Research conducted within the hyporheic zone (HZ) encompasses a spectrum of disciplines and objectives. Major fields included in the research are ecology, hydrology, hydrogeology, microbiology, geomorphology, biogeochemistry, engineering and environmental protection (Dahm et al. 2007). Magliozzi et al. (2018) identified five key factors influencing the HZ at a larger scale, such as catchment or valley-level: hydrological, topographic, hydrogeological, ecological and anthropogenic. These factors collectively regulate the temporal and spatial variability of water exchange within the HZ, commonly referred to as hyporheic exchange flow (HEF).
From a hydrogeological standpoint, the dynamics of water exchange are principally governed by the vertical hydraulic gradient (VHG), which is influenced by a range of factors including riverbed topography, stream hydraulics, lithological composition, sediment filtration properties, valley geomorphology and the formation of aquifers along interfaces with surface water. The VHG is particularly sensitive to fluctuations in the water table level (Lewandowski et al. 2019).
The groundwater flow within meander bends due to the longitudinal river slope is a common event in mature river valleys. In addition to VHG, sediment hydraulic conductivity influences flow exchange intensity, with spatial heterogeneity leading to uneven distribution of streamlines. According to Darcy’s law, water flow exchange increases linearly with sediment hydraulic conductivity, which can vary by several orders of magnitude (Ward et al. 2012).
Anthropogenic activities such as groundwater extraction within or near river valleys can substantially alter VHG and hyporheic flow volumes, transforming rivers from effluent to influent stream systems. Conversely, intensive surface water extraction can increase groundwater drainage (Hancock 2002). The hydraulic conductivity of riverbed sediments is affected by urban and agricultural pollutants, leading to decreased porosity and conductivity (Brunke, Gonser 1997, Drummond et al. 2017).
This study aims to characterise the hydrodynamic and hydrochemical properties of the HZ of the Ner River, impacted heavily by anthropogenic influences, including significant sewage inflow and its occurrence within confirmed zones of river water infiltration into deeper aquifers. Groundwater flow modelling identified riverbed segments with high HEF rates. Chemical analyses validated hydrodynamic findings and provided insights into HZ differentiation in terms of water mixing and chemical processes. An important, also practical goal of the conducted research was to determine whether highly polluted sewage, through the deposition of suspensions and sewage sludge, caused clogging of the river bottom, reducing its roughness, which would significantly limit the exchange of surface water with groundwater, and thus limit the self-purification process of the river. This case study contributes also to the broader understanding of the processes that occur in the HZ but their effect can be observed beyond the reach of this zone, especially when the context related to the flow conditions of the aquifers, their hydraulic interactions and the fact that the river valley is affected by groundwater withdrawals of significant importance to the municipal economy of the region, is taken into account. The presented research is the continuation of work done in previous years regarding the identification of river valley areas that threaten the chemical status of groundwater. These studies conducted in the Upper Ner basin showed the existence of a risk of releasing pollutants accumulated in the near-surface zone as a result of changes in pressure gradients in the aquifers (Krogulec et al. 2024).
The study is localised in a fragment of the upper part of the Ner River valley near Konstantynów Łódzki. The Ner is a right-bank tributary of the Warta River. Its sources are located in the Łódź area. The total length of the river is 124.1 km (Jokiel, Bartnik 2020). The study area was a hydrodynamically defined fragment of the aquifer system, in which water circulation occurs in the Quaternary, locally Neogene and the main usable aquifer of the Upper Cretaceous. The Ner Valley represents the regional drainage base level of the Cenozoic and Mesozoic aquifers. Geologically, the study area is located within the Mogilno-Łódź Basin, on the eastern side of the Lutomiersk anticline. The main usable aquifer is in Upper Cretaceous limestones and marls. Less important aquifers from the point of view of water withdrawal are found in sandy-gravel Quaternary sediments. Upper Cretaceous (Cr3) and Quaternary (Q) aquifers are mainly separated by glacial till and weathered carbonate formations of the Upper Cretaceous. In the Ner River valley, hydraulic contact between these two aquifers has been documented (Krogulec et al. 2024).
Since the most intensive exchange between surface water and groundwater occurs within the HZ, a section of the described aquifer system: a 3.91 km long riverbed with a 4.78 km2 section of the area surrounding the Ner Valley, was evaluated in detail (Fig. 1). The research was conducted in three profiles designated as H, E and C, approximately 5 km downstream of the discharge point from the Group Sewage Treatment Plant in Konstantynów Łódzki. Out of a total river flow of about 2 m3 · s−1 in the studied profiles, 1.71 m3 · s−1 of sewage water was discharged into the river, which significantly dominated the river flow.

Locations of research profiles and sampling points.
The field studies included:
morphological studies of riverbeds at profiles H, E and C,
measurement of Ner River flow rates using the velocity method with a Hega-2 hydrometric mill,
determination of VHGs utilising a gradient metre (Marciniak, Chudziak 2015),
collection of water temperature, pH and electrolytic conductivity (EC) using a multifunctional device from Eijkelkamp and measurement of redox potential and dissolved oxygen concentration with an Elmetron CX-401 multifunctional device in river water, HZs and groundwater.
Additionally, sediment samples were collected using a sludge pipe, water samples were collected from specified points within the HZ (H1, H2, H3, E1, E2, E3, C1, C2, C3), the main river stream (Er and Hr points) and groundwater samples from the ZP2 and A2 wells screening the Q and Cr3 aquifers, respectively. Water samples from the HZ were extracted 0.2 m below the river bottom using a gradient metre. Sampling sites (H1-3, E1-2, C1-3) were determined based on the total of 57 prior gradient metre VHG measurements to identify potential upwelling or downwelling areas. Water samples for chemical analysis were preserved in high-density polyethylene bottles and filtered using Whatman 0.45 μm filters. Spectrometry samples were treated with concentrated nitric acid according to Witczak et al. (2013).
Measurements of hydraulic conductivity of sediment samples were conducted using an Eijkelkamp permeability meter under constant gradient conditions (hydraulic gradient <0.5). Aqua Regia extraction was used to determine concentrations of various elements (Ag, Al, As, Ba, Be, Bi, Br, Ca, Cd, Co, Cr, Cu, Fe, Hg, K, Mg, Mn, Mo, Na, Ni, Pb, Si, Sn, Sr, Ti, V, W, Zn) in river sediments, following ISO11885/ISO172942 accredited method and Inductively Coupled Plasma Optical Emission Spectrometry (ICP-OES) emission spectrometry at the Wessling laboratory and Laboratory of Geomicrobiology and Environmental Geochemistry, Faculty of Geology, University of Warsaw.
To comprehensively document processes within the HZ, dependency analysis using Ward’s method with Euclidean distance was performed on standardised hydrochemical data using STATISTICA. Proportions of river and groundwater mixing were calculated based on chloride concentrations as a conservative component (Battin et al. 2003).
A numerical groundwater flow model was used to assess groundwater inflow from Upper Cretaceous and Quaternary aquifers in each profile and the mixing process of groundwater and river water was mapped using the Geochemist’s Workbench programme. Subsequently, the results obtained were compared with the laboratory-determined composition of water samples collected from the HZ.
Groundwater flow modelling was done using Visual ModFlow Flex 7.0, Waterloo Hydrogeologic software based on a finite difference method algorithm (McDonald, Harbaugh 1988) for steady-state conditions. The model included the aquifer system in the Ner River valley within the HZ, with the area discretised into calculation blocks (∆x = ∆y = 10 m) spanning 160 rows and 275 columns, totalling 44,000 active calculation blocks. The vertical discretisation included two Quaternary aquifers and the Upper Cretaceous aquifer, with the first aquifer divided into three computational layers to better represent the HZ’s presence. Model calibration utilised data from 25 head observations in piezometers near the C, E and H cross-sections, and MODPATH was employed to establish the relationship between Ner River surface water and groundwater in each aquifer, with particle starting points positioned along the river section at 10 m intervals.
Based on regional and local studies, the Ner Valley is the primary drainage basin for water from all aquifers, including the Upper Cretaceous. This hypothesis was verified through field investigations that determined the direction of water flow exchange within the HZ. Positive VHGs predominated across all survey profiles, indicating aquifer drainage (Fig. 2). The vertical flow was quantified by VHG values averaging +0.033 m · m−1, ranging from -0.200 m · m−1 to +0.120 m · m−1. Among the 57 measurement points in the C, E and H profiles, four exhibited negative VHG values, suggesting downwelling (Fig. 2). These findings were associated with the edges of the riverbed.

Vertical hydraulic gradients (VHGs) [m · m−1] and dominant directions of water flow in hyporheic zone (HZ) at locations where water samples were taken for chemical analysis (marked with arrows).
Hyporheic waters in river bottom sediments have lower EC values than river water. The values of EC in the HZ range from 0.469 mS · cm−1 in the H2 profile to 1.070 mS · cm−1 in the E3 profile, averaging 0.705 mS · cm−1, while in the river, the values are between 1.229 mS · cm−1 and 1.307 mS · cm−1. The water temperature ranges from 15.1°C to 16.9°C, in the HZ in the H profile, characterised by groundwater drainage, which is higher than the river water temperature by 0.1–0.7°C. The redox potential of water in the HZ has negative values ranging from –7.8 mV to –116 mV, which, when combined with low oxygen concentrations in the range of 0.72–1.93 mgO2 · dm−3, indicates reducing conditions. The river water environment has a redox potential of -28 mV to +132 mV with a higher oxygen content of 3.13–4.04 mgO2 · dm−3. The pH is highly variable, with values ranging from a weakly acidic pH of 6.46 to a weakly alkaline pH of 7.30, both values representing surface waters. Waters of the HZ are represented in the narrower range of 6.50–7.13.
The results of the bottom sediment permeability indicate good or locally medium permeability, which significantly promotes HEF. The hydraulic conductivity in the studied profiles reaches a maximal value of 3.45 · 10−4 m · s−1, with an average of 2.40 · 10−4 m · s−1. Lower values, on average 3.59 · 10−5 m · s−1, characterise points located in the flank zone of the riverbed, in the H1 and C1 profiles and in the middle part of the E profile, at the E2 point.
The process of calibrating the flow model involved finding a solution to an inverse model, the results of which were compared with data measured directly in the field. Calibration was performed for 25 points, representing all aquifers: 20 points for the subsurface aquifer (Layer #2), 2 points for the lower Quaternary aquifer (Layer #5) and 3 points for the Upper Cretaceous aquifer (Layer #7) (Fig. 3).

Model calibration graph.
Based on the results of particle tracking in the three-dimensional model, three distinct types of water interactions in the river valley were identified:
Groundwater Drainage Sections: These sections exhibit groundwater drainage, indicating a movement of water from the aquifer towards the river.
River Water Infiltration Sections: In these are as, river water infiltrates into the surrounding groundwater, particularly near zones of water withdrawal from the Cretaceous aquifer.
Infiltration into Groundwater Followed by Drainage Sections: This type of interaction involves infiltration of river water into the groundwater, followed by subsequent drainage back towards the river.
Model simulations revealed that approximately 26% of the studied Ner River section experiences inflow into the water withdrawal zone, while river-groundwater-river exchange accounts for 29% (Fig. 4; Table 1). The average distance of the lateral HZ between meanders or within the same meander is approximately 143 m, with an estimated exchange duration of about 13 years based on an average flow velocity of 11.15 m · year−1 (Fig. 4; Table 1). This flow is present in areas with developed meanders, commonly known as mid-meander exchange (Magliozzi et al. 2018), although it also occurs in more linear river sections, albeit to a lesser extent. Field measurements of VHGs further validate the presence of infiltration zones within individual hydrometric cross-sections, particularly evident in the H and E profiles, where infiltration zones are observed along the inner bends of meanders. Furthermore, substantial river water infiltration into aquifers occurs between the H and E profiles in the central river section, influenced by extraction wells in the Ignacew area. Groundwater flow budget analysis indicates an inflow of approximately 4 m3 · day−1.

Infiltration zones of Ner River waters.
Characteristics of the hyporheic exchange flow (HEF).
| Parameters | Average distance | Minimal distance | Maximal distance | Standard deviation | Average travel time to drainage zone | Average velocity | Percentage of the river length |
|---|---|---|---|---|---|---|---|
| [m] | [a] | [m a−1] | [%] | ||||
| All paths | 389.48 | 10.57 | 1117.49 | 307.88 | 20.24 | 19.24 | 55.24 |
| Paths within Ner River drainage zone (light green in Fig. 4) | 143.42 | 10.57 | 566.88 | 138.23 | 12.86 | 11.15 | 29.41 |
| Paths to groundwater intake (dark green in Fig. 4) | 669.64 | 408.41 | 1117.49 | 183.13 | 28.63 | 23.39 | 25.83 |
Under the defined hydrodynamic conditions, the proportion of river water in the HZ, as determined by chloride concentrations, ranged from 2.11% to 21.45%, with higher values observed in areas where VHGs were negative, indicating downwelling. The comparison of mixing results between surface water and groundwater with the laboratory-determined chemical composition of the HZ waters revealed interesting insights. Specifically, there was a distinct enrichment of HZ waters in iron (Fe) and manganese (Mn) ions (Fig. 5). Notably, the E1 measurement point showed intensive infiltration of river water into the alluvium, indicated by a VHG of -0.200 m · m−1.
The observed enrichment of Fe and Mn in HZ waters relative to surface water and groundwater aligns with findings from previous studies by Buss et al. (2009), Dong et al. (2020) and Ziułkiewicz (2022), among others. The increase in Fe and Mn content in HZ waters in the presence of organic matter is associated with reducing conditions that facilitate the mobilisation of metals accumulated within the alluvium. In addition to the redox potential (Eh) measurements, the enrichment of HZ waters in ammonium (NH4+) ions (except at the E1 point) and depletion of nitrate (NO3–) ions were observed. The metal content in the HZ was lower at sites characterised by higher hydraulic conductivity and strong positive VHGs. This effect was particularly evident for barium (Ba), calcium (Ca) and magnesium (Mg).

Comparison of laboratory-determined content of selected components in the hyporheic zone (HZ) waters with content calculated by hydrogeochemical models [mg · dm−3].
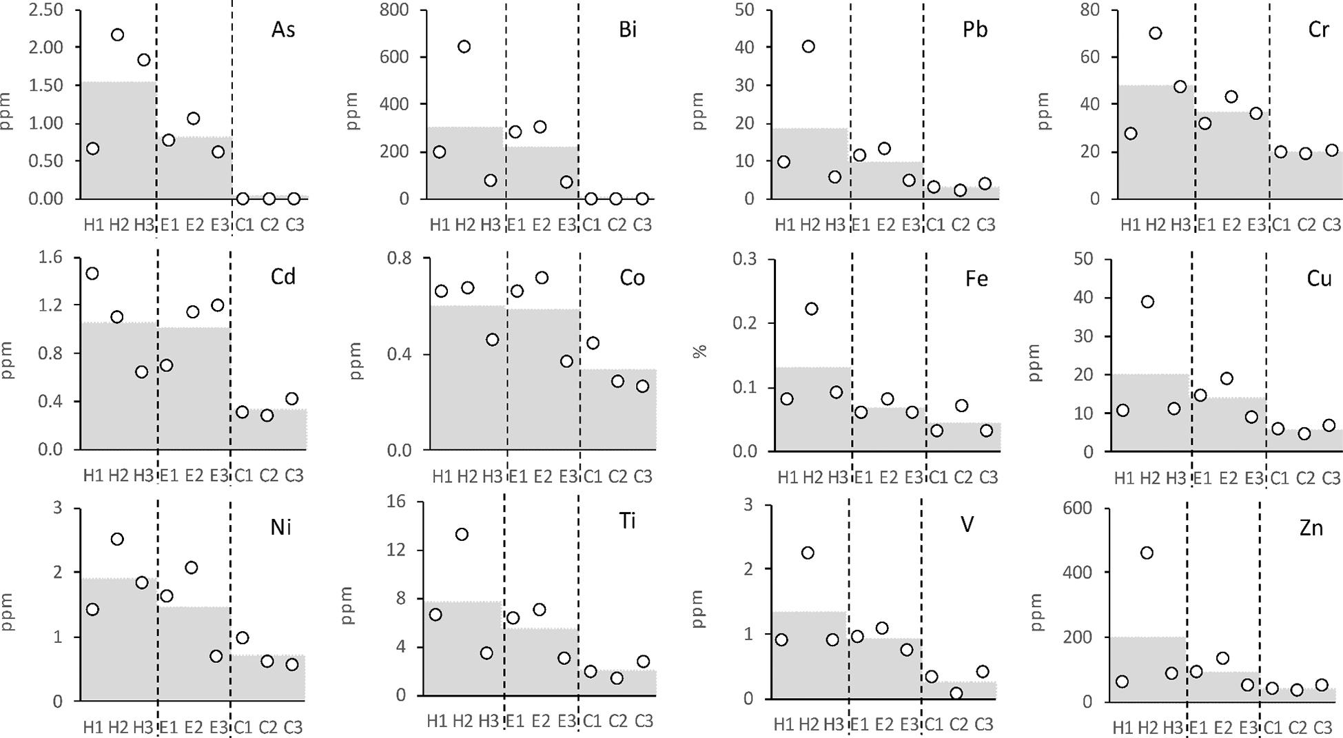
Studies of Ner riverbed sediments have revealed the presence of potentially toxic elements (PTEs), including mercury, silver, lead, cadmium, chromium, copper and zinc, in concentrations exceeding levels indicating sediment contamination that could adversely affect aquatic organisms (Krogulec et al. 2024). Analysis of individual profiles shows that the highest concentrations of these elements were found in the H cross-section, particularly in the central part of this profile (H2 point), which is closest to the sewage discharge site. Conversely, the lowest concentrations were observed in the C profile, located farthest from the treatment plant. The H cross-section exhibits the greatest variability in PTE content, while the C cross-section shows the least variability.
Based on the study results, it can be inferred that as the distance from the wastewater discharge site increases, the average concentration of PTEs in the alluvium decreases, and there is a trend towards uniformity in concentrations across the river’s cross-sectional profile (Fig. 6).

Concentrations of selected elements in the alluvium of Ner River (average values for each profile studied shown in grey).
The HZ represents a very dynamic environment where water chemistry reflects the complex interaction between surface water, groundwater, as well as the interaction of this mixture with organic and inorganic sediments accumulated in the riverbed. Describing such a dynamic and interconnected system presents significant challenges, yet insights gained from our research shed light on existing relationships.
Cluster analysis of the studied waters reveals two primary groups (Fig. 7). The first group, distinct from others, comprises surface waters of the Ner River sampled in the E and H profiles (Er and Hr points). The second group encompasses groundwater from the Quaternary and Upper Cretaceous aquifers, as well as waters from the HZ. Notably, in this group, the close proximity between waters of the Quaternary aquifer and those of the HZ within the C cross-section is deserving of mention. Along the entire length of the C profile, positive VHGs indicate river drainage, predominantly from the Quaternary aquifer. The C profile is located in an area where contact between the Quaternary and Cretaceous aquifers may be limited by the presence of weathered limestone and marls. This restricted contact is supported by the observed piezometric pressure differences between Cr3 and Q, reported by Murzynowski and Małecki (1982), which is approximately 2.4 m.

Dendrogram of hydrochemical similarity of the studied waters.
The dendrogram also underscores the distinctiveness of waters from the Upper Cretaceous aquifer. Numerical flow model calculations suggest a relatively minor drainage contribution from this aquifer to the Ner River, reaching a maximum of 14.7%.
The significant distances on the dendrogram between the Cr3, Q and river water levels indicate how important changes in chemistry can occur when river water heavily infiltrates into aquifers. This is an important premise for the design process of sustainable water resources management in the area, where measures should be taken to reduce groundwater quality degradation. These measures should address the reduction in rapid wastewater discharges, which can cause leaching of previously deposited sediments and their movement with the runoff to places where PTE concentrations are lower in the sediments (E and C profiles), and at the same time, can cause an increase in downwelling at high surface water levels. The threat of contamination most affects the first, Quaternary aquifer, but due to local good hydraulic contact with deeper aquifers (e.g. E profiles), Cr3 aquifer may also be affected. It has been shown that a variety of originating contaminants may migrate, such as metals (mercury, silver, lead, cadmium, chromium, iron, manganese, copper and zinc), and contaminants accompanying the decomposition of organic matter (nitrogen compounds). The second aspect is the issue of verifying the size of the exploitable resources of the groundwater withdrawal in Ignacew and the size of the current water permit through modelling studies, which applies especially to the A2 well closest to the Ner valley. The amount of withdrawal at which the pressures between the Q and Cr3 aquifers will be equalised should be considered risky.
The comprehensive characterisation of the HZ, encompassing both flow dynamics and hydrochemistry, necessitates a combination of field and laboratory studies alongside model testing. Correlating the chemical composition alongside model-derived flow volume estimates consistently supports the findings.
Through investigations conducted on the Ner River, valuable insights were derived regarding the HZ of a heavily anthropogenically impacted river:
- –
HZ Dynamics: The study identified that while the river serves as a regional drainage base level for all aquifers, specific zones exhibit flows within the meanders, facilitating surface water infiltration (representing 29% of the river’s length) within the river valley. Direct measurements of VHGs confirmed the presence of infiltration zones. Additionally, infiltration associated with water inflow to extraction wells was observed along 26% of the analysed section length.
- –
Hydraulic Conductivity of River Bottom Sediments: Hydraulic conductivity tests revealed that river bottom sediments are predominantly well or moderately permeable, suggesting that water exchange within the HZ is generally unrestricted.
- –
Physicochemical Variability: Field measurements of physicochemical parameters in riverbed sediments, surface water and groundwater exhibit significant variability, particularly in dissolved oxygen concentration and redox parameters sensitive to environmental conditions. Elevated EC values in surface waters reflect the influence of treated wastewater discharge.
- –
Water Mixing and Contaminants: Water mixing models demonstrated enrichment of HZ waters in ammonium, iron and manganese ions, accompanied by depletion of nitrate ions, indicative of reducing conditions promoting the mobility of accumulated metals within alluvium. The presence of PTEs, including mercury, silver, lead, cadmium, chromium, copper and zinc, was observed. Profiles indicated higher concentrations of these elements in cross-sections nearest the wastewater treatment plant discharge point.
- –
Implications for Water Environment Management: Understanding the factors influencing water exchange in the HZ is critical for predicting scenarios affecting the water environment within the river valley and its broader drainage area.
The findings of this study provide essential insights into the complex dynamics and hydrochemical processes occurring within the HZ and highlight the importance of integrated approaches combining field observations, laboratory analyses and numerical modelling for effective environmental management and conservation efforts.