Table 1
Characteristics of mothers in the intervention and the two control groups.
| Intervention group1 | Longitudinal control group in BS/BL2 | Cross-sectional control group in 5 cantons3 | ||||
|---|---|---|---|---|---|---|
| N | % | N | % | N | % | |
| n | 92 | 100 | 144 | 100 | 7,767 | 100 |
| Age (mean years) | 33.5 | 32.6+ | 31.7+ | |||
| Type of delivery#: | ||||||
| Vaginal, uncomplicated | 37 | 40.2 | 62 | 43.1 | 3, 346 | 43.1 |
| Vaginal, with complications | 14 | 15.2 | 32 | 22.2 | 1, 712 | 22.2 |
| C-section, uncomplicated | 24 | 26.1 | 26 | 18.1 | 1, 585 | 20.4 |
| C-section with complications | 17 | 18.5 | 24 | 16.7 | 1, 124 | 14.5 |
| Mean (median) duration of days of hospital stay (post-delivery) | 3.6(3.0) | 3.5°(3.0) | 4.0°°(4.0) | |||
| Use of service by midwife§ | 74 | 80.4 | 104 | 72.2 | 5, 197 | 66.9 |
| Insurance type#: | ||||||
| Private/semi-private | 11 | 12.0 | 20 | 13.9 | 856 | 11.0 |
| Managed care | 1 | 1.1 | 2 | 1.4 | 32 | 0.4 |
| Deductible (CHF)§: | ||||||
| < = 500 | 64 | 69.6 | 76 | 52.8 | 4, 908 | 63.2 |
| > 500–2,000 | 7 | 7.6 | 31 | 21.5 | 1, 510 | 19.4 |
| > 2,000–2,500 | 21 | 22.8 | 37 | 25.7 | 1, 341 | 17.3 |
[i] 1Mothers delivering in Basel-Stadt (BS) after the introduction of Familystart (after 1 Nov. 2012).
2Mothers delivering in BS before the introduction of Familystart (before 1 Nov. 2012).
3Mothers delivering in one of the five control cantons (Aargau, St. Gallen, Solothurn, Thurgau, Zürich), between 1 January 2012 and 31 May 2013.
+Significantly different from intervention group (Scheffe Test, p = 0.0031).
°Significantly different from intervention group (Kruskaal-Wallis rank sum test, p = 0.0030).
°°Significantly different from intervention group (Kruskaal-Wallis rank sum test, p = 0.0002).
§Significant differences between the three groups (Pearson’s Chi-squared test, p < 0.001).
#No significant differences between the groups (Pearson’s Chi-squared test).

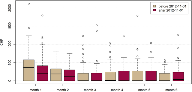
Figure 1
Average monthly costs (in CHF) for post-discharge care for mothers, before (n = 236) and after (n = 95) the introduction of the coordinated care model, Familystart, in Basel.

Figure 2
Average monthly costs (in CHF) for post-discharge care for children, before (n = 141) and after (n = 95) the introduction of coordinated care model, Familystart, in Basel.
Table 2
Determinants of post-discharge costs for mothers during the first postpartum month; a longitudinal comparison of Basel-Stadt pre-intervention (n = 117) and post-intervention (n = 63)*.
| Coefficient Estimate | Std. Error | t value | p value | |
|---|---|---|---|---|
| Intervention group | 6.50 | 91.78 | 0.07 | 0.94 |
| Length of hospital stay (post-birth) (per day) | 103.99 | 40.66 | 2.56 | 0.01 |
| Use of midwifery service (ref: no use) | 481.99 | 97.37 | 4.95 | 0.000 |
| Maternal age (per year) | 2.88 | 9.04 | 0.32 | 0.75 |
| Caesarean-section, uncomplicated1 | –1.20 | 138.66 | –0.01 | 0.99 |
| Vaginal birth, with complications1 | –18.26 | 116.01 | –0.16 | 0.88 |
| Caesarean-section, with complications1 | 13.70 | 156.81 | 0.09 | 0.93 |
| Private/semi-private insurance (ref: mandatory insurance) | 21.64 | 122.95 | 0.18 | 0.86 |
| Deductible > 500 CHF (ref.: < 500 CHF) | –0.01 | 0.05 | –0.23 | 0.82 |
| Managed care (ref.: all other care) | 22.75 | 570.84 | 0.04 | 0.97 |
[i] 1Reference: vaginal birth without complications.
*56 mothers excluded because precise date of delivery was unknown.
Table 3
Determinants of post-discharge costs for mothers; cross-sectional comparison between Basel-Stadt (n = 63) and control group from five cantons* (n = 6191).
| Coefficient Estimate | Std. Error | t value | p value | |
|---|---|---|---|---|
| Intervention group1 | 93.41 | 61.23 | 1.53 | 0.13 |
| Length of hospital stay (post birth) (per day) | 12.08 | 4.70 | 2.57 | 0.01 |
| Use of midwifery service (ref: no use) | 431.07 | 13.14 | 32.81 | < 0.001 |
| Maternal age (per year) | 1.64 | 1.25 | 1.31 | 0.19 |
| C-section, uncomplicated2 | 28.19 | 17.23 | 1.64 | 0.10 |
| Vaginal, with complications2 | 78.98 | 16.66 | 4.74 | < 0.001 |
| C-section, with complications2 | 137.97 | 20.53 | 6.72 | 0.000 |
| Private/semi-private insurance (ref: mandatory insurance) | –5.03 | 19.64 | –0.26 | 0.80 |
| Deductible > 500 CHF (ref.: < 500 CHF) | –0.05 | 0.01 | –6.52 | < 0.001 |
| Managed care (ref.: all other care) | –140.23 | 105.47 | –1.33 | 0.18 |
[i] 1Reference: cross-sectional control group (*5 control cantons Aargau, St. Gallen, Solothurn, Thurgau, Zürich).
2Reference: vaginal birth without complications.
