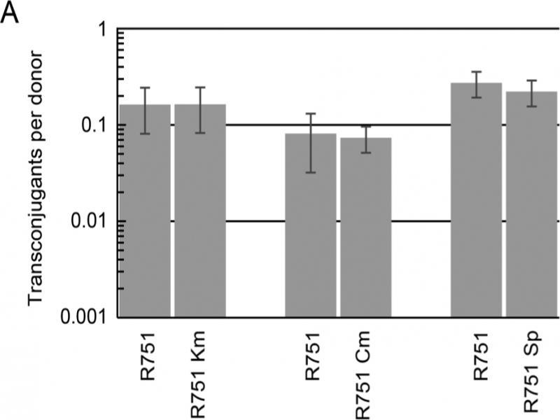
Fig. 1.

Fig. 1.

Plasmids used in this study_
| Plasmid | Reference |
|---|---|
| R751 | (Thorsted et al. 1998) |
| R751 Km | this study |
| R751 Cm | this study |
| R751 Sp | this study |
| pCP20 | (Datsenko and Wanner 2000) |
| pKD3 | (Datsenko and Wanner 2000) |
| pKD4 | (Datsenko and Wanner 2000) |
| pKD46 | (Datsenko and Wanner 2000) |
| pJW102 | (Quick et al. 2010) |