
Abbildung 1
DigiPartIndex Schweiz, Werte für alle Schweizer Kantone auf einer Skala von 0 bis 100 (Daten: Serdült et al. 2021).

Abbildung 2
Verteilung der erklärenden Variablen Bevölkerung (2019), Wirtschaftsleistung (BIP, 2017), Altersstruktur (Anteil über 65 Jährige, 2020) und Offenheit des politischen Systems (eigener Indikator, Stand 2022) in den Schweizer Kantonen (Daten: Bundesamt für Statistik; kantonale Verfassungen).

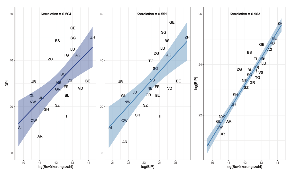
Abbildung 3
links: Bivariate Regressionslinie (mit 95% Konfidenzintervall) und Korrelation zwischen Bevölkerungszahl (logarithmiert) und dem Score auf dem DigiPartIndex für alle Schweizer Kantone. mitte: Bivariate Regressionslinie (mit 95% Konfidenzintervall) und Korrelation zwischen kantonalem BIP (logarithmiert) und dem Score auf dem DigiPartIndex für alle Schweizer Kantone. rechts: Bivariate Regressionslinie (mit 95% Konfidenzintervall) und Korrelation zwischen logarithmierter Bevölkerungszahl und Wirtschaftsleistung für alle Schweizer Kantone.

Abbildung 4
Bivariate Regressionslinie (mit 95% Konfidenzintervall) und Korrelation zwischen dem Anteil an Bewohner:innen über 65 Jahren in einem Kanton und dem Score auf dem DigiPartIndex für alle Schweizer Kantone.

Abbildung 5
Bivariate quadratische Regressionskurve (mit 95 % Konfidenzintervall) zwischen Offenheit des politischen Systems und dem Score auf dem DigiPartIndex für alle Schweizer Kantone.

Abbildung 6
Bivariate lineare Regressionslinie (mit 95% Konfidenzintervall) und Korrelation zwischender Offenheit des politischen Systems und dem Score auf dem DigiPartIndex für alle Schweizer Kantone.

Abbildung 7
Bivariate Regressionslinie (mit 95% Konfidenzintervall) und Korrelation zwischen dem BIP per Capita und dem Score auf dem DigiPartIndex für alle Schweizer Kantone.

Abbildung 8
Möglicher Mechanismus als Erklärung des kurvilinearen Zusammenhangs zwischen der Offenheit des politischen Systems und dem DPI-Score.
