
Figure 1
Overview of the recording process. (a) The sheet music of measures 8–15 from Tchaikovsky’s Piano Concerto No. 1 in B Flat Minor, Op. 23, 1st movement. (b) During the recording process, the pianist is supposed to play synchronously with the backing track. In a real-life recording process, the pianist and conductor interact for optimal synchronization and cohesion between the piano and orchestra. In our scenario, however, playing along with a pre-recorded accompaniment is a difficult task for the performer. To address this challenge, they listen to metronome-like click tracks sonified using measure (solid green) and beat (dashed green) annotations in addition to the orchestral accompaniments. As the result of a final mastering step, PCD comprises dry and reverberant synchronous recordings of piano and orchestra accompaniments selected from 15 different piano concertos and their mixes.
Table 1
Multitrack instrumental datasets in the Western classical music domain, indicating the number of recordings (#R) and their total duration (Dur) in hh:mm:ss.
| NAME & AUTHOR | # R | DUR |
|---|---|---|
| WWQ (Bay et al., 2009) | 1 | 00:09:00 |
| TRIOS (Porter, 2012) | 5 | 00:03:12 |
| PHENICX (Schedl et al., 2016) | 4 | 00:10:36 |
| Bach10 (Miron and Martorell, 2017) | 10 | 00:05:30 |
| URMP (Li et al., 2019) | 44 | 01:36:00 |
| EnsembleSet (Sarkar et al., 2022) | 9 | 01:03:34 |
| PCD | 81 | 00:16:12 |
Table 2
Overview of the dataset indicating the work identifier (WorkID), composer, full name of the work, movement (Mvm), performer identifier (PID), number of versions (#V), number of excerpts (#E), and total duration in seconds (Dur). The versions here refer to distinct performances recorded under different acoustic conditions and played on different pianos.
| WORKID | COMPOSER | FULL NAME | MVM | PID | #V | #E | DUR |
|---|---|---|---|---|---|---|---|
| Bach_BWV1056-01 | J. S. Bach | Piano Concerto in F Minor, BWV 1056 | 1 | YO | 2 | 10 | 120 |
| Beethoven_Op015-01 | Beethoven | Piano Concerto No. 1 in C major, Op.15 | 1 | MM | 1 | 6 | 72 |
| Beethoven_Op019-01 | Beethoven | Piano Concerto No. 2 in B Flat Major, Op. 19 | 1 | ES | 2 | 4 | 48 |
| Beethoven_Op037-01 | Beethoven | Piano Concerto No. 3 in C Minor, Op. 37 | 1 | ES | 2 | 4 | 48 |
| Beethoven_Op037-02 | Beethoven | Piano Concerto No. 3 in C Minor, Op. 37 | 2 | LR | 1 | 1 | 12 |
| Beethoven_Op058-02 | Beethoven | Piano Concerto No. 4 in G Major, Op. 58 | 2 | ES | 2 | 2 | 36 |
| Chopin_Op021-03 | Chopin | Piano Concerto No. 2 in F Minor, Op. 21 | 3 | ES | 1 | 5 | 60 |
| Grieg_Op016-01 | Grieg | Piano Concerto in A Minor, Op. 16 | 1 | ES | 1 | 1 | 12 |
| Mendelssohn_Op025-01 | Mendelssohn | Piano Concerto No. 1 in G Minor, Op. 25 | 1 | ES | 2 | 2 | 24 |
| Mozart_KV414-01 | Mozart | Piano Concerto No. 12 in A Major, KV.414 | 1 | YO | 1 | 2 | 24 |
| Mozart_KV467-01 | Mozart | Piano Concerto No. 21 in C Major, KV.467 | 1 | YO | 1 | 5 | 60 |
| Mozart_KV467-02 | Mozart | Piano Concerto No. 21 in C Major, KV.467 | 2 | YO | 2 | 6 | 72 |
| Rachmaninov_Op018-01 | Rachmaninov | Piano Concerto No. 2 in C Minor, Op.18 | 1 | JL | 1 | 5 | 60 |
| Rachmaninov_Op018-02 | Rachmaninov | Piano Concerto No. 2 in C Minor, Op. 18 | 2 | JL | 1 | 5 | 60 |
| Rachmaninov_Op018-03 | Rachmaninov | Piano Concerto No. 2 in C Minor, Op. 18 | 3 | JL | 1 | 5 | 60 |
| Rachmaninov_Op030-01 | Rachmaninov | Piano Concerto No. 3 in D Minor, Op. 30 | 1 | ES | 2 | 6 | 72 |
| Saint_Op022-01 | Saint-Saëns | Piano Concerto No. 2 in G Minor, Op. 22 | 1 | ES | 1 | 2 | 24 |
| Schumann_Op054-01 | Schumann | Piano Concerto in A Minor, Op. 54 | 1 | ES | 2 | 4 | 48 |
| Tschaikovsky_Op023-01 | Tchaikovsky | Piano Concerto No. 1 in B Flat Minor, Op. 23 | 1 | ES | 2 | 6 | 72 |
| Σ | 81 | 972 |
Table 3
Overview of different rooms where the recordings took place, number of excerpts recorded in each room (#E), and their total duration in seconds (Dur). Note that the piano model is different in each acoustic environment.
| ROOM ID | ROOM DESCRIPTION | PIANO | #E | DUR |
|---|---|---|---|---|
| R1 | Lecture Hall (Fraunhofer IIS) | Yamaha C3 | 15 | 180 |
| R2 | Private Studio (Jeremy Lawrence) | Yamaha C3X | 15 | 180 |
| R3 | Music Academy (Emre Şen) | Seiler | 21 | 252 |
| R4 | Saygun Concert Hall (Bilkent University) | Steinway D | 30 | 360 |
| Σ | 81 | 972 |

Figure 2
Various bar plots describing the dataset. The number of selected 12-second excerpts is indicated by the horizontal axis per (a) composer, (b) performer, and (c) acoustic environment.
Table 4
PCD dimensions, encoded in filenames.
| DIMENSION | DESCRIPTION | EXAMPLE |
|---|---|---|
| ComposerID | Composer Identifier | Bach |
| WorkNo | Op./BWV/KV | BWV1056 |
| MovementNo | Movement Number | 01 |
| MeasRange | Measure Range | mm001-008 |
| PID | Performer Identifier | YO |
| VersionID | Version Identifier | V2 |
| StemType | (O)rchestra/(P)iano | OP |
| Reverb | Presence of Reverb | reverb |

Figure 3
An impression from the recording process in R4 with stereo spot microphones (two Schoeps MK4). To play synchronously with the orchestra, the performer listens to the MMO orchestral accompaniment (superimposed by click tracks) via Beyerdynamic DT 770 Pro headphones.

Figure 4
Screenshot of our web-based interface with Track Switcher (Werner et al., 2017), which comprises six tracks of dry and reverberant recordings of an excerpt from Tchaikovsky’s Piano Concerto No. 1 in B Flat Minor, Op. 23, 1st movement.

Figure 5
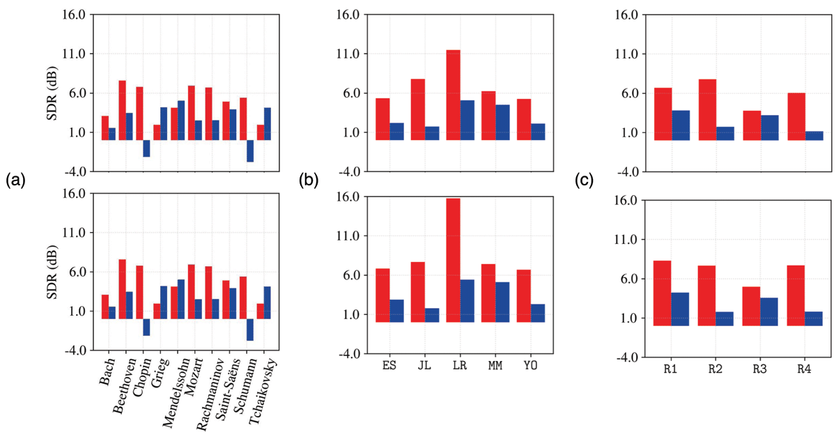
Comparison of Signal-to-Distortion-Ratio (SDR) values for the separation of piano (red) and orchestra (blue), averaged over (a) composer, (b) performer, and (c) acoustic environment. The bar plots on top indicate the results based on reverberant recordings, on the bottom dry.
