Figure 1

Figure 2

Figure 3

Figure 4

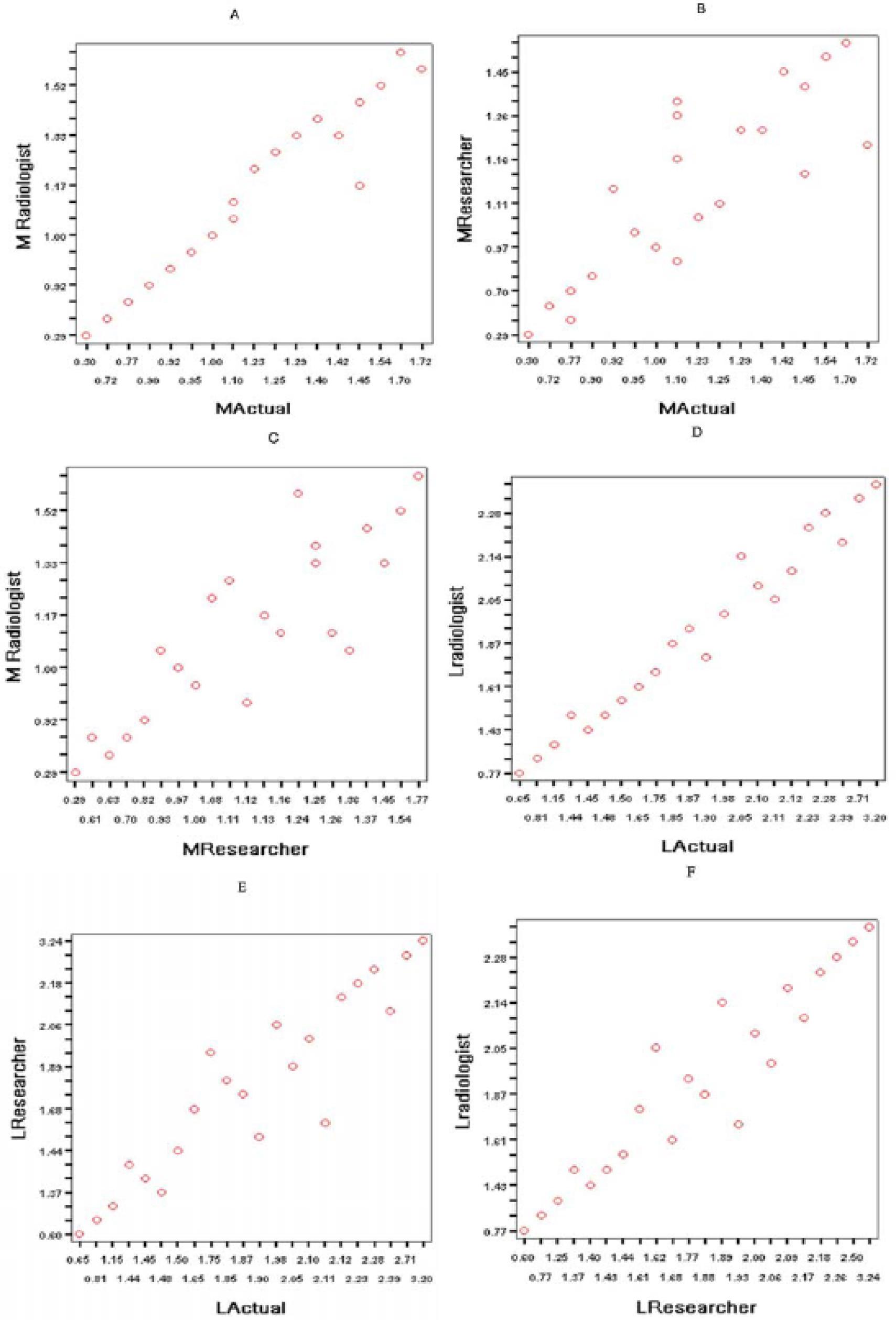
Precision of magnetic resonance imaging-based analysis of tibial cartilage in osteoarthritis
| Volume (cm3) | Minimum | Maximum | Mean | SD | CV% |
|---|---|---|---|---|---|
| Medial tibia | |||||
| Radiologist | 0.29 | 1.63 | 1.13 | 0.32 | 28.13 |
| Researcher | 0.29 | 1.77 | 1.10 | 0.34 | 31.02 |
| Actual volume | 0.30 | 1.72 | 1.14 | 0.35 | 30.23 |
| Lateral tibia | |||||
| Radiologist | 0.77 | 3.17 | 1.84 | 0.55 | 30.22 |
| Researcher | 0.60 | 3.24 | 1.78 | 0.57 | 31.91 |
| Actual volume | 0.65 | 3.2 | 1.85 | 0.58 | 31.44 |
Basic characteristics of 22 patient participants
| Characteristic | Mean | Range |
|---|---|---|
| Age (y) | 70.7 | 58–85 |
| Body weight (kg) | 69.2 | 53–92 |
| Height (cm) | 153.7 | 143–162 |
| Body mass index (kg/cm2) | 29.3 | 21.6–35.9 |