
Table 1
Summary of common dimensional emotion models.

Figure 1
Discrete emotions placed in VAT space.

Figure 2
Musical features mapped to expressed affect.

Table 2
Composition Guide for affective Western music.

Table 3
Genre and Instrumentation of IsoVAT corpus.

Figure 3
Reduced score for Arousal set 7.

Table 4
Arousal-manipulating features as manipulated in Arousal set 7.

Table 5
Means and standard deviations in confusion matrices for 2-rank study results.

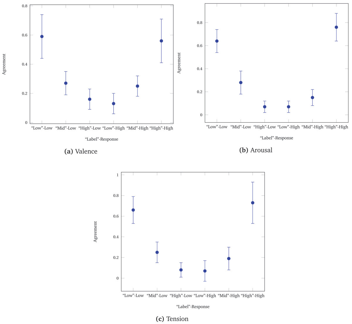
Figure 4
Means and standard deviations for each clip’s ground-truth label-response pairing.

Table 6
Agreement values from 1-rank study for ground-truthed order and composed labels.

Table 7
Medians, Absolute deviations, and Chi Square tests for Likert responses.

Table 8
Central comparison of ground truth order by study design and final ground-truth order, see Section 6.4.

Figure 5
Reduced score for mid clips in valence sets 5 and 6.

Figure 6
Reduced score for Valence 8-High.

Figure 7
Reduced score for valence set 2.
