
Figure 1
Events representing the Procedure of Experiment 1. Panel A: LTM learning Phase. Panel B: WM encoding Phase; three different Conditions from Left to Right: (a) LTM Word Pair (b) LTM Singletons from different Word Pairs (c) New Words. Panel C: WM testing Phase: Typed Recall
Note. Doted frames represent the LTM words.

Figure 2
Proportion of immediate Recall Performance as a Function of Condition. Panel A: Overall Performance. Panel B: Performance for LTM and new Words for LTM conditions.

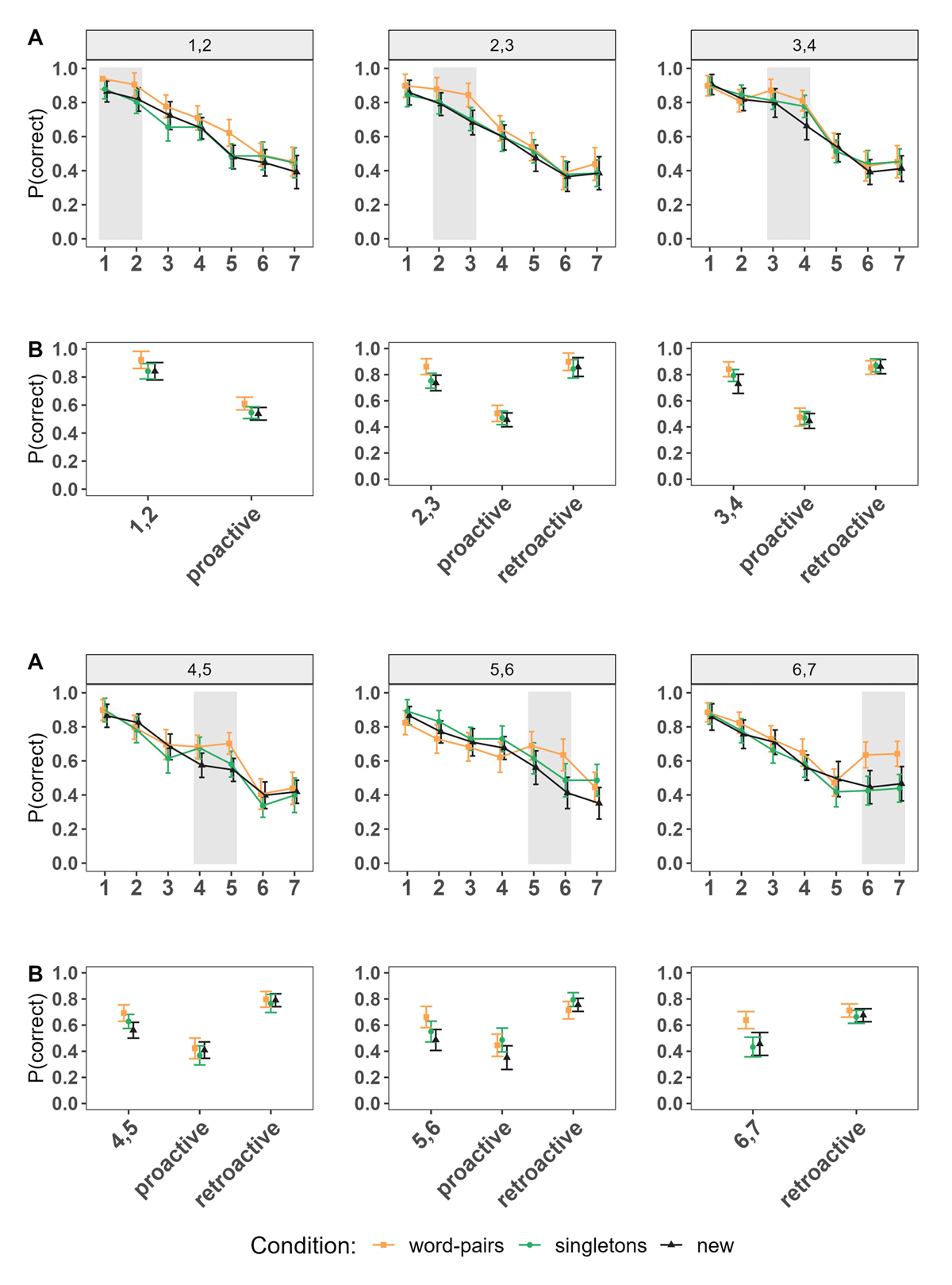
Figure 3
Experiment 1. Panel A: Serial Position Curves depending on the Serial Positions in which the LTM words were introduced within the List. Panel B: Performance of Words at the Serial positions of interest (LTM Words in the word pairs and singletons Conditions, Words at matching Positions of the new Condition); proactive and retroactive Performance.
Note. The numbers (e.g., 1,2) denote the serial positions at which the LTM words were introduced within the list in both LTM conditions, and correspond to the same positions of words in the new condition. Proactive and retroactive effects indicate the aggregated performance of words presented in serial positions following or preceding the introduction of LTM words, respectively. These specific serial positions are the same for words in the new condition to ensure an unbiased comparison.
Table 1
Experiment 1. Bayes factors (BF10) of the pairwise comparisons between conditions for each serial position in which the LTM words were introduced in the lists.
| WORD PAIRS VS SINGLETONS | WORDS PAIRS VS NEW | SINGLETONS VS NEW | |
|---|---|---|---|
| Serial positions 1,2 | 1.44 [0.89–3.39] | 2041.03 [730.03–7191.33] | 4.51 [3.18–5.09] |
| Proactive | 0.08 [0.05–0.18] | 0.06 [0.03–0.15] | 0.09 [0.06–0.22] |
| Retroactive | – | – | – |
| Serial positions 2,3 | 2.51 [1.66–6.01] | 776.12 [394.52–1860.73] | 0.53 [0.34–0.76] |
| Proactive | 0.06 [0.04–0.15] | 0.07 [0.04–0.18] | 0.09 [0.05–0.21] |
| Retroactive | 0.17 [0.11–0.32] | 0.07 [0.14–0.36] | 0.35 [0.23–0.58] |
| Serial positions 3,4 | 0.82 [0.45–2.35] | 24.06 [17.96–48.80] | .24 [0.13–0.47] |
| Proactive | 0.08 [0.05–0.18] | 0.06 [0.03–0.14] | 0.09 [0.05–0.20] |
| Retroactive | 0.16 [0.10–0.28] | 0.12 [0.07–0.21] | 0.54 [0.41–0.66] |
| Serial positions 4,5 | 0.21 [0.10–0.83] | 0.34 [0.17–1.40] | 0.08 [0.04–0.19] |
| Proactive | 0.11 [0.06–0.22] | 0.09 [0.06–0.19] | 0.11 0.07–0.24] |
| Retroactive | 0.11 [0.07–0.22] | 0.10 [0.06–0.23] | 0.43 [0.27–0.73] |
| Serial positions 5,6 | 27.25 [15.27–41.91] | 18.65 [9.01– 37] | 0.13 [0.07–0.27] |
| Proactive | – | – | – |
| Retroactive | 0.08 [0.05–0.18] | 0.06 [0.03–0.15] | 0.09 [0.05–0.23] |
[i] Note. Serial positions represent the positions in which the LTM words were introduced in the word pairs and singletons conditions, which are compared to the words presented at the same serial positions of the new condition.
Credible BFs are printed in bold.

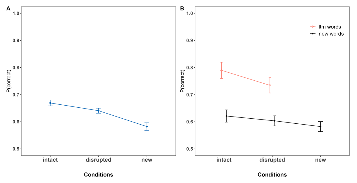
Figure 4
Proportion of immediate Recall Performance as a Function of Condition. Panel A: overall Performance. Panel B: Performance for highlighted red Words and new Words presented in black.
Note. In both the word pairs and singletons conditions, the red words represent the LTM words. In the new condition, however, the red words indicate new words highlighted in color red to establish a baseline and control for any potential salience effects.
Table 2
Experiment 2. Bayes factors (BF10) of the pairwise comparisons between conditions for each serial position in which the highlighted red words were introduced in the lists.
| WORD PAIRS VS SINGLETONS | WORDS PAIRS VS NEW | SINGLETONS VS NEW | |
|---|---|---|---|
| Serial positions 1,2 | 22 [12.40–78.13] | 116.80 [58.17–704.42] | .14 [0.08–0.32] |
| Proactive | 0.96 [0.53–1.79] | 1.36 [0.78–3.19] | 0.08 [0.04–0.19] |
| Retroactive | – | – | – |
| Serial positions 2,3 | 3.87 [1.52–20.47] | 72.09 [21.50–572.80] | 0.17 [0.04–0.15] |
| Proactive | 0.08 [0.04–0.18] | 0.11 [0.06–0.26] | 0.06 [0.04–0.15] |
| Retroactive | 0.24 [0.17–0.38] | 0.21 [0.14–0.34] | 0.18 [0.11–0.35] |
| Serial positions 3,4 | 0.32 [0.14–1.97] | 13.47 [5.03–71.59] | 0.58 [0.36–0.92] |
| Proactive | 0.06 [0.03–0.13] | 0.08 [0.04–0.14] | 0.08 [0.04–0.18] |
| Retroactive | 0.09 [0.06–0.19] | 0.08 [0.05–0.18] | 0.12 [0.07–0.24] |
| Serial positions 4,5 | 0.32 [0.14–1.82] | 11.89 [5.38–96.11] | 0.37 [0.21–0.72] |
| Proactive | 0.14 [0.08–0.34] | 0.06 [0.04–0.14] | 0.14 [0.09–0.30] |
| Retroactive | 0.10 [0.06–0.19] | 0.07 [0.04–0.17] | 0.10 [0.06–0.22] |
| Serial positions 5,6 | 1.67 [0.77–9.39] | 37.39 [13.18–294.45] | 0.18 [0.11–0.38] |
| Proactive | 0.10 [0.06–0.21] | 0.45 [0.27–1.01] | 2.22 [1.64–2.50] |
| Retroactive | 0.29 [0.20–0.45] | 0.09 [0.05–0.20] | 0.12 [0.07–0.25] |
| Serial positions 6,7 | 42.34 [18.05–224.15] | 23.64 [9.61–117.43] | 0.10 [0.06–0.21] |
| Proactive | – | – | – |
| Retroactive | 0.23 [0.14–0.52] | 0.09 [0.06–0.23] | 0.08 [0.05–0.21] |
[i] Note. Serial positions represent the positions in which the LTM words were introduced in the word pairs and singletons conditions, which are compared to the words presented at the same serial positions of the new condition.
Credible BF’s are printed in bold.

Figure 5
Experiment 2. Panel A: Serial Position Curves depending on the Serial Positions in which the highlighted Words were introduced within the list. Panel B: Performance of highlighted Words at the Serial Positions of interest; proactive and retroactive performance.
Note. The numbers (e.g., 1,2) denote the serial positions at which the highlighted red words were introduced within the list. They correspond to LTM words in both LTM conditions, and to the matching positions of words in the new condition. Proactive and retroactive effects indicate the aggregated performance of words presented in serial positions following or preceding the introduction of highlighted words, respectively.

Figure 6
Events representing the Procedure of Experiment 3. Panel A: LTM learning Phase. Panel B: on the Left Side, WM encoding phase; three different Conditions from Top to Bottom: (a) LTM Intact Structure Condition (b) LTM Disrupted Structure Condition (c) New Condition; on the Right Side, the different Templates used to create the Conditions; Panel C: WM testing Phase: Typed Serial Recall.

Figure 7
Proportion of immediate Recall Performance as a Function of Condition. Panel A: overall Performance. Panel B: Performance for LTM Word Pairs and new Words for LTM Conditions.

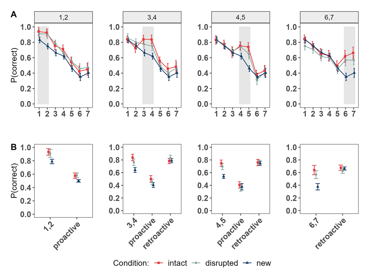
Figure 8
Experiment 3. Panel A: Serial Position Curves depending on the Serial Positions in which the LTM word pairs were introduced within the List. Panel B: Performance of Words at the Serial Positions of interest (LTM word pairs in the intact and disrupted Conditions; Words at matching Positions of the new Condition); proactive and retroactive Performance.
Note. The numbers (e.g., 1,2) denote the serial positions at which the LTM word pairs were introduced within the list in both LTM conditions, and correspond to the same positions of words in the new condition. Proactive and retroactive effects indicate the aggregated performance of words presented in serial positions following or preceding the introduction of LTM word pairs, respectively. These specific serial positions are the same for words in the new condition.
Table 3
Bayes factors (BF10) of the pairwise comparisons of new words between conditions in Experiment 3.
| INTACT VS DISRUPTED | INTACT VS NEW | DISRUPTED VS NEW | |
|---|---|---|---|
| Serial positions 1,2 | 0.15 [0.08–0.45] | 1.67 × 105 [1.96 × 104 –2.02 × 106] | 5008.62 [2.55 × 103 –1.88 × 104] |
| Proactive | 0.04 [0.02–0.10] | 15.71 [8.83–47.44] | 401.45 [1.69 × 102–2.34 × 104] |
| Retroactive | – | – | – |
| Serial positions 3,4 | 5.51 [3.65–14.40] | 5.41 × 105 [3.54 × 104–2.54 × 107] | 156.06 [57.31–4094.10] |
| Proactive | 0.26 [0.15–0.52] | 28.13 [16.66–51.10] | 0.52 [0.32–1.06] |
| Retroactive | |||
| Serial positions 4,5 | 0.44 [0.27–1.87] | 1.57 × 105 [1.26 × 104–1.72 × 106] | 772.92 [432.20–5198.13] |
| Proactive | 0.16 [0.09–0.33] | 0.08 [0.05–0.20] | 0.05 [0.03–0.13] |
| Retroactive | 0.05 [0.03–0.12] | 0.06 [0.04–0.15] | 0.05 [0.03–0.12] |
| Serial positions 6,7 | 0.67 [0.42–2.51] | 2.56 × 105 [4.50 × 104–9.12 × 106] | 6217.68 [1060.70–1. 60 × 106] |
| Proactive | – | – | – |
| Retroactive | 1.50 [0.90–2.85] | 0.05 [0.03–0.12] | 0.89 [0.56–1.61] |
[i] Note. Serial positions represent the positions in which the LTM words were introduced in the intact and disrupted conditions, which are compared to the words presented at the same serial positions of the new condition.
Credible BF’s are printed in bold.
