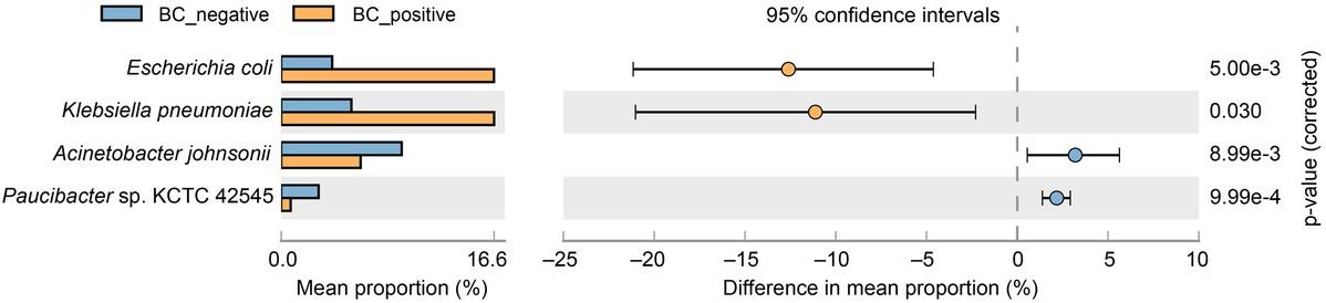
Fig. 1

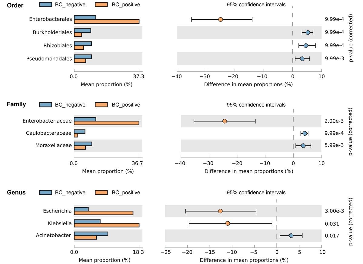
Fig. 2

Fig. 3

Fig. 4

Fig. 5

Fig. 6

Fig. 7

Comparison of the consistency of the pathogen identification between cfDNA mNGS and BC_
| cfDNA mNGS+ | cfDNA mNGS– | Consistency | |
|---|---|---|---|
| BC+ | 38 | 12 | 36a |
| BC– | 26 | 38 | 21b |
| Total | 64 | 50 |







| cfDNA mNGS+ | cfDNA mNGS– | Consistency | |
|---|---|---|---|
| BC+ | 38 | 12 | 36a |
| BC– | 26 | 38 | 21b |
| Total | 64 | 50 |
© 2022 Chaoqin Zhang, Hang Cheng, Yuxi Zhao, Jinlian Chen, Meng Li, Zhijian Yu, Xiang Sun, Peiyu Li, Yongpeng Shang, Jinmin Ma, Jinxin Zheng, published by Polish Society of Microbiologists
This work is licensed under the Creative Commons Attribution-NonCommercial-NoDerivatives 4.0 License.