Table 1
Impression Formation Results from Replication Attempts.
| Location | N1 | Condition | Warm/Cold × Near/Far interaction | |||
|---|---|---|---|---|---|---|
| Near | Far | F | p | |||
| Gannon | 154 | Warm | 3.54(0.62) | 3.66(0.70) | 2.74 | .10 |
| Cold | 3.02(0.78) | 2.76(0.77) | ||||
| MTurk | 123 | Warm | 3.63(1.01) | 3.78(0.77) | 0.15 | .70 |
| Cold | 3.17(0.94) | 3.19(1.13) | ||||
| NIU | 324 | Warm | 3.66(0.85) | 3.72(0.62) | 0.26 | .61 |
| Cold | 3.02(0.86) | 2.98(0.92) | ||||
| RIT | 194 | Warm | 3.60(0.65) | 3.74(0.69) | 0.34 | .54 |
| Cold | 2.69(0.72) | 2.70(0.77) | ||||
| SEMO | 119 | Warm | 3.47(0.98) | 3.67(0.77) | 1.04 | .31 |
| Cold | 3.07(0.73) | 2.93(0.88) | ||||
| UNAV | 90 | Warm | 3.65(0.78) | 3.37(0.74) | 0.11 | .74 |
| Cold | 3.15(0.85) | 2.99(0.77) | ||||
| UW-Stout | 40 | Warm | 3.23(0.62) | 3.89(0.88) | 3.87 | .06 |
| Cold | 3.03(1.01) | 2.59(0.96) | ||||
| WSSU | 25 | Warm | 3.78(0.83) | 3.67(0.14) | 1.03 | .32 |
| Cold | 2.38(0.82) | 2.95(0.74) | ||||
| Cold | 2.98(0.82) | 2.90(0.90) | ||||
[i] Note: MTurk = Mechanical Turk; NIU = Northern Illinois University; RIT = Rochester Institute of Technology; SEMO = Southeast Missouri State University; UNAV = University of Navarra; UW-Stout = University of Wisconsin-Stout; WSSU = Winston-Salem State University. Data by individual data collection site.

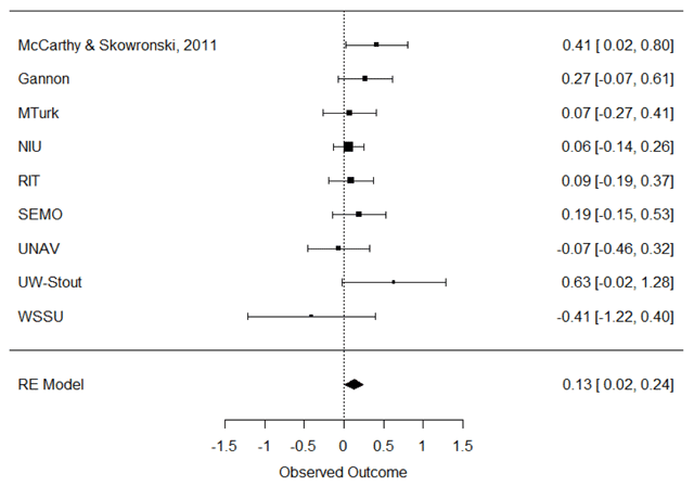
Figure 1
MTurk = Mechanical Turk; NIU = Northern Illinois University; RIT = Rochester Institute of Technology; SEMO = Southeast Missouri State University; UNAV = University of Navarra; UW-Stout = University of Wisconsin-Stout; WSSU = Winston-Salem State University. Effect sizes for Warm/Cold × Near/Far interaction. A positive effect indicates an effect in the hypothesized direction. Intervals in the figure represent 95% confidence intervals.
