Breast cancer is the leading cause of cancer-related deaths in women, with global trends indicating rising rates of incidence and mortality [1]. Breast-conserving surgery (BCS) is the removal of cancerous tissue followed by radiation treatment, allowing the maintenance of healthy breast tissue in breast cancer patients. BCS is becoming a preferred treatment approach for early-stage breast cancer, yet has not replaced mastectomy. Although numerous randomized controlled trials have demonstrated long-term survival rates for patients with early-stage breast cancer treated with BCS comparable to mastectomy, the latter remains the most prevalent surgical option to treat early-stage breast cancer in Thailand [2, 3, 4, 5, 6, 7]. The preference for mastectomy over BCS may be a result of surgeon skills and preferences as well as a lack of facilities and confidence in the treatment itself [8, 9].
Currently, no studies have attempted to compare the outcomes of BCS to mastectomy in a real-life setting, where the selection of treatment takes into account numerous factors. The three key determinants in the decision making of the treatment include disease, patient and physician factors. Disease factors include the stage, extent, and molecular subtype of cancer, with mastectomy being the treatment of choice for locally advanced cancer stages and multifocal or multicentric diseases, while BCS has a greater chance of selection in HER-2 molecular subtypes due to the associated multifocal and multicentric extent of disease. Patient factors include patient preference, with BCS being the preferred treatment option in younger patients, and underlying disease as patients with certain underlying conditions may not be the candidates for BCS, such as active systemic lupus erythematosus, which prevent patients from being treated with radiation post-surgery. Physician factors include the skills and preference of the surgeon as well as the accessibility to radiotherapy [10].
Propensity score-matched analysis is commonly used to reduce bias from observational retrospective studies, as the analysis accounts for numerous factors on the effects and outcomes of treatments. The selection of treatment for early-stage breast cancer is affected by many factors; therefore, a propensity score-matched analysis can be used to reduce the bias on results of treatment outcomes. This study aimed to investigate the potential determinants affecting the decision on selecting BCS or mastectomy for the treatment of early-stage breast cancer and to compare the disease-free survival and overall survival between the treatments using a propensity score-matched analysis.
The study was conducted at King Chulalongkorn Memorial Hospital (KCMH), one of the largest hospitals in Bangkok with an in-patient capacity of 1,435 beds. The hospital, operated by the Thai Red Cross Society, serves as the teaching hospital for the Faculty of Medicine, Chulalongkorn University. Patients diagnosed with early-stage breast cancer and treated by either BCS or mastectomy at the Queen Sirikit Breast Cancer Center, KCMH from January 2006 to December 2015, were retrospectively identified. Patients diagnosed with cancer stage 0 to III breast cancer from the Queen Sirikit cancer registry were included in the study. All procedures performed in this retrospective cohort study were in accordance with the ethical standards of the Institutional Review Board, Faculty of Medicine, Chulalongkorn University (certificate of approval no. 234/58) and with the 1964 Helsinki declaration and its later amendments or comparable ethical standards.
Data obtained from the Queen Sirikit Cancer Registry were verified for accuracy by Vongsaisuwon M. Patient details, including age and menopausal status, the name of the consulting breast surgeon and details on the diagnosis, and treatment were collected. Tumor characteristics, including morphology, tumor grade, estrogen receptor, progesterone receptor, and human epidermal growth factor receptor 2 expression, were recorded. The cancer stage at diagnosis, including details on tumor size, nodal status, and presence of metastases as well as the dates of diagnosis and recurrences was also noted. Additional data from comprehensive electronic medical records (EMR) was obtained, including information on clinical encounters, diagnosis, prescribed medications, laboratory results, and pathology reports.
Patients were grouped by the type of definitive surgery chosen for the treatment. Surgical designation of lumpectomy, excisional biopsy, partial mastectomy, re-wide excision, and segmental mastectomy was considered BCS. While surgical designations of mastectomy, modified radical mastectomy, radical mastectomy, subcutaneous mastectomy and total (simple) mastectomy, skin-sparing mastectomy, all with or without implant and reconstruction, were considered mastectomy.
Descriptive statistics were carried out and Student’s t-test, Chi-Square, or Fisher’s exact test were applied as appropriate. The clinical outcomes of local recurrence and death comparing patients who underwent mastectomy and BCS were adjusted for age, surgeon, hormonal status, HER-2 status, tumor grade, clinical size, and pathology stage. Kaplan–Meier estimates of patient disease-free survival and overall survival were analyzed using the log-rank test. Propensity score matching was applied to reduce potential bias due to confounding variables. Statistical analysis was performed using the Stata/MP version 15 (StataCorp LLC, College Station, TX).
Among the 714 nonmetastatic breast cancer patients identified from the Queen Sirikit Cancer Registry, 260 underwent mastectomy, while 454 underwent BCS (Figure 1). The results on the determinants of treatment selection found that there were significant differences in the patient age, surgeon, clinical tumor size, tumor grade, tumor age, while there were no significant differences in menopausal status, hormonal status positive, and HER-2 positive (Table 1). Patient age had a significant impact on the treatment selection, as BCS was more common in patients aged 31 to 70 years, while mastectomy was the preferred treatment for patients aged 71 years or greater (P = 0.010). The majority of surgeons had a preference for one treatment over the other, Surgeons A, B, and D performed BCS in 62%, 76%, and 70% of their patients, respectively, while Surgeon C and E performed mastectomy in 73% and 64% of their patients, respectively (P < 0.001). Patients who had undergone BCS had a smaller average clinical tumor size (P < 0.001) and were diagnosed with earlier stages of cancer (P = 0.002) compared to mastectomy patients, 1.48 cm at stages 0–1 and 2.45 cm at stages 2–3, respectively. Although more patients with all grades of tumors underwent BCS, there was a decreasing preference for BCS with higher tumor grades (P < 0.001). The distribution of tumor stages was comparable across surgeons (P = 0.358).
Figure 1
Flow diagram of the study sample.

Baseline characteristics
| Mastectomy (n = 260) | BCS (n = 454) | P | |
|---|---|---|---|
| Age | 0.010 | ||
| 21–30 | 3 (1.15%) | 3 (0.66%) | |
| 31–40 | 21 (8.08%) | 41 (9.03%) | |
| 41–50 | 69 (26.54%) | 167 (36.78%) | |
| 51–60 | 93 (35.77%) | 143 (31.50%) | |
| 61–70 | 42 (16.15%) | 75 (16.52%) | |
| 71–80 | 26 (10.00%) | 22 (4.85%) | |
| 81–90 | 5 (1.92%) | 3 (0.66%) | |
| 91–100 | 1 (0.38%) | 0 (0.00%) | |
| Menopause | 165 | 259 | 0.097 |
| Surgeon | <0.001 | ||
| A | 127 (48.85%) | 209 (46.04%) | |
| B | 56 (21.54%) | 178 (39.21%) | |
| C | 47 (18.08%) | 17 (3.74%) | |
| D | 18 (6.92%) | 42 (9.25%) | |
| E | 9 (3.46%) | 5 (1.10%) | |
| F | 3 (1.15%) | 3 (0.66%) | |
| Avg. clinical tumor | 2.45 | 1.48 | <0.001 |
| size (cm) | |||
| Hormonal status positive | 189 | 339 | 0.554 |
| HER-2 positive | 51 | 77 | 0.133 |
| Tumor grade | <0.001 | ||
| 1 | 32 (12.31%) | 113 (24.89%) | |
| 2 | 106 (40.77%) | 171 (37.67%) | |
| 3 | 86 (33.08%) | 130 (28.63%) | |
| Unknown | 36 (13.85%) | 40 (8.81%) | |
| Tumor stage | <0.001 | ||
| 0 | 21 (8.08%) | 49 (10.79%) | |
| 1 | 49 (18.85%) | 204 (44.93%) | |
| 2 | 132 (50.77%) | 170 (37.44%) | |
| 3 | 56 (21.54%) | 28 (6.17%) | |
| Unknown | 2 (0.77%) | 3 (0.66%) | |
| Recurrence | 35 | 63 | 0.877 |
| Death | 10 | 16 | 0.825 |
Based on the comparison of baseline characteristics, the results found that treatment outcomes of death or recurrence of cancer between mastectomy and BCS groups were also not statistically different, with P values of 0.877 and 0.825, respectively.
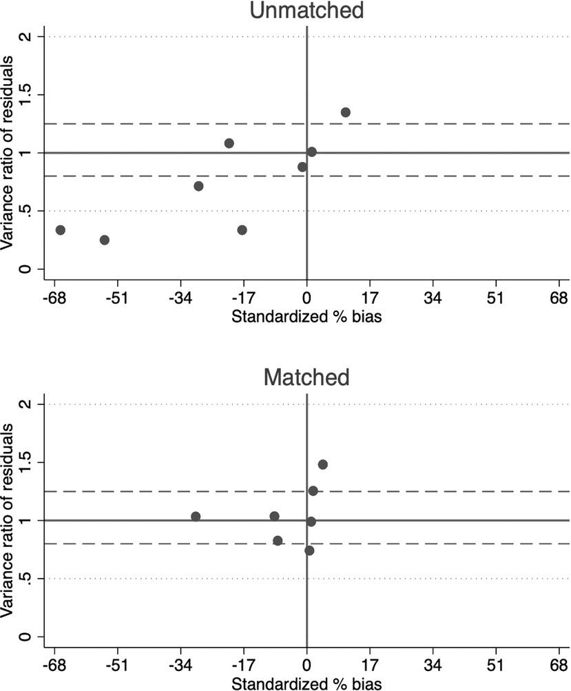
A propensity score accounts for all other factors that may confound the results in determining the probability of selecting a treatment due to a specific factor. With propensity score matching, taking into account all baseline characteristics such as age, menopausal status, surgeon, and clinical tumor size, 209 mastectomy patients and 356 BCS patients were included (Figure 1). The statistical significance of each covariate in selecting BCS or mastectomy from the propensity score-matched results is less biased compared to results without propensity score matching, due to the unmatched confounding factors, which lead to higher variances in the sample (Figure 2).
Figure 2
Residual variance in unmatched and matched samples.

With propensity score matching, the results on the determinants of treatment selection found that patient age, surgeon, clinical tumor size, and tumor grade were all statistically significant factors in the selection of treatment, while menopausal status, hormonal status positive, and HER-2 positive were not statistically significant factors (Table 2). Patients aged <70 years were commonly treated by BCS, while patients more than 71 were treated by mastectomy (P = 0.005). All surgeons had a clear preference for one treatment over the other, Surgeons A, B, D, and F performed BCS in 63%, 77%, 71%, and 60% of their patients, respectively, while Surgeons C and E performed mastectomy in 75% and 64% of their patients, respectively (P = 0.001). The average clinical tumor size in patients who had undergone BCS was smaller, 1.48 cm, compared to patients who had undergone mastectomy, 2.48 cm, (P = 0.001), while there was a higher inclination for BCS over mastectomy in patients with all tumor grades, BCS was more common in earlier stages with increasing preference for mastectomy at higher tumor grades (P = 0.002).
Propensity score matching
| Mastectomy (n = 209) | BCS (n = 356) | P | |
|---|---|---|---|
| Age | 0.005 | ||
| 21–30 | 2 (0.96%) | 3 (0.84%) | |
| 31–40 | 20 (9.57%) | 35 (9.83%) | |
| 41–50 | 50 (23.92%) | 131 (36.80%) | |
| 51–60 | 76 (36.36%) | 110 (30.90%) | |
| 61–70 | 36 (17.22%) | 61 (17.13%) | |
| 71–80 | 21 (10.05%) | 14 (3.93%) | |
| 81–90 | 3 (1.44%) | 2 (0.56%) | |
| 91–100 | 1 (0.48%) | 0 (0.00%) | |
| Menopause | 137 | 196 | 0.021 |
| Surgeon | 0.001 | ||
| A | 99 (47.37%) | 171 (48.03%) | |
| B | 38 (18.18%) | 126 (35.39%) | |
| C | 46 (22.01%) | 15 (4.21%) | |
| D | 15 (7.18%) | 36 (10.11%) | |
| E | 9 (4.31%) | 5 (1.40%) | |
| F | 2 (0.96%) | 3 (0.84%) | |
| Clinical tumor size | 2.48 | 1.48 | 0.001 |
| (cm) | |||
| Hormonal status positive | 148 (n = 200) | 264 (n = 336) | 0.225 |
| HER-2 positive | 42 (n = 180) | 59 (n = 278) | 0.503 |
| Tumor grade | 0.002 | ||
| 1 | 22 (10.52%) | 82 (23.03%) | |
| 2 | 85 (40.67%) | 134 (37.64%) | |
| 3 | 76 (36.36%) | 107 (30.06%) | |
| Unknown | 26 (12.44%) | 33 (9.27%) | |
| Tumor stage | <0.001 | ||
| 0 | 19 (9.09%) | 36 (10.11%) | |
| 1 | 40 (19.14%) | 149 (41.85%) | |
| 2 | 113 (54.07%) | 148 (41.57%) | |
| 3 | 36 (17.22%) | 20 (5.62%) | |
| Unknown | 1 (0.48%) | 5 (0.84%) | |
| Disease-free | 54 | 65 | 0.9950 |
| Overall survival | 59 | 72 | 0.9988 |
Based on matched baseline characteristics, the outcomes of the treatment of mastectomy and BCS for early-stage breast cancer treatment were not significantly different for both months of disease-free survival and overall survival, with statistical P values of 0.9950 and 0.9988, respectively. The results were also verified using Cox–Breslow regression, which determined that the disease-free survival and overall survival in months between BCS and Mastectomy were not statistically different with P of 0.11 and 0.77, respectively.
Previous randomized controlled trials conducted to evaluate the outcomes of BCS compared to mastectomy have found no differences in the disease-free survival and overall survival of patients [2, 3, 4, 5, 6, 7]. In fact, observational real-world studies using data obtained from national cancer registries have determined that better cancer-specific survival and overall survival outcomes were attained in patients who underwent BCS compared to mastectomy [2, 11, 12, 13, 14]. However, in Thailand, while there has been a rise in the incidence of breast cancer, preference for BCS remains very low. As a result, patients are limited to mastectomy for the treatment of early-stage breast cancer culminating with the full loss of breasts and no increased overall treatment outcomes. The disinclination toward BCS may stem from numerous factors including the fear of cancer recurrence with non-full removal of breast tissue as well as the lack of expertise in conducting the surgery [15, 16].
In this study, the determinants in the selection of BCS or mastectomy for the treatment of early-stage breast cancer and the outcomes of the treatments were evaluated. In order to evaluate the significance of each particular determinant in the effect on treatment selection without being confounded by other determinants, as well as to compare the outcomes of the treatment without biases from confounding factors, propensity score matching was utilized.
Based on propensity score-matched analysis, the results found no significant differences in patient treatment outcomes comparing BCS and mastectomy, including months of a cancer-free status and overall survival posttreatment of early-stage breast cancer. The results suggest that mastectomy is not superior to BCS and in fact, there is no advantage in BCS compared to mastectomy for the treatment of early-stage breast cancer. Evaluation of the selection of treatment found that the disease characteristics that were statistically significant in affecting the treatment choice were the average clinical tumor size, the tumor grade, and the cancer stage. BCS was more likely to be the treatment choice in patients with smaller tumor size, lower tumor grade, and earlier cancer stages. The significant patient factor that was found to affect the treatment decision was patient age, with younger patients more likely to be treated with BCS, while patients more than 71 were more likely to be treated with mastectomy. The results also indicated that physician factors, in particular, the surgeon’s treatment preference had a very significant effect on the treatment choice of BCS or mastectomy. All surgeons had a preference for a particular treatment and as a result, would perform the preferred treatment for the majority of their patients.
This retrospective cohort study reported comparable clinical outcomes between BCS and mastectomy after adjusted for potential confounders, using propensity score matching. The key determinants affecting the selection of treatment were identified to be patient age, characteristics of the tumor, and surgeon’s preference.