Figure 1

Figure 2

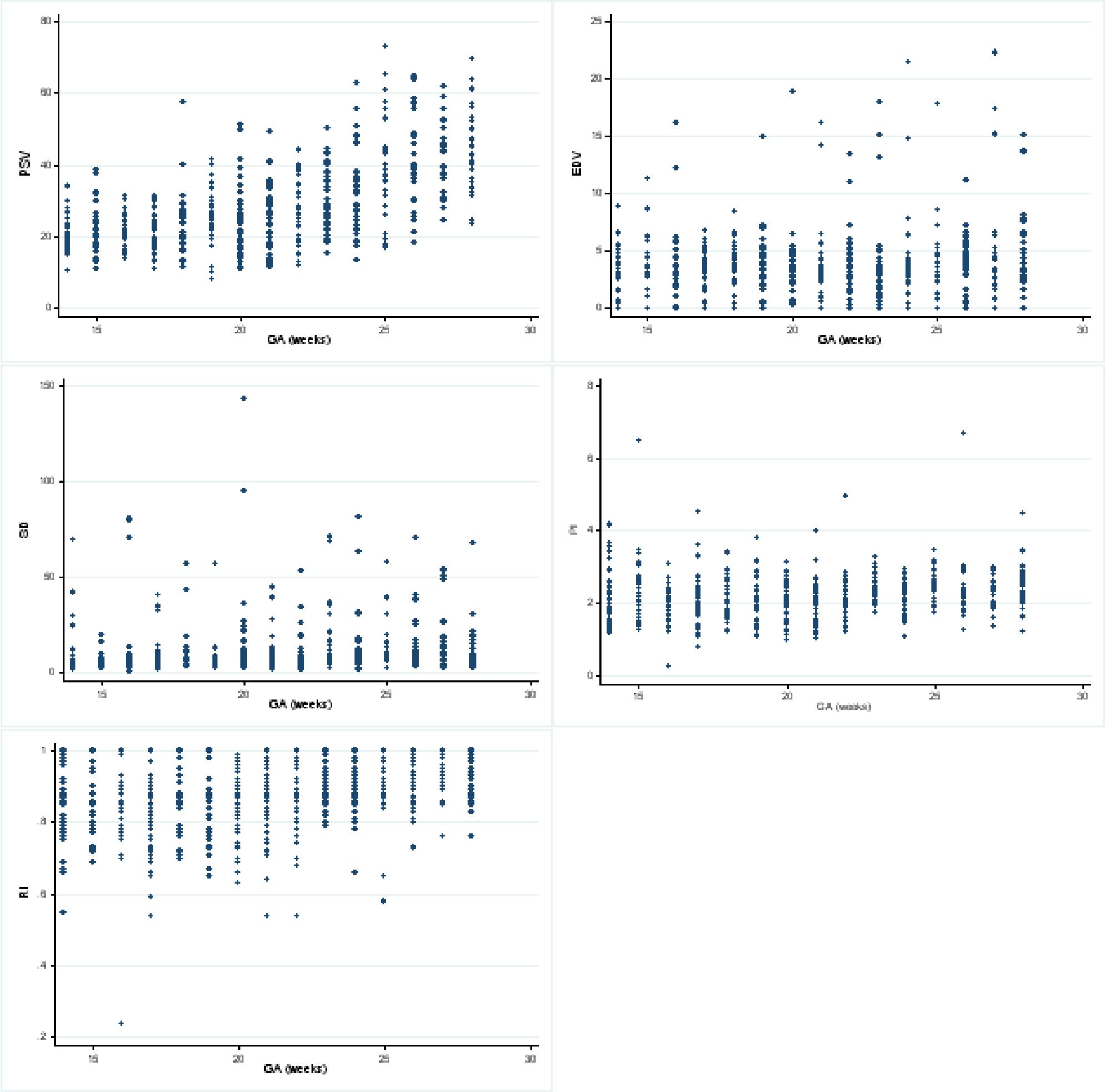
Figure 3

Doppler indices of the fetal renal artery Doppler indices with 5th and 95th percentiles_
| GA | No. | PSV | EDV after omission of fetuses with AEDV | S/D | PI | RI after omission of fetuses with AEDV | ||||||||||
|---|---|---|---|---|---|---|---|---|---|---|---|---|---|---|---|---|
| (weeks) | Mean | Percentile | Mean | Percentile | Mean | Percentile | Mean | Percentile | Mean | Percentile | ||||||
| 5th | 95th | 5th | 95th | 5th | 95th | 5th | 95th | 5th | 95th | |||||||
| 14 | 34 | 17.78 | 10.36 | 30.52 | 2.99 | 0.89 | 10.06 | 5.38 | 2.54 | 20.98 | 1.92 | 1.20 | 3.06 | 0.815 | 0.622 | 0.940 |
| 15 | 29 | 18.85 | 10.98 | 32.35 | 3.04 | 0.9 | 10.20 | 5.59 | 2.59 | 22.43 | 1.95 | 1.22 | 3.10 | 0.823 | 0.634 | 0.945 |
| 16 | 31 | 19.98 | 11.64 | 34.29 | 3.08 | 0.92 | 10.34 | 5.80 | 2.64 | 24.02 | 1.97 | 1.24 | 3.15 | 0.831 | 0.645 | 0.949 |
| 17 | 48 | 21.18 | 12.34 | 36.35 | 3.12 | 0.93 | 10.49 | 6.03 | 2.7 | 25.76 | 2.00 | 1.26 | 3.20 | 0.839 | 0.657 | 0.953 |
| 18 | 30 | 22.45 | 13.08 | 38.53 | 3.17 | 0.94 | 10.63 | 6.27 | 2.76 | 27.66 | 2.03 | 1.27 | 3.25 | 0.847 | 0.668 | 0.957 |
| 19 | 32 | 23.80 | 13.87 | 40.84 | 3.21 | 0.96 | 10.78 | 6.53 | 2.82 | 29.76 | 2.06 | 1.30 | 3.29 | 0.854 | 0.679 | 0.961 |
| 20 | 43 | 25.23 | 14.70 | 43.29 | 3.25 | 0.97 | 10.93 | 6.81 | 2.89 | 32.06 | 2.09 | 1.31 | 3.34 | 0.862 | 0.690 | 0.965 |
| 21 | 41 | 26.74 | 15.58 | 45.89 | 3.30 | 0.98 | 11.09 | 7.10 | 2.96 | 34.60 | 2.13 | 1.33 | 3.39 | 0.869 | 0.700 | 0.968 |
| 22 | 37 | 28.34 | 16.52 | 48.64 | 3.35 | 1.00 | 11.24 | 7.41 | 3.03 | 37.40 | 2.16 | 1.35 | 3.44 | 0.876 | 0.711 | 0.971 |
| 23 | 36 | 30.05 | 17.51 | 51.56 | 3.39 | 1.01 | 11.40 | 7.74 | 3.10 | 40.49 | 2.19 | 1.37 | 3.49 | 0.883 | 0.722 | 0.975 |
| 24 | 37 | 31.85 | 18.56 | 54.66 | 3.44 | 1.02 | 11.56 | 8.10 | 3.18 | 43.92 | 2.22 | 1.39 | 3.55 | 0.889 | 0.732 | 0.978 |
| 25 | 26 | 33.76 | 19.67 | 57.94 | 3.49 | 1.04 | 11.72 | 8.48 | 3.26 | 47.73 | 2.26 | 1.41 | 3.60 | 0.896 | 0.742 | 0.981 |
| 26 | 32 | 35.78 | 20.85 | 61.41 | 3.54 | 1.05 | 11.88 | 8.89 | 3.35 | 51.96 | 2.29 | 1.44 | 3.65 | 0.901 | 0.752 | 0.983 |
| 27 | 26 | 37.93 | 22.10 | 65.10 | 3.59 | 1.07 | 12.05 | 9.33 | 3.44 | 56.67 | 2.32 | 1.46 | 3.71 | 0.908 | 0.761 | 0.986 |
| 28 | 30 | 40.21 | 23.43 | 69.00 | 3.64 | 1.08 | 12.22 | 9.79 | 3.53 | 61.92 | 2.36 | 1.48 | 3.76 | 0.914 | 0.770 | 0.988 |
The population characteristics
| Variable | Number | Percentage |
|---|---|---|
| Mother’ age (years) | ||
| ≤19 | 25 | 4.9 |
| 20–34 | 346 | 67.6 |
| ≥35 | 141 | 27.5 |
| Gravida | ||
| 1 | 194 | 37.9 |
| 2 | 158 | 30.9 |
| 3 | 104 | 20.3 |
| 4 | 36 | 7.0 |
| ≥5 | 20 | 3.9 |
| Para | ||
| 1 | 233 | 45.5 |
| 2 | 186 | 36.3 |
| ≥3 | 65 | 12.7 |