1. Introduction
From the 1960s through the 1980s sea turtle (Cheloniidae) populations in the Eastern Pacific, especially those of green sea turtles (Chelonia mydas), declined in abundance to the point of near extinction (Cliffton et al. 1982; Delgado-Trejo and Alvarado-Diaz 2012; Early-Capistrán et al. 2017; Plotkin et al. 2012; Seminoff et al. 2012a). Hunting of sea turtles from the mid-19th through the mid-20th century seems to have been one driver of this decline (Caldwell 1963; Conrad and Pastron 2014; Early-Capistrán et al. 2017; Nichols 2003; O’Donnell 1974), but previous studies have not explored the potential role of habitat change in the historic turtle population crash (Early-Capistrán et al. 2017; Plotkin et al. 2012; Delgado-Trejo and Alvarado-Diaz 2012). As habitat change contributes to declining sea turtle abundance today (Hawkes et al. 2009; Saba 2012) and known sea surface temperature changes have occurred since the mid-19th century in the eastern Pacific Ocean (Douglas 1980), it is possible that changes in turtle diet, reflecting the habitat and sea surface temperature changes, contributed to sea turtle population declines in the 20th century.
Research on this this topic has likely not occurred previously for two logistical reasons: a lack of credibly-dated historic zoological and zooarchaeological specimens; and difficulties in determining the correct taxon of those specimens, particularly those from archaeological sites. Whalers, mariners and maritime passengers, the primary groups hunting sea turtles during the 1800s, typically discarded turtle carcasses overboard in open water after consuming the animals (Conrad and Pastron 2014; O’Donnell 1974), with very few specimens, if any, arriving in museums for curation. Compounding the paucity of specimens is the difficulty in identifying sea turtle remains using bone morphology (e.g., Armitage 2013; Frazier 2005; Smith et al. 2007). Different sea turtle species share gross morphological skeletal characteristics (Wyneken 2001). Elements that are distinct morphologically (e.g., entoplastron) are easily fragmented and often absent from skeletal zooarchaeological collections.
Here, we use ancient DNA analysis to identify two archaeological sea turtle specimens that date to the middle 19th century to species level. We then compare the carbon (δ13Ccol/ap), nitrogen (δ15N), oxygen (δ18Oap) and hydrogen (δD) isotopic data from archaeological and modern specimens to assess dietary change between 19th century and present-day eastern Pacific Ocean sea turtles and what it may indicate about the influence of habitat modification on 20th century sea turtle populations.
1.1. Gold Rush Sea Turtle Exploitation
The human population increase associated with the California Gold Rush led to a shortage of food in the booming towns and cities throughout the San Francisco Bay and the Sierra Nevada region (Bancroft 1888; Soulé et al. 1854). Eastern Pacific sea turtles were one resource exploited to satisfy this need (Conrad and Pastron 2014). The maritime migration to the gold fields created a large demand for food resources, and this coincided with the proliferation of sea turtle hunting in northwestern Mexico and eventually a direct sea turtle trade bringing turtles from the Baja California area to northern California during the 1850s and after (Conrad and Pastron 2014).
The transport of sea turtles to be used as food is seen in the archaeological record. At Thompson’s Cove (CA-SFR-186H), located near the Financial District of modern-day San Francisco, excavations recovered a single sea turtle (Cheloniidae) flipper phalanx in food refuse deposits dating to the early 1850s (Figure 1; Conrad et al. 2015; see Pastron and Bruner 2014 for additional chronological information). Morphological similarity in sea turtle phalanges (with the exception of leatherback sea turtles [Dermochelys coriacea]; Wyneken 2001) did not allow a species identification, but this specimen matched the size and morphology of a comparative green sea turtle skeleton from the Museum of Vertebrate Zoology, Berkeley.

Figure 1
Gold Rush-era sea turtle bones analyzed in this study. A: CA-SFR-186H phalanx and B: CA-SFR-195H costal carapace.
At CA-SFR-195H, an archaeological site on the San Francisco waterfront, excavations recovered the remains of a single sea turtle represented by 23 carapace, plastron and appendicular skeletal elements dating to the early 1850s (Figure 1; see Praetzellis 2017 and chronological information therein). Cutmarks on the carapace suggest this individual was butchered. A comparison with sea turtle specimens of known species at the California Academy of Sciences, San Francisco, suggested this was either a green or olive ridley (Lepidochelys olivacea) sea turtle.
1.2. Eastern Pacific Ocean Environmental Change
Global climate change impacts sea turtle populations via a complex web of physical and biological interactions (Fuentes et al. 2010a, 2010b; Hawkes et al. 2009; Saba 2012). Sea turtles are at risk of losing nesting habitat and beaches due to both rising sea levels and anthropogenic modifications to limit sea level rise (e.g., sea walls). Reproduction loss or sex-ratio skewing (i.e., femininization) is also likely, due to changes in temperature that drive turtle sex determination during incubation (Jensen et al. 2018). Most importantly for this study, changes also occur in sea turtle diets due to shifts in sea surface temperature and, thus, habitat structure and prey abundance in nearshore areas (Koch et al. 2013). The exact impacts and responses of these processes are region- and species-specific, but changes in climate clearly impact modern sea turtles (Fish et al. 2005; Fuentes et al. 2010a, 2010b). As an example, long-term shifts in atmospheric pressure, temperature, and rainfall impact sea turtle nesting patterns in northern Australia due to decreases in herbivorous food resources for turtles (especially green sea turtles) which affect fat reserves required for breeding (Limpus and Nicholls 2000; see also Saba et al. 2007 for the eastern Pacific).
In the eastern Pacific Ocean, climate-related events may also directly affect sea turtle populations by impacting food web dynamics (Chavez et al. 2003; Hernández-Carmona et al. 2011; Kahru and Mitchell 2000; Saba 2012; Turk et al. 2001). Green sea turtles are primarily herbivorous, consuming seagrass, but dietary studies suggest that this species may also exhibit omnivorous behavior depending on foraging location and condition (Amorocho and Reina 2008; López-Mendilaharsu et al. 2005; Seminoff et al. 2002, 2008). Because sea turtles are sensitive to oceanic and terrestrial temperature shifts (Davenport 1997; Fuentes et al. 2010a, 2010b) and marine primary productivity is also influenced by temperature changes (Koch et al. 2013), long-term climatic changes may have impacted habitat conditions and resource availability for eastern Pacific sea turtles in the past. An example of this process is the decline of sea grass (Zostera marina) in modern eastern Pacific coastal lagoons (Riosmena-Rodriguez et al. 2013).
Few long-term sea turtle habitat studies exist for the eastern Pacific, but sea surface temperatures have fluctuated through time in this region, particularly during the mid-19th century (D’Arrigo et al. 2005). Sea surface temperatures were cooler during the 1800s than today (Kennedy et al. 2011; Rayner et al. 2003), but in the eastern Pacific Ocean the 1840s–1860s experienced an anomalous period of warm summers (~21–23.5°C) with temperatures +2.0°C greater than the period between 1671–1800 (Douglas 1980). This suggests that sea turtle diets may have shifted during the mid-19th century due to broad changes in sea surface temperature that directly affected predator-prey relationships and dietary resources (Etnoyer et al. 2006).
These background changes in sea surface temperatures and thus sea turtle habitats leave an unanswered question: were sea turtle diets significantly different in the 19th and 20th centuries? We analyze Gold Rush-era sea turtle bone stable isotopes, as a proxy for dietary and habitat ecology, and compare these values with modern specimens to determine if there is evidence for change in turtle diet between the 1850s and today.
2. Methods
Because sea turtles forage on a diverse range of resources, even within the same species (Jones and Seminoff 2013), identification of changing ecology is only possible if the data under consideration derive from the same species and geographic area. We therefore use ancient DNA analysis to assign a species affiliation to the archaeological specimens, and then bone collagen and apatite stable isotope analyses to identify diet (i.e., trophic status) in both archaeological turtles and modern comparatives.
Carbon (δ13Ccol) and nitrogen (δ15N) bone collagen stable isotopes provide information regarding habitat and resource use (DeNiro and Epstein 1978, 1981). δ13Ccol is used as a proxy to differentiate sources of primary production (i.e., plants) due to isotopically defined differences in their physiological pathways (Kharlamenko et al. 2001; Maberly et al. 1992; McConnaughey and McRoy 1979) whereas δ15N is used to estimate trophic level since it predictably fractionates when moving up within the food chain (Cabana and Rasmussen 1996; Minagawa and Wada 1984; Post 2002; Reich et al. 2007). Hydrogen isotopes (δD) in bone collagen (protein) are also used to trace basal energy sources in ecosystems where primary producers present a high range of isotopic variation (Estep and Dabrowski 1980; Cole et al. 2011; Doucett et al. 2007; Pagès Barceló 2018). Finally, bone apatite carbon (δ13Cap) stable isotopes also identify sources of primary production, but in terms of aggregated protein, carbohydrate and lipid macronutrients, while oxygen (δ18Oap) stable isotopes provide information regarding sources of body water, whether from consuming food (water in diet), ingesting water (sea water) or breathing (Coulson et al. 2008; Langlois et al. 2003). These stable isotopes provide a quantifiable technique to systematically examine dietary and habitat information for both 19th century and modern sea turtles.
This mixed method approach, using ancient DNA analysis alongside the analysis of multiple isotope systems, allows for the identification of Gold Rush-era sea turtle samples and a comparison of past and present dietary ecology.
2.1. Ancient DNA (aDNA) extraction, PCR analysis
All pre-polymerase chain reaction (PCR) activities were conducted in the ancient DNA laboratory at the Laboratories of Molecular Anthropology and Microbiome Research (LMAMR), University of Oklahoma, Norman, OK. This laboratory is a dedicated workspace for processing degraded, aged, and low copy number (LCN) DNA samples. Precautions aimed to minimize and monitor the introduction of contamination are practiced in the laboratory.
DNA was extracted from bone samples CA-SFR-186H and CA-SFR-195H in separate batches, each accompanied by an extraction negative control to which no bone was added. Approximately 39.2 mg was carefully subsampled from CA-SFR-186H and 30 mg from CA-SFR-195H. Each subsample was submerged in 6% (w/v) sodium hypochlorite (NaOCl) for 4 min and the bleach poured off. The samples were then twice submerged in DNA-free water, with the water poured off following submersion. Samples were transferred to 1.5 mL tubes, to which aliquots of 500 μL of Ethylenediaminetetraacetic acid (EDTA) were added, and gently rocked at room temperature for >48 hours. DNA was extracted following the WSU method described by Kemp et al. (2014).
DNA extracts were tested for the presence of co-extracted PCR inhibitors following Kemp et al. (2014), using ancient turkey DNA as a positive control. Neither extract contained sufficient inhibitors to prevent amplification of turkey DNA control.
Primers were designed to amplify a 167 base pair (bp) region of the cytochrome oxidase I (COI gene), spanning nucleotide position 5590 to 5756 of the loggerhead turtle (Caretta caretta) full mitochondrial DNA reference sequence (NC_016923.1). Sequences of this amplicon spanning 5614 to 5734 can be used as a barcode to discriminate between all extant sea turtles (e.g., Elmeer and Almalki 2011): loggerhead turtle, green, Kemp’s ridley (Lepidochelys kempii), olive ridley, hawksbill (Eretmochelys imbricata), flatback (Natator depressus), and leatherback (Table 1).
Table 1
Single nucleotide polymorphisms (SNPs) of the cytochrome oxidase I (COI) gene used to differentiate the extant species of sea turtles.
| Reference position | 5614 | 5616 | 5622 | 5625 | 5626 | 5628 | 5631 | 5637 | 5649 | 5650 | 5652 | 5661 | 5664 | 5668 | 5670 | 5673 |
|---|---|---|---|---|---|---|---|---|---|---|---|---|---|---|---|---|
| Caretta caretta | A | C | C | T | G | C | C | C | A | T | A | A | A | G | T | A |
| Chelonia mydas | — | T | T | — | — | — | — | T | C | C | — | T/C | — | — | C | — |
| Dermochelys coriacea | G | T | — | C | — | T | — | — | C | C | T | — | — | — | C | G |
| Eretmochelys imbricata | — | T | T | C | — | T | —/T | — | — | C | — | — | — | — | C | — |
| Lepidochelys. kempii | — | — | T | C | — | — | T | — | — | C | — | — | G | — | — | — |
| Lepidochelys olivacea | — | T | T | A | —/A | — | T | — | — | C | — | —/G | G | —/A | — | — |
| Natator depressus | — | — | T | C | — | — | — | — | C | C | — | C | — | — | — | — |
PCRs of 15 μL contained 1× Omni Klentaq Reaction Buffer, 0.32 mM dNTPs, 0.24 μM of each primer, 0.3 U of Omni Klentaq LA polymerase, and 1.5 μL of template DNA. PCR cycling conditions consisted of: 1) a 3 min hold at 94°C, 2) 60 cycles of 15 second holds at 94°C, 56°C and 68°C, and 3) a 3 min hold at 68°C. Successful amplification was confirmed by separating 2 μL on 2% agarose gels, which were stained with GelRed and visualized under ultraviolet light. PCRs were conducted with full concentration extracts and 1:10 dilutions of those extracts.
Following unsuccessful amplification of the CA-SFR-195H specimen 1:10 dilution, Rescue PCR was employed in an attempt to replicate results from the full concentration amplicon. Rescue PCR was conducted, as described by Johnson and Kemp (2016) by increasing the concentrations of dNTPs, buffer, primers, and Klentaq by 25%. PCR reaction conditions were as described above.
Amplicons were sequenced in both directions at MC Lab (South San Francisco, CA). Sequencher (version 5.4.6) was used to align the sequences to the full Caretta caretta mitochondrial genome (NC_016923.1).
2.2. Collagen Analysis (δ13Ccol, δ15N, dD)
After cutting a small portion of bulk bone, we demineralized the sea turtle samples in 0.5 N hydrochloric acid (HCl) at 5°C for 24 hours and rinsed all samples to neutrality using deionized water. Lipid extraction involved immersing the samples in a solution of 2:1 chloroform:methanol (C2H5Cl3) for 24 hours (repeated three times). We sonicated samples for 15 minutes to ensure complete chemical saturation after each immersion. At the end of 72 hours we rinsed all samples to neutrality and lyophilized the samples for 24 hours. Approximately 0.5–0.6 mg of bone collagen was then placed into tin capsules for carbon (δ13Ccol) and nitrogen (δ15N) stable isotope analysis. For hydrogen (δD) isotope samples, approximately 0.1–0.2 mg of bone collagen was placed into silver capsules for analysis.
Carbon and nitrogen samples were measured on a Costech 4010 elemental analyzer (Valencia, California, USA) coupled to a Scientific Delta V isotope ratio mass spectrometer at the University of New Mexico, Center for Stable Isotopes (UNM-CSI), Albuquerque, NM. We measured hydrogen samples on a Finnigan high-temperature conversion elemental analyzer (TC/EA) coupled to a Thermo Scientific Delta V Plus mass spectrometer by a Conflo IV (see Sharp et al. 2001 for details on the high temperature conversion method) at UNM-CSI. Atmospheric N2 is the internationally accepted standard used for nitrogen and V-PDB for carbon.
We weighed hydrogen standards and samples into silver capsules and allowed the samples to sit in the laboratory for at least two weeks before analysis to ensure equilibrium between the exchangeable hydrogen in tissue and local atmosphere (Sauer et al. 2009). Hydrogen data is corrected using three laboratory keratin standards (δDnon-ex = –174‰, –93‰, and –54‰) of which the δDnon-ex values were previously determined through a series of atmospheric exchange experiments. Since the samples under analysis are bone collagen, a UNM-CSI cow (Bos taurus) bone collagen standard was also analyzed and gave a within-run standard deviation of <1.5‰. Internal-lab hydrogen standards are corrected to Vienna-Standard Mean Ocean Water (V-SMOW). The H3 factor is 5.6. Weight percent carbon and nitrogen concentrations provide a measure of collagen contamination (Ambrose 1990). Sea turtle samples ranged between 2.7 and 2.9 suggesting intact and preserved collagen without contaminates. Collagen precision (SD) for within-run analyses is <0.1‰ for δ13Ccol and δ15N, and <1.5‰ δD. We report isotope values in delta (δ) notation, calculated as: [(Rsample/Rstandard) – 1] × 1000, where Rsample and Rstandard are the ratios (e.g., 13C/12C, 15N/14N) of the unknown and standard material. Delta values are reported as parts per thousand, or per mil (‰).
2.3. Apatite analysis (δ13Cap, δ18Oap)
We powdered and homogenized bone apatite (structural carbonate) samples and cleansed both samples of organics with a treatment of 3% hydrogen peroxide (H2O2) for 24 hours. After the removal of organics the samples were rinsed to neutrality using a combination of deionized water and centrifugation. For removal of labile carbonates we treated the samples with 0.1 M buffered acetic acid (CH3COOH) for 30 minutes. All samples were vortexed after 15 minutes to ensure chemical saturation. Samples were rinsed to neutrality and then left to air-dry for 24 hours in a fume hood. Finally, approximately 8.0–10.0 mg of homogenized bone apatite powder was placed into exetainer vials and reacted with phosphoric acid at 50°C for 6 hours. This reaction produced CO2 for carbon (δ13Cap) and oxygen (δ18Oap) stable isotope analysis. We analyzed samples at the UNM-CSI on a Thermo Scientific GasBench (Bremen, Germany) coupled to a Delta V isotope ratio mass spectrometer. Apatite precision for within-run analysis is <0.5‰ for δ13Cap and δ18Oap (see 2.2 for definition of delta values). Vienna Pee Dee Belemnite (V-PDB) is the internationally accepted standard used in this study for bone apatite carbon and oxygen isotopes.
2.4. Isotopic Comparative Data, Corrections and Analysis
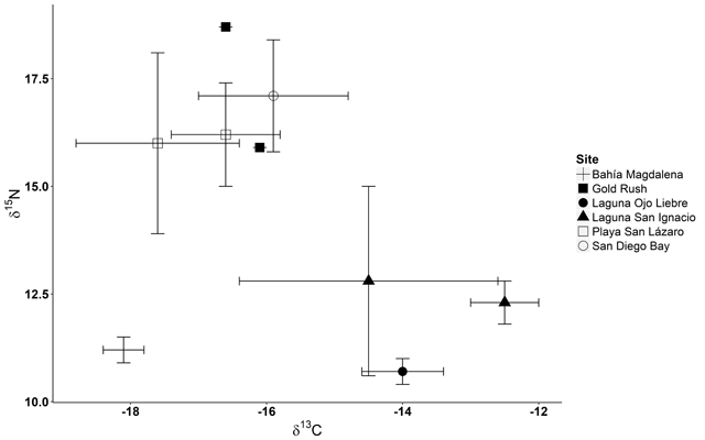
Studies of living sea turtle stable isotopes are typically conducted on skin, blood and plasma tissues non-invasively to understand Cheloniidae isotopic discrimination, foraging ecology, and migration (Arthur et al. 2014; Hatase et al. 2002, 2006; Reich et al. 2007; Seminoff et al. 2006, 2009, 2012b; Shimada et al. 2014; Wallace et al. 2006). The addition of bone collagen and apatite analyses also provides insights into the latter processes, specifically foraging ecology, and for the purposes of this study, helps provide a dataset to compare modern and archaeological samples. Pioneering work on sea turtle bone stable isotopes has demonstrated their value in understanding sea turtle and ocean water physiological processes, species-specific identifications (Biasatti 2002, 2004), isotopic assimilation and paleoclimatic relationships (Coulson et al. 2008), and the effects of bone preparation protocols, ontogenetic shifts, migration, residency duration and tissue-specific isotopic discrimination (Turner Tomaszewicz et al. 2015, 2016, 2017, 2018). We include bone apatite δ13Cap and δ18Oap comparisons with modern leatherback, olive ridley and green sea turtles from the Caribbean (Biasatti 2002, 2004). In addition, bone collagen comparisons occur in two forms. First, a direct bone-to-bone δ13Ccol and δ15N analysis and second, corrected bone-to-skin δ13Ccol and δ15N analysis from eastern Pacific green sea turtles (Figure 2; Lemons et al. 2011; Lewis 2009; Rodríguez-Barón 2010; Turner Tomaszewicz et al. 2015, 2016, 2017, 2018).

Figure 2
Map of the location of eastern Pacific Ocean sea turtle specimens discussed in text. Archaeological: SF = 1850s Gold Rush samples from San Francisco, California. Modern: SD = San Diego Bay, LOL = Laguna Ojo Liebre, LSI = Laguna San Ignacio, PSL = Playa San Lázaro and BM = Bahía Magdalena.
As the archaeological samples were from bones that were over 150 years old, there are two corrections required to make our dataset comparable with modern eastern Pacific sea turtles. We apply a –0.8‰ δ13Ccol&ap “Suess effect” correction to the Gold Rush samples to account for changes in atmospheric carbon between the 1850s-today (Francey et al. 1999; Indermuhle et al. 1999; Leuenberger et al. 1992; Sonnerup et al. 1999), and we use the following two equations to account for sea turtle bone-to-skin isotopic discrimination (from Turner Tomaszewicz et al. 2017):
These corrections allow our archaeological bone samples to more directly compare with bone and non-bone tissues from modern sea turtles. All analyses and visualizations were conducted in R (3.4.1) and RStudio (1.0.143) and are available open-access as source code deposited in the UNM digital electronic repository, LoboVault (Conrad et al. 2017).
3. Results
3.1. Ancient DNA
Both CA-SFR-186H and CA-SFR-195H specimens were identified as green sea turtles (Chelonia mydas) based on COI sequence (Table 1). Independent amplifications for each sample (full and 1:10 concentration for CA-SFR-186H and full and rescue for CA-SFR-195H) confirm these species identifications.
3.2. Gold Rush-Modern Sea Turtle Foraging Ecology
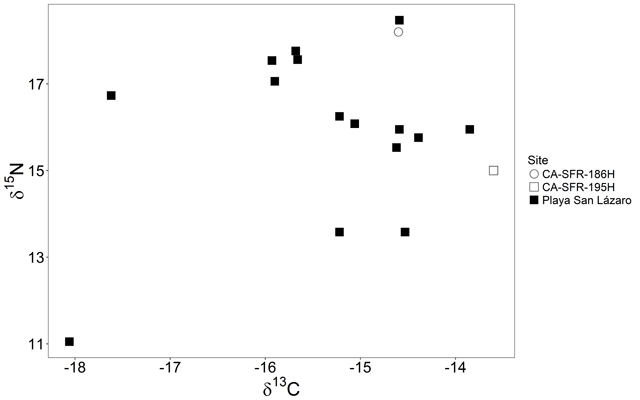
Direct bone-to-bone δ13Ccol and δ15N comparisons indicate similarity in Gold Rush-era and modern sea turtle protein sources (Figure 3). There are no significant differences in δ13Ccol (Wilcoxon: W = 25, p = 0.16) or δ15N (Wilcoxon: W = 17, p = 0.82) between the 1850s samples and modern green sea turtles from Playa San Lázaro, Baja California Sur, Mexico (see Turner Tomaszewicz et al. 2015; 2017; 2018) when examining these isotopic systems. Only one Gold Rush sea turtle is slightly more δ13Ccol enriched (–14.4‰) than the mean of Playa San Lázaro turtles (–15.4 ± 1.16‰). However, after correcting bone collagen-to-skin (Table 2) and comparing with a larger sample of green sea turtles, the pattern of δ13Ccol enrichment in our 1850s samples disappears (Figure 4). There are no significant differences in δ13C (Wilcoxon: W = 5.5, p = 0.77) or δ15N (Wilcoxon: W = 11, p = 0.33), and the larger sample of green sea turtle skin values encompasses the δ13C variation present between the 1850s (–16.6‰ and –16.1‰) and modern (–15.6 ± 2.03‰) samples.

Figure 3
Comparison of bone collagen-to-collagen values for two Gold Rush samples from San Francisco, California and 15 dead-stranded eastern Pacific green sea turtles collected between 2004–2011 along a 45-km stretch of beach at Playa San Lázaro, Baja California Sur, México (see Turner Tomaszewicz et al. 2015).
Table 2
Summary of stable isotope results for the Gold Rush-era sea turtle specimens from San Francisco, California. *Calculated following equations in Turner Tomaszewicz et al. 2017.
| CSI ID | ST01 | ST02 |
|---|---|---|
| Taxon | Chelonia mydas | Chelonia mydas |
| Site Number | CA-SFR-186H | CA-SFR-195H |
| δ13Ccol | –14.6 | –13.6 |
| δ13CcolSuess | –15.4 | –14.4 |
| δ15N | 18.2 | 15.0 |
| δ13Cskin* | –16.6 | –16.1 |
| δ15Nskin* | 18.7 | 15.9 |
| δ13Cap | –2.8 | –8.0 |
| δ13CapSuess | –3.6 | –8.8 |
| δ18Oap | 7.5 | –3.5 |
| δD | –3.9 | –76.0 |
| %N | 15.5 | 15.2 |
| %C | 42.6 | 43.6 |
| C:N (weight %) | 2.7 | 2.9 |

Figure 4
Comparison of corrected bone collagen-to-skin values in both Gold Rush sea turtles (see methods; following Turner Tomaszewicz et al. 2017), and bulk skin values for eastern Pacific green sea turtle populations. Mean and standard deviation bars reported, if available. Data from the following sources: Bahía Magdalena, México (Rodríguez-Barón 2010), Gold Rush, San Francisco, CA, USA (this study), Laguna Ojo Liebre, México (Rodríguez-Barón 2010), Laguna San Ignacio, México (Lewis 2009; Rodríguez-Barón 2010), Playa San Lázaro, México (Turner Tomaszewicz et al. 2017, 2018), and San Diego Bay, CA, USA (Lemons et al. 2011). The Playa San Lázaro green turtle samples represent a bulk skin dataset and a bone collagen-to-skin dataset (Turner Tomaszewicz et al. 2018).
Isotopic spacing (△δ13Capatite-collagen) between Suess-corrected bone apatite and collagen is +11.8‰ and +5.6‰ for the specimens from CA-SFR-186H and CA-SFR-195H, respectively. The Gold Rush sea turtles have different oxygen (+7.5‰ and –3.5‰) and hydrogen (–3.9‰ and –76.0‰) stable isotope values (Table 2). The 1850s sea turtle specimen more enriched in δ18Oap is also more enriched in δD (Table 2).
4. Discussion
4.1. Species Identification
Both Gold Rush-era archaeological samples were identified as green sea turtles using aDNA analysis. Historical records suggest that green turtles were the species of choice for maritime passengers traveling to San Francisco during the 1850s because of their taste and relative abundance throughout the eastern Pacific (Conrad and Pastron 2014; O’Donnell 1974). However, zooarchaeological analysis was unable to distinguish these specimens as green sea turtles due to morphological similarity between the recovered elements and modern sea turtle skeletal comparatives. Only the application of aDNA techniques provided final confirmation.
Difficulty in identifying archaeological sea turtle remains is a common problem for zooarchaeologists. For example, in an analysis of archaeological sea turtle remains from the western coast of Mexico, only 4–5% of specimens were identifiable to species (Smith et al. 2007). Bone apatite studies have suggested that it is possible to identify sea turtles based on differences in carbon isotopes (Biasatti 2002, 2004), but results from our study can neither support nor refute this argument, due to our small sample size.
4.2. Long-term Eastern Pacific Sea Turtle Diet
Modern eastern Pacific green sea turtles are omnivorous and consume sea grasses, algae and invertebrates, but this varies with foraging location (i.e., pelagic versus neritic) and between green sea turtle populations (Arthur et al. 2008; Bjorndal 1997; Hatase et al. 2006; Seminoff et al. 2002, 2006, 2008; Turner Tomaszewicz et al. 2018). These location-specific variables make comparisons between Gold Rush and modern sea turtle specimens difficult, especially given that both 1850s samples lack exact data on their ontogenetic age, date of capture and location of capture. However, our sea turtle stable isotope results indicate overall dietary consistency through time for δ13Ccol, δ15N and δ13Cap. Given that bone collagen primarily reflects dietary protein sources (Ambrose and Norr 1993; Lee-Thorp et al. 1989), these values suggest consumption of a consistent protein source in the eastern Pacific (Amorocho and Reina 2007; Seminoff et al. 2002) and high intrapopulation variation in foraging (Turner Tomaszewicz et al. 2018; Pagès Barceló 2018).
The differences in δ18Oap and δD between archaeological and modern samples have other implications. It is possible that differences in δ18Oap indicate environmental differences in the eastern Pacific in the 1850s. Modern Caribbean sea turtle populations exhibit δ18Oap values that are only slightly enriched (<+3‰) from 0‰ (Biasatti 2002). Since, by definition, mean ocean water δ18O = 0‰ (Sharp 2017) these sea turtle δ18Oap values are consistent with physiological fractionation of oxygen isotopes after consuming (water from plants/animals), ingesting (sea water) or breathing water sources (Coulson et al. 2008; Langlois et al. 2003).
However, the large spread in δ18Oap values in our Gold Rush samples suggests different processes: diagenetic alteration (see Koch et al. 1997; Wang and Cerling 1994) and stress induced fractionation are two possibilities. These Gold Rush-era sea turtles were removed from ocean water and were kept alive aboard ships for weeks, if not months, without food (Conrad and Pastron 2014), during their transport to San Francisco. In plants and birds, stress can cause oxygen, hydrogen (Farris and Strain 1978; Yakir et al. 1990) and nitrogen (Fuller et al. 2005; Hobson et al. 1993) isotopic fraction. It is unknown how, or if, stress relates to oxygen isotope fractionation in sea turtles (or the potential turnover time for stress-related fractionation in bone tissues), but we suspect that removal from their aquatic environment for an extended period may have influenced their individual δ18Oap values. Analysis of sea turtle bone phosphate oxygen isotopes also indicates that bone growth occurs over a consistent and narrow body temperature range (≤ ±2.0 °C; Coulson et al. 2008), providing further evidence that our Gold Rush samples fall outside of their expected known normal range of variation.
Finally, stable hydrogen isotopes from bone collagen may also provide an alternative source for understanding foraging ecology for both Gold Rush-era specimens. Hydrogen isotopes assimilate into tissues from diet and water (Hobson et al. 1999) and tend to correlate with nitrogen isotopes from protein derived food sources (Birchall et al. 2005). It is therefore likely that the δD values in our 1850s sea turtles reflect foraging trophic level (e.g., Pagès Barceló 2018), but their large range and relationship with δ18Oap (indicating possible stress-induced fractionation) requires further investigation.
5. Conclusion
Eastern Pacific sea turtle populations are currently recovering from steep declines during the 20th century. The results of this study show little difference in eastern Pacific Ocean environmental and foraging dynamics since the 1850s, but sample size limits more definitive conclusions. On one hand, isotope results may support evidence suggesting that major declines in sea turtle populations derive from anthropogenic over-exploitation, egg collection, by-catch and not habitat change, but on the other hand, these results may simply indicate that our 19th century samples fall within the range of modern sea turtle isotopic variation due to other unknown reasons.
We emphasize the need for additional historic ecological studies combining modern and ancient samples, and future controlled feeding and dietary studies to understand how carbon, nitrogen, oxygen and hydrogen stable isotopes assimilate, discriminate, and turn over between tissues in sea turtles. With these additional data it will be possible to employ long-term testing of sea turtle remains from archaeological sites worldwide (e.g., Frazier 2003) to understand shifts in environmental and population dynamics throughout the past. These data may help identify habitat and genetic changes that can support current and future conservation and protection programs for these important, endangered species.
Acknowledgements
We are extremely grateful for laboratory, analysis and reference support provided by Sherry Nelson, Laura Burkemper, Viorel Atudorei, Mary Praetzellis, Adrian Praetzellis, Sandra Konzak, Jeanette Wyneken, Jens Vindum, Carol Spencer, James Delgado, Caroline Byrne, Salomeh Sheridan and Arianne Avery. Thank you to the organizers of the 2016 Stable Isotopes in Zooarchaeology Working Group Meeting, and especially to Suzie Pilaar Birch, Meghan Burchell and Catherine West. Finally, thank you to two reviewers for their detailed comments and advice.
Competing Interests
The authors have no competing interests to declare.
