
Figure 1.
HVNS-NAF that was developed based on our analysis.

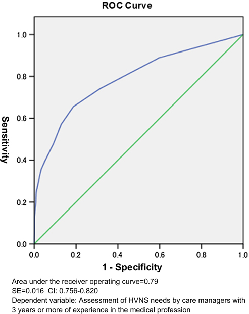
Figure 2.
ROC curve.
Table 1.
Characteristics of elderly clients requiring long-term care according to the need for home visiting nursing service

* Care level needed = A limit to the amount that can be expended for home long-term care.; “Level 1” = 165,800 yen per month, “Level 2” = 194,800 yen per month; “Level 3” = 267,500 yen per month; “Level 4” = 306,000 yen per month; “Level 5” = 358,300 yen per month.
aUnpaired t-test.
bMann–Whitney U-test.
no mark: Chi-squared test.
Table 2.
Results of logistic regression analysis and weight in HVNS-NAF

β, Regression Coefficient; OR, Odds Ratio; CI, Confidence Interval 95%.
The scores of items in the Home Visiting Nursing Service Need Assessment Form were decided according to the results of logistic regression analysis when each item of the Home Visiting Nursing Service Need Assessment Form was an independent variable, and home visiting nursing service need was a dependent variable.

