
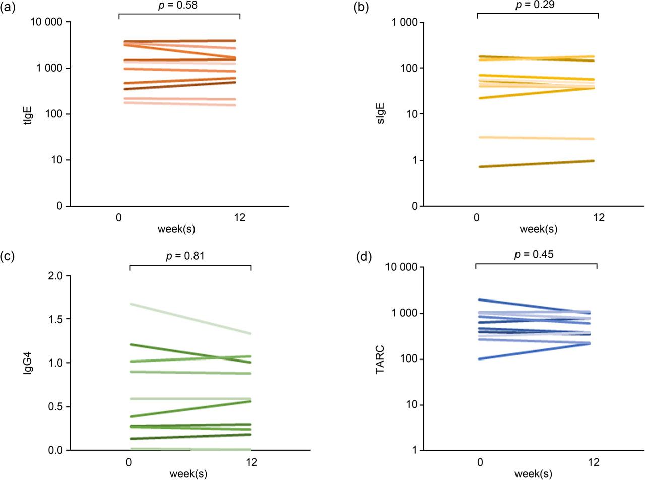
Fig. 1.

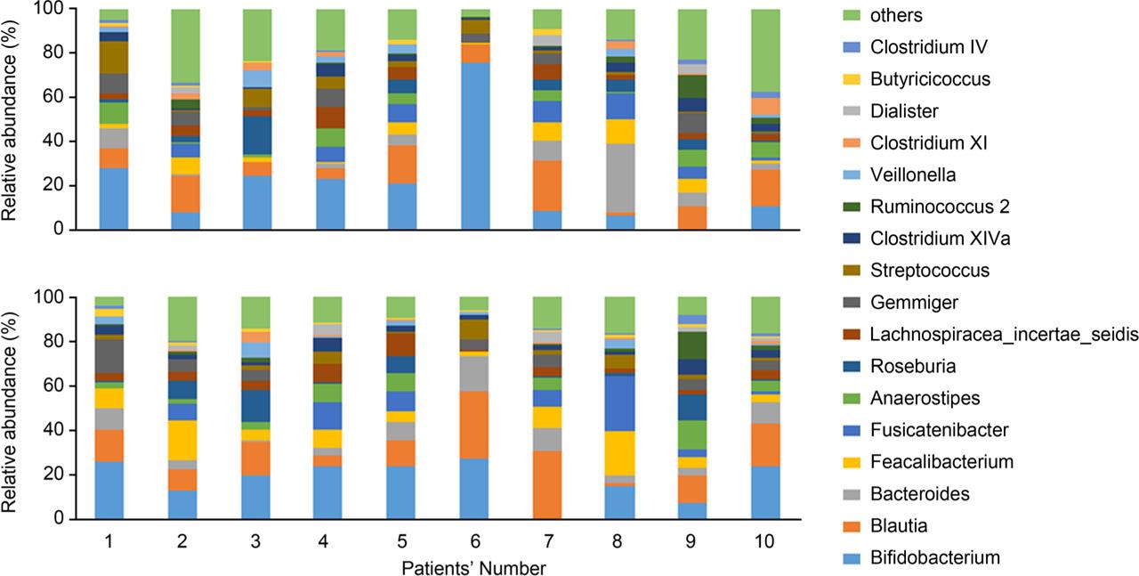
Fig. 2.

Fig. 3.

Relative abundance of gut microbiota_
| 0w | 12w | p-value* | |
|---|---|---|---|
| Median (25%–75%) | Median (25%–75%) | ||
| xBifidobacterium | 16.2 (8.3–24.2) | 21.7 (13.3–24.1) | 0.72 |
| Blautia | 9.5 (6.8–16.9) | 13.6 (10.0–22.7) | 0.24 |
| Bacteroides | 4.0 (0.8–8.3) | 6.6 (3.7–9.8) | 0.20 |
| Faecalibacterium | 3.8 (1.4–7.0) | 6.8 (4.4–9.7) | 0.01 |
| Fusicatenibacter | 6.0 (0.3–8.1) | 5.3 (0.4–8.8) | 0.29 |
| Anaerostipes | 5.0 (1.0–7.7) | 4.4 (2.3–7.3) | 0.39 |
| Roseburia | 3.8 (0.5–5.3) | 0.8 (0.4–8.0) | 0.88 |
| Lachnospiracea_incertae_sedis | 3.0 (2.7–5.3) | 3.8 (2.5–4.5) | 0.65 |
| Gemmiger | 4.6 (1.0–7.5) | 4.7 (1.1–5.6) | 0.67 |
| Streptococcus | 2.3 (0.9–6.5) | 2.4 (1.6–4.7) | 0.88 |
| Clostridium XlVa | 2.9 (1.1–4.5) | 2.2 (1.8–3.9) | 0.24 |
| Ruminococcus2 | 0.6 (0.4–3.1) | 0.8 (0.3–1.7) | 0.51 |
| Veillonella | 1.8 (0.2–3.4) | 0.8 (0.2–3.2) | 0.96 |
| Clostridium XI | 1.4 (0.1–3.0) | 0.6 (0.4–0.9) | 0.33 |
| Dialister | 0.2 (0.0–2.2) | 0.9 (0.0–1.9) | 0.59 |
| Butyricicoccus | 0.4 (0.1–1.3) | 0.9 (0.6–1.6) | 0.20 |
| Clostridium IV | 0.6 (0.1–1.5) | 0.3 (0.2–1.0) | 0.45 |
Background information on the participants_
| Number of participants | 10 |
| Age (median/minimum-maximum) | 8/2–12 |
| Male/female | 7/3 |
| Atopic dermatitis | 8 |
| Bronchial asthma | 7 |
| Allergic rhinitis | 8 |
| IgE (total) IU/ml (25%–75%) | 1,157 (384–2,744) |
| IgE (milk) kUA/l (25%–75%) | 50 (27–66) |
| EASI score (25%–75%) | 0.3 (0.05–2.1) |
| Serum TARC (pg/ml) (25%–75%) | 551 (333–976) |
Oral food challenge results for all patients_
| First OFC | Second OFC | |||||
|---|---|---|---|---|---|---|
| TD (ml) | TS (points) | TS/Pro | TD (ml) | TS (points) | TS/Pro (points/g) | |
| Patient 1 | 3.5 | 10 | 94 | 8.5 | 5 | 19 |
| Patient 2 | 1.5 | 25 | 550 | 3.5 | 25 | 236 |
| Patient 3 | 1.7 | 15 | 291 | 3.7 | 1 | 9 |
| Patient 4 | 1.7 | 31 | 601 | 0.7 | 20 | 943 |
| Patient 5 | 0.1 | 10 | 3300 | 1.8 | 0 | 0 |
| Patient 6 | 0.8 | 16 | 660 | 1.8 | 20 | 367 |
| Patient 7 | 3.7 | 15 | 134 | 3.7 | 15 | 134 |
| Patient 8 | 0.1 | 10 | 3300 | 0.3 | 25 | 2750 |
| Patient 9 | 0.7 | 11 | 519 | 1.7 | 20 | 388 |
| Patient 10 | 3.7 | 15 | 134 | 3.7 | 40 | 357 |