Figure 1:

Figure 2:

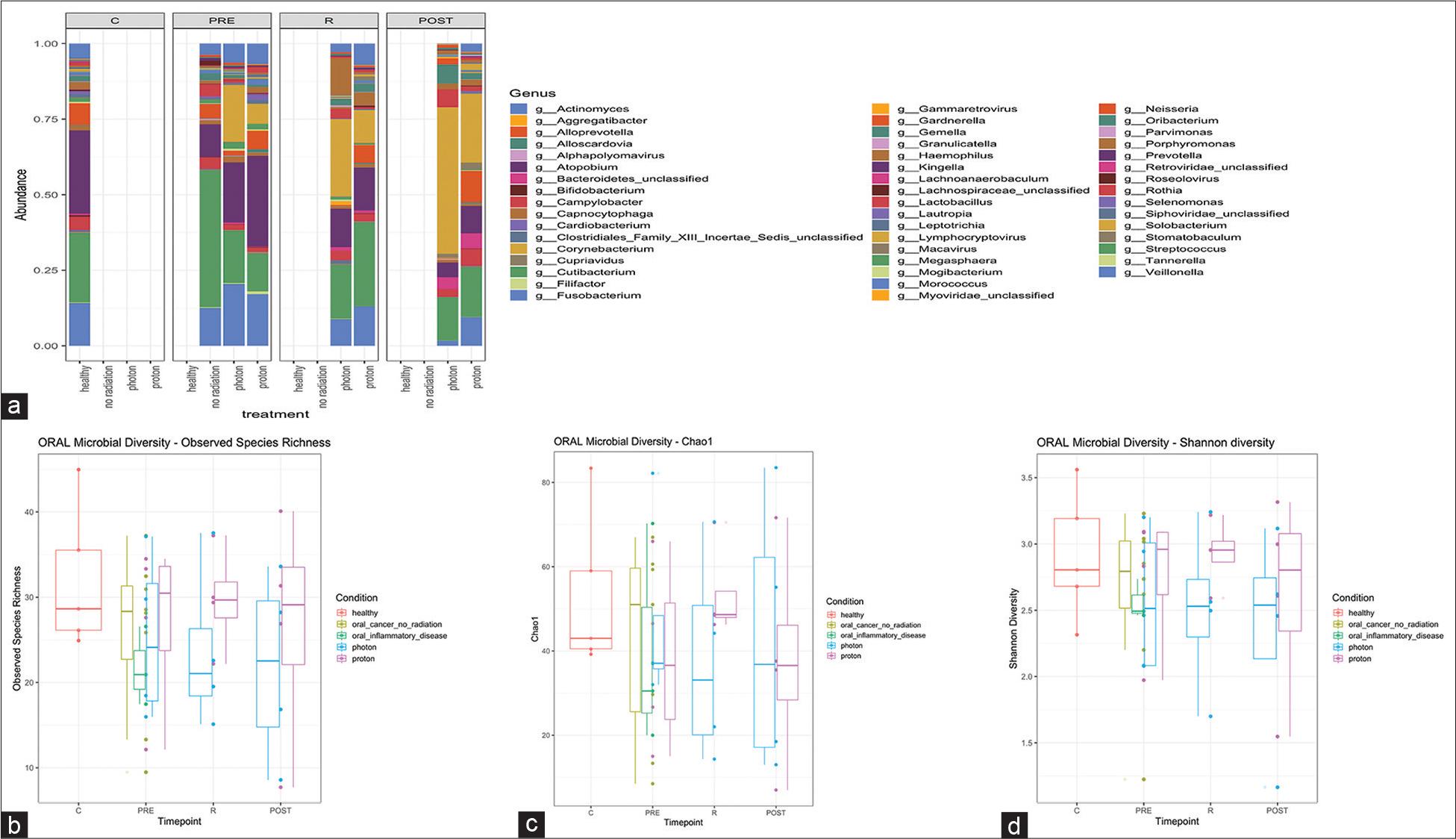
Figure 3:

Patient characteristics of study cohorts
| Patient characteristic | IMRT (n=4) | IMPT (n=4) |
|---|---|---|
| Mean age (range) | 67 years (60–72) | 62 years (54–77) |
| Male sex (percentage) | 4 (100) | 4 (100) |
| Caucasian race | 3 (75) | 4 (100) |
| Current cigarette smoking | 3 (75) | 2 (50) |
| Chemotherapy | 2 (50) | 2 (50) |
| Surgery | 2 (50) | 0 (0) |
| Histology | 4 (100) SCC | 4 (100) SCC |
| Tumor site | 1 (25) Glossotonsillar | 1 (25) Glossotonsillar |
| HPV status | 2 (50) Positive | 4 (100) Positive |
| Radiation parameters | ||
| Prescription dose | 2 (50) 69.96 Gy | 4 (100) 69.96 Gy |
| Dose/fraction | 2 (50) 2.12 Gy | 4 (100) 2.12 Gy |
| 1 Fractions/day | 4 (100) | 4 (100) |
| Parotid total mean dose (range) | 32.09 Gy (26.69–40.9) | 23.96 Gy (21.31–29.7) |
| Oral cavity total mean dose (range) | 41.01 Gy (28.87–61.11) | 19.59 Gy (15.6–25.43) |