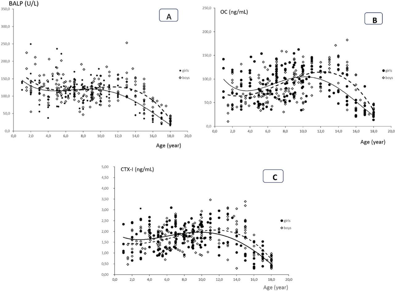
Figure 1.

Bone markers in the studied population of children and adolescents_
| Variable | Girls | Boys | Total | P* |
|---|---|---|---|---|
| Participants, n (%) | 165 (46.5) | 190 (53.5) | 355 (100) | 0.189 |
| Age (years) | 8.5 (5.5–12.0) | 8.4 (5.5–13.0) | 8.4 (5.5–12.3) | 0.981 |
| BALP (U/L) | 106.6 (84.6–128.4) | 115.4 (92.0–136.5) | 112.1 (87.9–132.5) | 0.048 |
| OC (ng/mL) | 84.0 (52.6–114.4) | 80.9 (55.5–116.9) | 83.2 (52.6–114.4) | 0.518 |
| CTX-I (ng/mL) | 1.72 (1.12.–2.22) | 1.67 (1.22.–2.09) | 1.70 (1.19–2.12) | 0.805 |
Relations between BMI Z-score, bone markers and densitometric parameters in prepubertal healthy children aged 5–10 years old_
| Parameters | TBLH-BMD r (p) | TBLH-BMD Z-score r (p) | TBLH-BMC r (p) | L1-L4 BMD r (p) | L1-L4 BMD Z-score r (p) |
|---|---|---|---|---|---|
| BMI Z-score | 0.282 (0.008) | 0.366 (<0.001) | 0.266 (0.012) | 0.248 (0.021) | 0.265 (0.014) |
| BALP | −0.049 (0.651) | −0.092 (0.398) | −0.032 (0.769) | −0.019 (0.861) | 0.006 (0.95) |
| OC | 0.329 (0.002) | 0.245 (0.023) | 0.329 (0.002) | 0.280 (0.009) | 0.192 (0.077) |
| CTX-I | 0.078 (0.476) | 0.048 (0.661) | 0.101 (0.356) | 0.097 (0.374) | 0.051 (0.051) |
Bone markers in children and adolescents aged 1–18 years old stratified by sex and age_
| Parameter/years | Girls (n=165) | Boys (n=190) | p | ||||
|---|---|---|---|---|---|---|---|
| n | Median | Range | n | Median | Range | ||
| BALP (U/L) | |||||||
| 1.0–2.9 | 10 | 139.5 | 122.8–143.9 | 14 | 126.7 | 116.3–170.2 | 0.861 |
| 3.0–4.9 | 20 | 112.8 | 86.7–138.3 | 19 | 125.5 | 100.7–142.4 | 0.227 |
| 5.0–7.9 | 43 | 117.9 | 102.5–132.1 | 53 | 118.7 | 103.6–138.8 | 0.945 |
| 8.0–9.9 | 32 | 118.8 | 98.4–128.0 | 33 | 109.7 | 94.8–125.7 | 0.568 |
| 10.0–11.9 | 16 | 109.4 | 97.2–129.9 | 14 | 118.6 | 88.3–152.7 | 0.618 |
| 12.0–13.9 | 10 | 120.7 | 101.0–138.8 | 18 | 129.1 | 101.8–190.1 | 0.598 |
| 14.0–15.9 | 12 | 67.2 | 49.5–84.4 | 18 | 120.9 | 99.3–134.4 | <0.001 |
| 16.0–18.0 | 22 | 34.2 | 20.7–39.7 | 21 | 44.1 | 30.8–71.6 | 0.022 |
| OC (ng/mL) | |||||||
| 1.0–2.9 | 10 | 72.0 | 62.6–118.0 | 14 | 57.8 | 41.3–81.8 | 0.160 |
| 3.0–4.9 | 20 | 89.7 | 53.7–113.5 | 19 | 62.5 | 52.4–77.1 | 0.092 |
| 5.0–7.9 | 43 | 77.3 | 58.0–105.7 | 53 | 77.4 | 62.8–116.6 | 0.749 |
| 8.0–9.9 | 32 | 95.6 | 69.9–126.1 | 33 | 92.2 | 74.0–110.0 | 0.436 |
| 10.0–11.9 | 16 | 114.8 | 95.7–127.1 | 14 | 101.0 | 66.2–132.3 | 0.406 |
| 12.0–13.9 | 10 | 88.8 | 77.9–111.2 | 18 | 122.5 | 96.0–135.8 | 0.019 |
| 14.0–15.9 | 12 | 73.5 | 59.0–110.0 | 18 | 122.0 | 110.5–134.0 | 0.010 |
| 16.0–18.0 | 22 | 30.4 | 23.2–41.3 | 21 | 38.8 | 30.3–49.5 | 0.018 |
| CTX-I (ng/mL) | |||||||
| 1.0–2.9 | 10 | 1.58 | 1.05–2.22 | 14 | 1.40 | 0.90–1.59 | 0.266 |
| 3.0–4.9 | 20 | 1.94 | 1.23–2.37 | 19 | 1.66 | 1.21–2.02 | 0.369 |
| 5.0–7.9 | 43 | 1.80 | 1.25–2.17 | 53 | 1.85 | 1.33–2.14 | 0.651 |
| 8.0–9.9 | 32 | 1.80 | 1.43–2.25 | 33 | 1.67 | 1.49–1.98 | 0.240 |
| 10.0–11.9 | 16 | 2.23 | 1.72–2.43 | 14 | 1.91 | 1.79–2.19 | 0.383 |
| 12.0–13.9 | 10 | 1.74 | 1.47–2.64 | 18 | 2.13 | 1.41–2.66 | 0.905 |
| 14.0–15.9 | 12 | 1.37 | 0.95–1.79 | 18 | 2.19 | 1.96–2.50 | 0.004 |
| 16.0–18.0 | 22 | 0.72 | 0.41–0.97 | 21 | 0.86 | 0.64–0.95 | 0.375 |
Serum bone marker concentrations and anthropometric parameters in prepubertal healthy children aged 5–10 years old_
| Variable | Girls n=45 | Boys n=43 | Total n=88 | p* |
|---|---|---|---|---|
| Age (years) | 8.2 (6.8–9.1) | 7.5 (5.6–9.0) | 8.0 (6.0–9.1) | 0.081 |
| Weight (kg) | 27.0 (21.3–29.4) | 23.9 (20.3–29.9) | 25.1 (20.4–29.7) | 0.361 |
| Height (cm) | 128.5 (119.0–133.8) | 125.6 (117.8–132.6) | 126.4 (118.6–133.5) | 0.278 |
| BMI (kg/m2) | 15.5 (14.5–17.0) | 15.6 (14.6–16.6) | 15.5 (14.6–16.8) | 0.910 |
| BMI Z–score | −0.36 (−0.70–0.24) | −0.37 (−0.75–0.04) | −0.37 (−0.74–0.18) | 0.841 |
| TBLH-BMD (g/cm2) | 0.686 (0.642–0.737) | 0.644 (0.622–0.720) | 0.672 (0.627–0.730) | 0.246 |
| TBLH-BMD Z-score | −0.40 (−0.70–0.20) | −0.10 (−0.60–0.40) | −0.30 (−0.63–0.20) | 0.101 |
| TBLH-BMC (g) | 600.6 (452.8–764.5) | 526.2 (419.4–751.3) | 582.8 (436.2–760.3) | 0.258 |
| L1-L4 BMD (g/cm2) | 0.666 (0.631–0.731) | 0.624 (0.569–0.707) | 0.659 (0.595–0724) | 0.057 |
| L1-L4 BMD Z-score | −0.40 (−0.80–0.30) | −0.40 (−1.20–0.20) | −0.4 (−1.00–0.20) | 0.296 |
| BALP (U/L) | 119.8 (100.3–131.3) | 116.7 (102.0–130.5) | 117.9 (100.3–131.4) | 0.799 |
| OC (ng/mL) | 81.2 (63.8–102.7) | 75.2 (63.5–94.4) | 77.5 (63.7–100.5) | 0.450 |
| CTX-I (ng/mL) | 1.78 (1.37–2.16) | 1.66 (1.44–2.00) | 1.73 (1.39–2.02) | 0.419 |