Figure 1

Figure 2

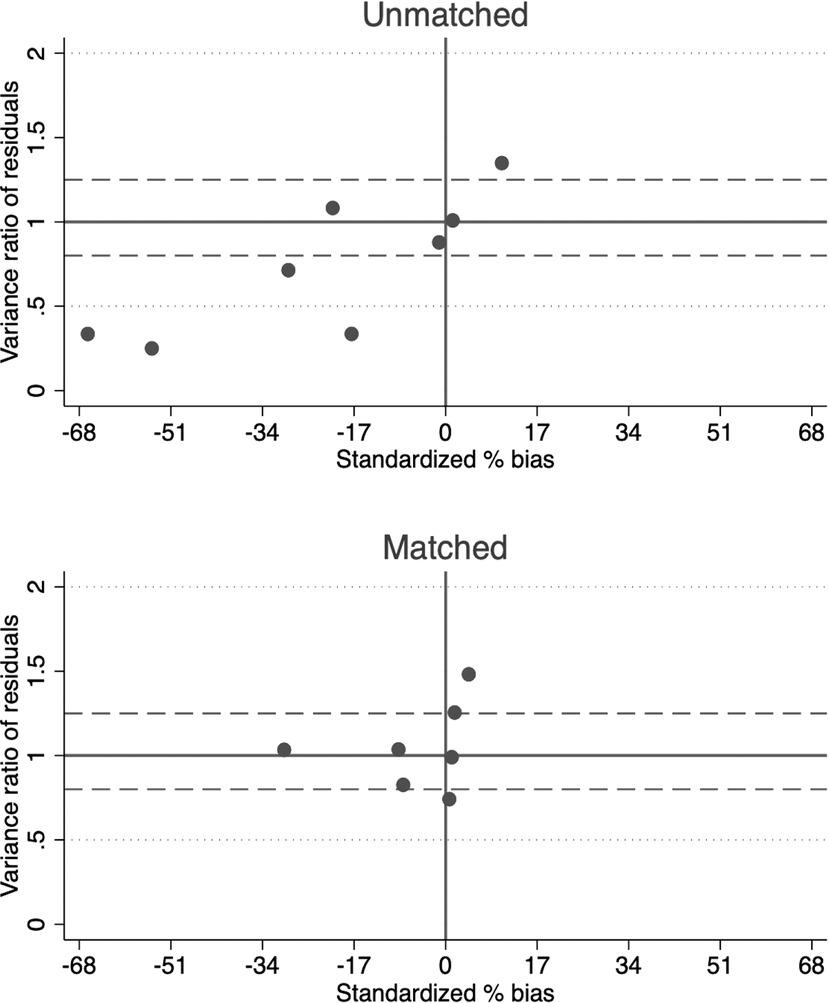
Propensity score matching
| Mastectomy (n = 209) | BCS (n = 356) | P | |
|---|---|---|---|
| Age | 0.005 | ||
| 21–30 | 2 (0.96%) | 3 (0.84%) | |
| 31–40 | 20 (9.57%) | 35 (9.83%) | |
| 41–50 | 50 (23.92%) | 131 (36.80%) | |
| 51–60 | 76 (36.36%) | 110 (30.90%) | |
| 61–70 | 36 (17.22%) | 61 (17.13%) | |
| 71–80 | 21 (10.05%) | 14 (3.93%) | |
| 81–90 | 3 (1.44%) | 2 (0.56%) | |
| 91–100 | 1 (0.48%) | 0 (0.00%) | |
| Menopause | 137 | 196 | 0.021 |
| Surgeon | 0.001 | ||
| A | 99 (47.37%) | 171 (48.03%) | |
| B | 38 (18.18%) | 126 (35.39%) | |
| C | 46 (22.01%) | 15 (4.21%) | |
| D | 15 (7.18%) | 36 (10.11%) | |
| E | 9 (4.31%) | 5 (1.40%) | |
| F | 2 (0.96%) | 3 (0.84%) | |
| Clinical tumor size | 2.48 | 1.48 | 0.001 |
| (cm) | |||
| Hormonal status positive | 148 (n = 200) | 264 (n = 336) | 0.225 |
| HER-2 positive | 42 (n = 180) | 59 (n = 278) | 0.503 |
| Tumor grade | 0.002 | ||
| 1 | 22 (10.52%) | 82 (23.03%) | |
| 2 | 85 (40.67%) | 134 (37.64%) | |
| 3 | 76 (36.36%) | 107 (30.06%) | |
| Unknown | 26 (12.44%) | 33 (9.27%) | |
| Tumor stage | <0.001 | ||
| 0 | 19 (9.09%) | 36 (10.11%) | |
| 1 | 40 (19.14%) | 149 (41.85%) | |
| 2 | 113 (54.07%) | 148 (41.57%) | |
| 3 | 36 (17.22%) | 20 (5.62%) | |
| Unknown | 1 (0.48%) | 5 (0.84%) | |
| Disease-free | 54 | 65 | 0.9950 |
| Overall survival | 59 | 72 | 0.9988 |
Baseline characteristics
| Mastectomy (n = 260) | BCS (n = 454) | P | |
|---|---|---|---|
| Age | 0.010 | ||
| 21–30 | 3 (1.15%) | 3 (0.66%) | |
| 31–40 | 21 (8.08%) | 41 (9.03%) | |
| 41–50 | 69 (26.54%) | 167 (36.78%) | |
| 51–60 | 93 (35.77%) | 143 (31.50%) | |
| 61–70 | 42 (16.15%) | 75 (16.52%) | |
| 71–80 | 26 (10.00%) | 22 (4.85%) | |
| 81–90 | 5 (1.92%) | 3 (0.66%) | |
| 91–100 | 1 (0.38%) | 0 (0.00%) | |
| Menopause | 165 | 259 | 0.097 |
| Surgeon | <0.001 | ||
| A | 127 (48.85%) | 209 (46.04%) | |
| B | 56 (21.54%) | 178 (39.21%) | |
| C | 47 (18.08%) | 17 (3.74%) | |
| D | 18 (6.92%) | 42 (9.25%) | |
| E | 9 (3.46%) | 5 (1.10%) | |
| F | 3 (1.15%) | 3 (0.66%) | |
| Avg. clinical tumor | 2.45 | 1.48 | <0.001 |
| size (cm) | |||
| Hormonal status positive | 189 | 339 | 0.554 |
| HER-2 positive | 51 | 77 | 0.133 |
| Tumor grade | <0.001 | ||
| 1 | 32 (12.31%) | 113 (24.89%) | |
| 2 | 106 (40.77%) | 171 (37.67%) | |
| 3 | 86 (33.08%) | 130 (28.63%) | |
| Unknown | 36 (13.85%) | 40 (8.81%) | |
| Tumor stage | <0.001 | ||
| 0 | 21 (8.08%) | 49 (10.79%) | |
| 1 | 49 (18.85%) | 204 (44.93%) | |
| 2 | 132 (50.77%) | 170 (37.44%) | |
| 3 | 56 (21.54%) | 28 (6.17%) | |
| Unknown | 2 (0.77%) | 3 (0.66%) | |
| Recurrence | 35 | 63 | 0.877 |
| Death | 10 | 16 | 0.825 |