Table 1
The indications for PCB dilation (n = 70).
| – Difficult punctures | 6 |
| – Painful arm swelling | 3 |
| – Impaired dialysis flow | 2 |
| – Prominent scapular venous collaterals | 1 |
| – Lack of maturation | 1 |
| – Clotting during dialysis | 1 |
| – Fistula thrombosis | 1 |
| – One echo-Doppler surveillance program positive criterion at least | 55 |
Table 2
Echo-Doppler criteria for significant stenosis.
| – Vein diameter < 3 mm | |
| – Local acceleration ≥ 6 m/s | |
| – Vein diameter < 50% of the adjacent healthy vein with | a > 20% diminution of the flows and/or a strong flow decrease: < 500 mL (forearm fistula), < 750 mL (arm fistula) |

Figures 1a and 1b
left cephalic vein before (a) and after (b) 7 × 40 mm PCB dilation.
Table 3
Primary and secondary patencies ± SD, at 6 and 12 months, of the PCB-dilated stenoses.
| 6 months | 12 months | 6 months | 12 months | 6 months | 12 months | |
|---|---|---|---|---|---|---|
| Primary patency | 81.4 ± 4.6% | 60 ± 5.9% | 80 ± 7.3% | 53.3 ± 9.1% | 82.5 ± 6% | 65 ± 7.5% |
| Secondary patency | 94.3 ± 2.8% | 91.4 ± 3.3% | 90 ± 5.5% | 90 ± 5.5% | 97.5 ± 4.2% | 92.5 ± 4.2% |

Figure 2
12-month Kaplan-Meier curves of dilated venous stenoses estimated primary patency of the forearm and arm fistulas.
Table 4
Primary and secondary patency potential influencing factors.
| P-value | Hazard ratio | P-value | Hazard ratio | |
|---|---|---|---|---|
| – Gender of the patient | 0.644 | 0.699 | ||
| – Age of the patient | 0.180 | 0.005 | 0.903 | |
| – Arterial hypertension | 0.454 | 0.201 | ||
| – Diabetes | 0.807 | 0.883 | ||
| – Type of the arteriovenous fistula (arm/forearm) | 0.525 | 0.956 | ||
| – Side of the arteriovenous fistula | 0.417 | 0.577 | ||
| – Age of the arteriovenous fistula | 0.063 | 0.164 | ||
| – Previous intervention on the stenosis | 0.805 | 0.663 | ||
| – Percentage of the stenosis | 0.202 | 0.037 | 1.106 | |
| – Length of the stenosis | 0.008 | 1.038 | 0.437 | |
| – Distance of the stenosis from the anastomosis | 0.257 | 0.167 |

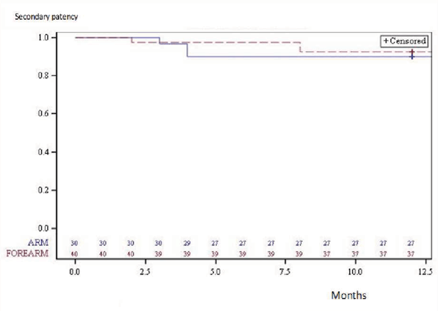
Figure 3
12-month Kaplan-Meier curves of dilated venous stenoses estimated secondary patency of the forearm and arm fistulas.
