
Figure 1
Flowchart of study selection process.
Table 1
Summary of included studies.
| First Author (year) | Province | Design | Stage of CKD | Setting | Sample Size | Study Duration | Risk of bias |
|---|---|---|---|---|---|---|---|
| Ahmadzadeh, A., et al. (2009) [29] | Khuzestan | Retrospective | Stage 1–4 | Hospital | 139 | 10(y) | Low |
| Ataei, N., et al. (2016) [14] | Tehran | Retrospective | Stage 1–5 | Hospital | 363 | 24(y) | Moderate |
| Azarfar, A., et al. (2017) [15] | Khorasan Razavi | Cross-sectional | Stage 1–5 | Hospital | 326 | 7(y) | Low |
| Derakhshan, A., et al. (2003) [16] | Fars | Retrospective | Stage 1–4 | Hospital | 1358 | 6.5(y) | Low |
| Fallahzadeh, M. H. (2001) [24] | Fars | Prospective | Stage 1–4 | Hospital | 170 | 10(y) | Moderate |
| Gheissari, A., et al. (2012) [25] | Isfahan | Retrospective | Stage 1–4 | Hospital | 268 | 11(y) | Low |
| Gheissari, A., et al. (2013) [26] | Isfahan | Cross-sectional | Stage 1–5 | School | 712 | 1(y) | Low |
| Madani, K., et al. (2001) [23] | Tehran | Cross-sectional | Stage 1–4 | Hospital | 166 | 9(y) | Low |
| Mortazavi, F., et al. (2006) [27] | East Azerbaijan | Retrospective | Stage 1–4 | Hospital | 55 | 4.5(y) | Moderate |
| Mortazavi, F., et al. (2010) [28] | East Azerbaijan | Retrospective | Stage 1–5 | Hospital | 115 | 10(y) | Low |
| Otukesh, H., et al. (2001) [21] | Tehran | Retrospective | Stage 1–4 | Hospital | 245 | 1(y) | Moderate |
| Sharifian, M., et al. (2016) [22] | Tehran | Cross-sectional | Stage 1–5 | Hospital | 104 | 1(y) | Low |
| Sorkhi, H. (2001) [30] | Mazandaran | Cross-sectional | Stage 1–5 | Hospital | 85 | 1(y) | Low |
Table 2
Prevalence of causes based on stage of CKD.
| First author (Year) | Glomerulonephritis | CAKUT | Urological disorders | Urinary calculi | Unknown | |||||
|---|---|---|---|---|---|---|---|---|---|---|
| ES (95% CI for ES) | Weight | ES (95% CI for ES) | Weight | ES (95% CI for ES) | Weight | ES (95% CI for ES) | Weight | ES(95% CI for ES) | Weight | |
| Stage 1–4 | ||||||||||
| Ahmadzadeh, A.(2009) [29] | 6.47 (3.44, 11.85) | 7.94 | 67.63 (59.46, 74.84) | 9.06 | 10.79 (6.65, 17.04) | 10.03 | ||||
| Derakhshan, A. (2003) [16] | 22.97 (20.82, 25.29) | 8.14 | 0.96 (0.56, 1.63) | 9.23 | 7.58 (6.29, 9.12) | 25.91 | ||||
| Fallahzadeh, M.H. (2001) [24] | 15.29 (10.66, 21.47) | 7.74 | 15.29 (10.66, 21.47) | 9.15 | 24.12 (18.30, 31.07) | 29.63 | 13.53 (9.19, 19.48) | 10.06 | ||
| Gheissari, A. (2012) [25] | 42.57 (35.96, 49.47) | 7.48 | 34.16 (27.97, 40.94) | 9.11 | ||||||
| Madani, K. (2001) [23] | 10.24 (6.49, 15.79) | 7.87 | 46.99 (39.55, 54.56) | 9.07 | 8.43 (5.09, 13.66) | 10.45 | ||||
| Mortazavi, F. (2006) [27] | 23.48 (16.67, 32.0) | 7.29 | 58.26 (49.12, 66.86) | 9.01 | 2.61 (0.89, 7.39) | 34.69 | 9.57 (5.43, 16.32) | 9.92 | ||
| Otukesh, H. (2001) [21] | 20.41 (15.84, 25.89) | 7.80 | 36.73 (30.95, 42.93) | 9.13 | 3.67 (1.94, 6.83) | 11.11 | ||||
| Sub-total random pooled ES | 19.96 (12.61, 27.31) | 54.26 | 37.00 (15.63, 58.36) | 63.76 | 8.84 (4.91, 12.77) | 51.53 | ||||
| Stage 5 (ESRD) | ||||||||||
| Ataei, N. (2016) [14] | 20.11 (16.31, 24.54) | 7.94 | 59.50 (54.38, 64.43) | 9.16 | 19.56 (15.81, 23.95) | 10.51 | ||||
| Azarfar, A. (2017) [15] | 3.68 (2.12, 6.32) | 8.16 | 38.34 (33.23, 43.73) | 25.30 | 2.76 (1.46, 5.16) | 35.68 | 20.86 (16.80, 25.60) | 10.37 | ||
| Gheissari, A. (2013) [26] | 35.07 (29.61, 40.96) | 7.69 | 34.33 (28.90, 40.20) | 9.14 | 21.64 (17.13, 26.95) | 10.13 | ||||
| Mortazavi, F. (2010) [28] | 25.45 (15.81, 38.3) | 6.40 | 61.82 (48.61, 73.48) | 8.78 | 12.73 (6.30, 24.02) | 8.12 | ||||
| Sharifian, M. (2016) [22] | 8.65 (4.62, 15.63) | 7.74 | 8.65 (4.62, 15.63) | 9.15 | 14.42 (8.94, 22.44) | 24.91 | ||||
| Sorkhi, H. (2001) [30] | 5.88 (2.54, 13.04) | 7.81 | 29.41 (20.79, 39.82) | 23.89 | 10.59 (5.67, 18.91) | 9.33 | ||||
| Sub-total random pooled ES | 16.13 (6.28, 25.98) | 45.74 | 40.82 (15.40, 66.24) | 36.23 | 27.44 (11.78, 43.11) | 74.09 | 17.94 (14.10, 21.78) | 48.47 | ||
| Random pooled ES | 18.21 (12.04, 24.39) | 100 | 38.40 (21.19, 55.61) | 100 | 22.28 (5.51, 39.06) | 100 | 9.04 (0.87, 17.20) | 100 | 13.11 (8.44, 17.78) | 100 |

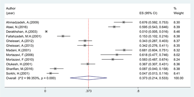
Figure 2
Prevalence of CAKUT in Iranian children.

Figure 3
Prevalence of urological disorders in Iranian children.

Figure 4
Meta-regression of age, gender (male-to-female ratio), year of publication, and prevalence of congenital causes (CAKUT) and glomerulonephritis in Iranian children.
