate anhydrous 99.9% and sodium bicarbonate anhydrous 99.5% from Fluka (Darmstadt, Germany), 1% v/v methanol normapur 99.8% from Sigma-Aldrich (Darmstadt, Germany). Cations: 2 mM superpure nitric acid and 4 mM pure oxalic acid from Carlo Erba (Milan, Italy), 1% v/v Fluka acetonitrile for LC-MS. Certified standards certipur of anions and cations from Merck (Darmstadt, Germany).
Amel 2.33 auto burette and Amel 338 pH-meter equipped with Crison (Barcelona, Spain) 5202 electrode and Amel TC100. Titrant: HCl FIXANAL 38280-1EA 0.1 M.
VOCs were determined using a Trace GC ULTRA gas chromatograph coupled to a Focus DSQ mass spectrometer (Thermo Fisher Scientific, MA, USA) running in electron impact ionization mode (EI, 70 eV; source at 250°C) and operating in SIM mode. GC was equipped with a purge and trap device (Stratum Purge & Trap, Teledyne Tekmar, OH, USA) employed as an extractor, concentration/trapping, and injection system of VOC analytes. Chromatographic separation was performed on an SPB-624 capillary column (30 m × 0.25 mm × 1.4 μm film thickness; Supelco, Darmstadt, Germany) specific for VOC analyte separation, employing helium (purity grade ≥ 99.9999% v/v) from Linde (Milan, Italy) as carrier gas at a constant flow rate of 1 mL min−1. Xcalibur software by Thermo Fisher Scientific (MA, USA) was used for data acquisition/processing and instrument management. A standard mixture containing 18 purgeable halocarbons in methanol (100 ± 0.5 mg mL−1) was from Ultra Scientific (Bologna, Italy). Methanol of high purity grade was purchased from Merck (Darmstadt, Germany). Ultrapure water was obtained using the Milli-Q Millipore water purification system (Merck Life Science S.r.l., Milan, Italy). Glass vials of 40 mL, with top screw hole cap and septa (silicone/PTFE, 20 mm diameter) were obtained from VWR (Milan, Italy); 25 mL Hamilton gastight syringe with PTFE luer lock was obtained from Agilent (Santa Clara, CA, USA).
Cellulose acetate filters with a pore size of 0.45 µm from Millipore and a Combisart vacuum pump were used to prepare the sample for the microbiological tests.
Culture media used were as follows: Tryptone Bile X-GLUC Agar (TBX) (VWR) for E. coli and Slanetz Bartley Agar (SB) (Merck) for IE; Reasoner’s 2A agar (R2A) plate from Merck for the total bacteria count (TBC) and Salmonella xylose lysine desoxycholate (XLD) agar (Biolife) for Salmonella.
All the other reagents were of analytical grade.
The sampling from the outcrops for the chemical–physical analyses was carried out by immersing a plumb line ending with a tied test tube, which served as a sampler. Subsequently, the water withdrawn was poured into 50 mL test tubes for in situ analyses and into 1 L glass bottles for the analyses in the laboratory. Samples from the standpipes were collected by simply filling the 50 mL tubes from the tap. All samples were labeled, transported, and stored at a temperature of ±4°C.
Water sampling for the microbiological tests was performed with sterile containers by qualified personnel using personal protective equipment according to the standard procedure [35]; each sample was appropriately labeled, transported, and stored at a temperature of ±4°C and analyzed within 24 h.
Conductivity, pH, temperature, DO, and redox potential were measured with portable instruments. The tube with the DO electrode was larger to contain a magnetic helix adapter. A magnetic stirrer was positioned under this tube; all the sensors were connected to a Vernier Laboquest 2 data logger. The temperature of the bottom and surface of the source were also measured using PT100 connected to a Hobo data logger. All the sensors were calibrated in the lab on the day first of the measures, and the complete workstation was tested in the basin in Piazza della Minerva of the Sapienza University.
The anions fluoride (F−), chloride (Cl−), bromide (Br−), acetate (CH3COO−), phosphate (
The
The UV-vis spectrophotometric analysis for the evaluation of nitrates and nitrites, organic substances, chlorophyll, red photosynthetic pigments, chlorophyll A, and turbidity was carried out with cuvettes with an optical path of 20 mm. The scan was programmed from 900 to 190 nm, and the spectrum was obtained with the WinLab UV program.
The membrane filter method was used to analyze two microbiological indicators, E. coli [39] and intestinal Enterococci (IE) [40]. Briefly, 100 mL of sample was filtered through cellulose acetate filters (0.45 µm, Millipore, Merck KGaA, Darmstadt, Germany) using a Combisart vacuum pump (Lab World, Milan, Italy) [38]. Subsequently, the filters were placed on Petri dishes containing the selective culture media, previously prepared following the manufacturer’s instructions. Finally, the plates were incubated in thermostatic stoves (Intercontinental, Rome, Italy) at different temperatures and times for each indicator. Tryptone Bile X-Gluc-TBX agar plates (VWR International, Milan, Italy) at 44 ± 1°C for 24 h and Slanetz and Bartley-SB Agar plates (Merck KGaA, Darmstadt, Germany) at 37 ± 1°C for 48 h were used for E. coli and IE, respectively. After incubation, the grown colonies were counted and distinguished according to the different colors they had assumed: red/brown for IE and blue/green for E. coli. The results were expressed in colony-forming units per 100 mL (CFU/100 mL).
The TBC, which estimates the total number of viable individual microorganisms, bacteria, yeasts, and mold species in 1 mL of the water sample, was determined as suggested by the European Pharmacopoeia [41]. Briefly, samples were spread onto two R2A plates (Merck KGaA, Darmstadt, Germany), subsequently incubated separately, one at 22 ± 1°C for 72 h and the other at 37 ± 1°C for 48 h. The results were expressed in CFU per milliliter (CFU/1 mL). Salmonella spp. was isolated as previously reported [42].
The seven VOCs (bromodichloromethane, CHBrCl2; bromoform, CHBr3; carbon tetrachloride, CCl4; chloroform, CHCl3; dibromochloromethane, CHBr2Cl; tetrachloroethylene, C2Cl4; and trichloroethylene, C2HCl3) were analyzed as follows. About 25 mL of water sample was injected in the purge and trap system injection port. The volatile analytes were sampled from the water headspace by purging helium at a constant flow rate of 40 mL min−1 for 11 min at 35°C and trapped on a carboxy trap (VOCARB 3000 – Stratum PTC, Supelco, Darmstadt, Germany). The extracts were thermally desorbed at 260°C by fluxing He at 40 mL min−1 for 2 min and directly injected into the split/splitless injection port, supporting an inlet liner for SPME, 0.75 mm i.d. (Supelco, Darmstadt, Germany), operating in a constant temperature split mode, at 200°C (split flow, 11 mL min−1; split ratio, 10). The oven temperature program was as follows: 35°C held for 6.50 min, ramped to 150°C at 8°C min–1, and finally ramped to 260°C at 30°C min–1 and held for 1 min (total run time, 26 min). The analytes were univocally characterized based on their retention times and mass-to-charge ratios obtained in a scan mode (ion range, 50–350 m/z; scan rate, 1.6 scan s–1). For the quantification of analytes, the mass spectrometer operated in an SIM (selected ion monitoring) mode in 17 acquisition windows (total scan times of 0.14 s, dwell time of 100 ms). The ions chosen for detection/quantification exhibited the strongest intensities in the full-scan EI/MS spectra.
We first standardized the data matrix, containing all the chemical–physical data, and then used the hierarchical method of Centroid linkage clustering, or UPGMC (unweighted pair group method with centroid average), calculating the Euclidean distances among clusters. The Epina Datalab software was used.
For the microbiological data, the Cluster Analysis but with the Bray–Curtis similarity index [43] were also used; such an index is used to quantify the compositional diversity between the sites based on the abundances found in each of them; it ranges from 0 to 1, where 0 is the homogeneous samples, and 1 if they have no similar value. Data were standardized following the formula log(x + 1); analyses were performed using PAST software v 2.17 [44].
Table 1 lists all the ancient springs analyzed, the small fountains close to them, and the two main aqueducts that supply the main water to Rome. Details of the sampling sites are shown in Section S1 of the Supplementary material.
A slightly alkaline pH was measured in all the samples (Figure S2), except the Giuturna basin. The slightly acid pH is attributable to its complete exposure to the outside and, therefore, to possible acid pollution. Conductivity values range between ∼400 µS in the well inside the Temple of divus Romulus and ∼800 µS close to the collapsed column inside Valentini Palace (Figure S2).
It is well known that conductivity can be an index of the soluble salt content of aqueous samples. It is also known that it depends on the charge/radius of the ion, so a low conductivity can mean the presence of a low concentration of ions with high conductivity or of a medium or high concentration of ions with low conductivity. The correlation found between the total ion content in the samples and the measured conductivity has the expected fair but not good correlation (Figure S3). DO may be the only parameter affecting ORP in the absence of other redox couples. The ORP should be measured after deoxygenation of the sample to have a correct evaluation of the presence of other oxidizing species, but the procedure becomes complex in situ and therefore has not been followed. The lack of correlation between DO and ORP highlights, in any case, the presence of other redox species (Figure S4). The figure also highlights the higher presence of reducing substances (lower ORP) in the springs compared to the standpipes, except the well inside the Piccole Terme of Valentini Palace.
The last row in Table S2 shows a lower bicarbonate content in all the sources than in the standpipes. The LODs are given in Table S1. As bicarbonate in water is generally the main counterion of calcium and magnesium, this is congruent with the chromatographic data on the saline content.
Values found for the standpipes are significantly lower than those of the aqueduct; anyway, looking at the ACEA data we noted that the bicarbonate content results equal to the fixed residue, so we suspect an error in such data.
Figures 1–3 and Table S2, as expected, indicate that the most abundant anions were

Soluble salt composition of the sources sampled inside Forum and standpipe (Fsp).

Soluble salt composition of the source sampled inside Tullianum and standpipe of comparison.

Soluble salt composition of the sources sampled inside Valentini Palace and standpipe of comparison.
Among the cations, as expected, Ca2+, Mg2+, Na+, and K+ are present in all the samples at higher concentrations;
Figure S5 shows a good correlation between the total anions (including
The previously published data [20] differ more or less from those reported here; the highest differences are obtained for nitrates; in particular, its content in the well near the collapsed column inside the Valentini Palazzo and the Giuturna is, respectively, more than double and slightly more than half compared to the current one. In the case of Juturnae, due to its completely outside location, we suspect periodic disinfection may be responsible for the nitrate content variation. At the same time, all the other differences can be imputed to the different seasonal sampling periods. Therefore, a series of four seasonal measure campaigns are already planned.
All the spectrophotometric indices resulted higher in the sources than in the standpipes (Table 2). The presence of nitrate is congruent enough with the chromatographic data; in fact, the correlation between the last and the absorbance at 198 nm is satisfying until it reaches the saturation value (Figure S6). A low but detectable amount of pigments and organic matter is present in all sources, while significant turbidity was found only in the Tullianum source (Table 2).
Spectrophotometric indices
| Sample | Absorbance | |||||
|---|---|---|---|---|---|---|
| 200 nma | 254 nmb | 440 nmc | 550 nmd | 664 nme | 750 nmf | |
| VPb | 2.104 | 0.013 | 0.000 | 0.000 | 0.000 | 0.002 |
| VPco | 2.093 | 0.034 | 0.003 | 0.001 | 0.004 | 0.004 |
| VPca | 2.048 | 0.028 | 0.006 | 0.003 | 0.004 | 0.000 |
| J | 2.074 | 0.022 | 0.013 | 0.012 | 0.009 | 0.005 |
| GC | 0.639 | 0.088 | 0.010 | 0.004 | 0.002 | 0.001 |
| D | 0.365 | 0.060 | 0.018 | 0.013 | 0.008 | 0.005 |
| LN | 2.093 | 0.021 | 0.013 | 0.010 | 0.008 | 0.005 |
| DR | 2.078 | 0.020 | 0.001 | 0.003 | 0.008 | 0.000 |
| T | 2.146 | 0.027 | 0.018 | 0.127 | 0.354 | 0.534 |
| VPsp | 0.720 | 0.008 | 0.002 | 0.002 | 0.002 | 0.003 |
| Fsp | 0.582 | 0.005 | 0.001 | 0.002 | 0.002 | 0.001 |
| Tsp | 0.627 | 0.006 | 0.001 | 0.003 | 0.004 | 0.000 |
Figure S7 shows the Cluster Analysis for the chemical–physical data in the center; on the left, the measured parameters, and on the right, the method procedures are, respectively, listed. Figure S7 confirms the similarities between the three standpipes and, in turn, their similarities with the two aqueducts (that differ from each other more than the standpipes) and a significant difference between them and the sources. Among the sources, the Lapis Niger and the Valentini Palace canteen show the highest similarities, probably due to their similar muddy nature resulting from the shallow depth of the outcrop and its direct placement in the ground (Figure 4a–d). Similarities of these two sources with the others decrease and become maxima with Tullianum (Figure 4k and l), which is completely different from all the samples. Also, in the Cluster Analysis of the microbiological data (Figure S8), the three fountains are aggregated similarly, with a homogeneity of 0. The Divine Romulus is independent because it has a relevant value in the TBC. The other springs grouped presented similar concentrations of microorganisms.

Sampling points inside Valentini Palace: (a) thermal bath inside Valentini Palace (VPb); (b) well close to the collapsed column (VPco); (c) standpipe in the Valentini Palace courtyard (VPsp); and (d) outcrop close to the former canteen (VPca); Roman Forum area: (e) Juturnae (J); (f) Cesarean Galleris (CG); (g) drilling close to Lapis Niger (D); (h) Lapis Niger (LN); (i) standpipe on the via Sacra (Fsp); and (j) well inside Divine Romulus Temple (DR). Tullianum: (k) inside well Tullianum (T); and (l) outside standpipe Tullianum (Tsp).
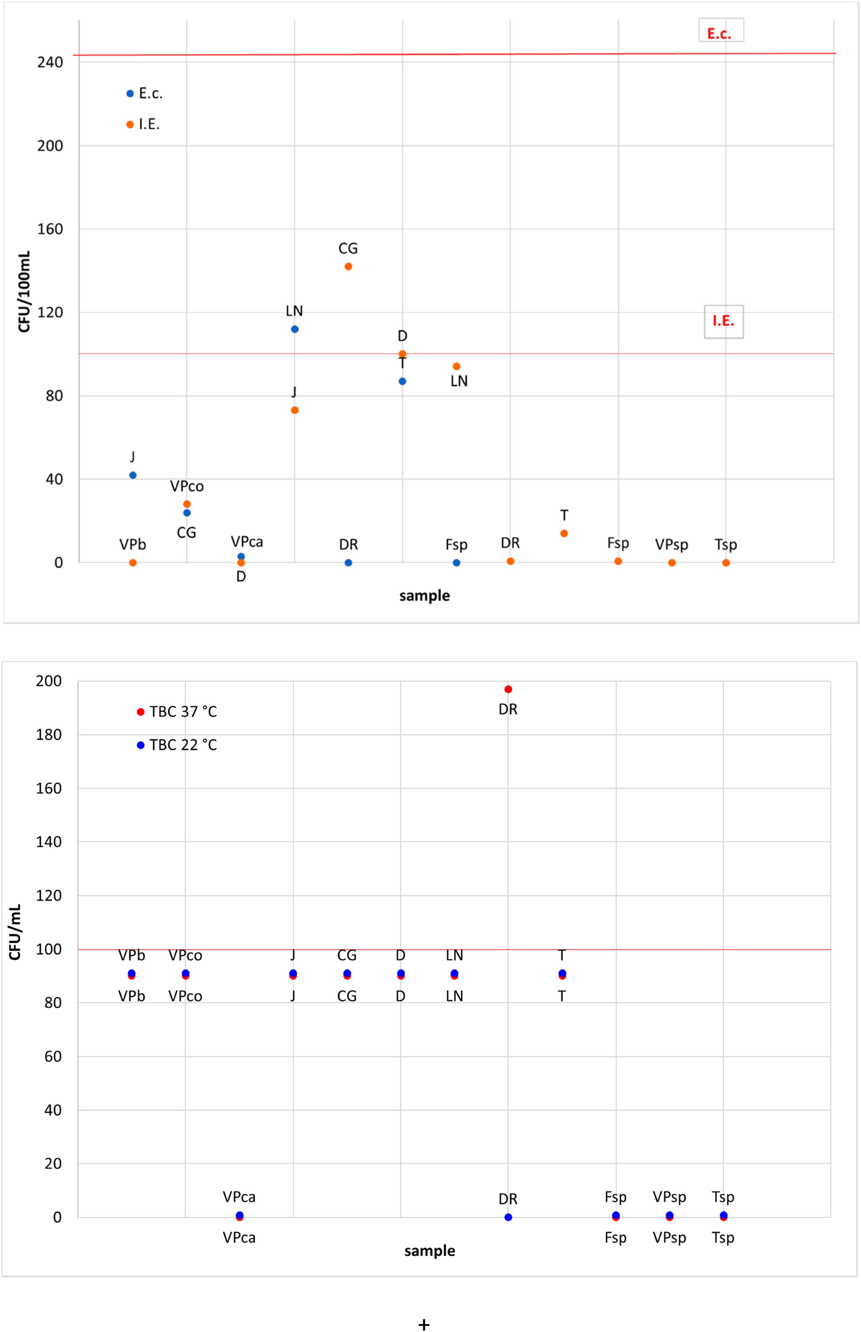
The water quality assessment from a sanitary point of view concerns the recovery of the two mandatory fecal microbiological indicators, E. coli and IE, required by the current Bathing and Drinking Water Directives [48]. In addition, E. coli and IE must not be present (0 CFU/100 mL) for water to be considered as drinkable [48].
Furthermore, the two qualitative microbiological parameters have been investigated, TBC at 22 and 37°C, which estimates the total number of viable individual microorganisms, bacteria, yeasts, and mold species in a volume of 1 mL. They are used to assess water quality used in the production of pharmaceutical and medical device industries and for drinking water [49]. Finally, the Salmonella pathogen has been researched because it represents an immediate risk to human health; few cells can cause illness and must be absent in drinking water [42].
Figure 5 (top panel) shows a relatively similar trend of the two indicators, E. coli and IE, so we can affirm no potability of water springs. The highest concentration of E. coli was detected in the Lapis Niger (112 CFU/100 mL) and Tulliano samples (87 CFU/100 mL). While the public fountains samples, Fsp, Tsp, VPb, and VPsp samples, where the two microbiological indicators were absent, provide drinking water.

Microbiological indicator results (top panel). The red lines indicate the limits of excellent water quality of E. coli (E.c.) and intestinal Enterococci (I.E.), respectively, 250 CFU/mL and 100 CFU/100 mL, for the classification according to the legislation of bathing water [48], while for drinking water, they must be absent (0 CFU/100 mL). TBC at 37 ± 1°C and 22 ± 1°C were obtained in the tested samples (bottom panel).
The TBC results highlighted the presence of microorganisms in all samples analyzed with values lower than 100 CFU/mL, except those from drinking water fountains. Only in the Divine Romulus sample, the TBC at 37°C turned out to be 197 CFU/mL (Figure 5, bottom panel). Finally, the Salmonella pathogen was not detected in any of the analyzed samples.
The high contamination of Lapis Niger and Tullianum from the Mamertino prison can be explained by exposure to animals near the sites, such as rodents. Another note regarding the Lapis Niger is the restoration works in progress during the sampling campaign, which may have contributed to the site’s pollution. On the other hand, colonies of IE were found in high concentrations in Cesariana tunnels, the coring, the Lapis Niger, and the Giuturna spring. All these sites are located in the same area of the Roman Forum. Still, among these, the value of the Cesariana Gallery stands out; its contamination could also occur due to its proximity to the Cloaca Maxima, which passes under the same area. Furthermore, wastes were found abandoned at the sampling time due to human neglect. Finally, colonies of IE were found in the water of the Giuturna spring, plausibly due to fecal contamination of animals, probably birds, since the site is located outdoors.
At the Valentini Palace site, the presence of both indicators was recovered only in one of the three sampling points, the one near Trajan’s column. It is a deep well and, therefore, probably subject to fecal contamination of animals, especially rodents. The site with the minor contamination appeared to be the well inside the Temple of the Divine Romulus in the Roman Forum. The absence of fecal microbiological indicators is presumably derived from the location of the well since a trapdoor was opened on the temple floor to access it, which was sealed to divide the rooms. Human or animal contamination can be considered irrelevant in this place, and the water inside the well was crystal clear.
The only non-zero parameter concerning this source is the TBC at 37°C, related to mesophilic microorganisms’ presence, i.e., those from humans and animals. No scientific evidence correlates this result with health risks, but it may instead be an early sign of pollution. A plausible explanation would be that the atmospheric temperature of the sampling day inside the Roman Forum and the previous days exceeded 30°C, which could have enhanced bacterial proliferation.
The limit value set for trichloroethylene and tetrachloroethylene in mineral waters is the limit value of the instrumental performance, fixed by the decree at 0.1 µg/L (0.5 µg/L for trihalomethanes) – limit value for a single compound. In all sampled sites, the concentration levels of selected VOCs result below the limit values both of groundwater [50] and of drinking water [51]. Especially, the low concentrations of tri- and tetra-chloroethylene show poor contamination by anthropogenic pollutants. On the other hand, the low levels of trihalomethanes, resulting from the water disinfection treatment (chlorinated disinfection by-products [DBPs]), demonstrate that there is no mixing of the ancient springs with main water, thus excluding the possibility of infiltration from the water losses in the supply network.
The mineral profile of the waters can vary considerably and depends on the different sources and geographical and geological conditions (for example, geology and mineralogy of the aquifers, climate, and topography). However, similar types of rocks can lead to different types of mineral water depending on the geochemical processes and the time of residence in the subsoil [52]. Most components can also change their concentration to the original composition due to variations in physical–chemical parameters, such as temperature, redox conditions, and adsorption phenomena [53].
Therefore, in the future, it would be important to study the variation of the investigated parameters in the ancient spring waters still emerging and accessible in the Roman Forum area as a function of the sampling season. Furthermore, to better characterize each ancient source, it would be very useful to study the content of trace elements, including toxic elements. The levels of trace elements, such as As, B, Ba, Sb, and U, in addition to providing information on any environmental pollution, strictly depend on the water–rock interactions and therefore allow us to highlight better the differences and similarities between the different waters [54].
The different chemical composition of the springs compared to the fountains and, above all, the contrasting differences (for example, a significantly lower concentration of Ca2+ and higher concentrations of Na+ and K+) ensure that there are no significant infiltrations of the main water. VOC analyses, reporting very low levels of chlorinated DBPs, substantially confirm such deduction, as well as indicate a low level of anthropogenic pollution. As expected, the