The European pilchard (Sardina pilchardus (Walbaum, 1792)) is a small pelagic species that plays an important role in marine ecosystems by occupying an intermediate trophic level within pelagic food webs (Bakun, 2006; Basilone et al., 2023). It constitutes a major component of the diet for numerous predator species, including marine mammals and seabirds (Braga et al., 2017; Santos et al., 2014). In addition to its ecological importance, this species is widely consumed as food by humans and represents a valuable source of income in many developing countries, largely due to its high abundance despite its relatively low commercial value (Kindong et al., 2024). The species is widely distributed throughout the Mediterranean Sea and adjacent seas (Whitehead et al., 1986), where it typically forms large shoals and exhibits migratory behavior (Culley, 2017). These behavioral characteristics make the European pilchard particularly susceptible to intensive fishing by fisheries.
Globally, European pilchard is mainly harvested using midwater trawls, and purse seines are used in fishing this species, with annual catches remaining close to 1 million tons since 2014 (FAO, 2020; Marçalo et al., 2006, 2013). In some regions, additional fishing gears such as gillnets, beach seines, and traps are also employed (Whitehead, 1985). In Turkish fisheries, small pelagic species, including European pilchard and European anchovy Engraulis encrasicolus (Linnaeus, 1758), are primarily caught using purse seines (Özsoy et al., 2016). However, purse seine fishing is prohibited between April 15th and August 30th, during which gillnets are used to target European pilchard (GDFA, 2024). Between 2000 and 2024, mean annual landings of European pilchard in Türkiye were approximately 19 306 tonnes, with about 53% (10 225 tons) originating from the Aegean Sea and 23% (4 490 tonnes) from the Marmara Sea (TUIK, 2024). Landings peaked at 34 709 tonnes in 2011 but declined to 17 818 tonnes by 2024 (TUIK, 2024), suggesting that inappropriate stock management may have contributed to a reduction in sardine populations.
Several studies have investigated fisheries (Düzbastılar et al., 2022; Tosunoglu et al., 2021), spawning stock biomass based on ichthyoplankton surveys (Daban et al., 2024), and aspects of reproductive biology (Cengiz et al., 2024; Erdoğan et al., 2025; Keskin & Gürkan, 2023; Şenbahar et al., 2020; Taylan et al., 2019) of European pilchard in Türkiye. Nevertheless, key biological properties such as length–weight relationships (LWRs), sex ratio, maturity stages, spawning period, gonadosomatic index (GSI), condition factor (Kn) and, length at first maturity are known to vary over time in response to fishing pressure, climate change, stress on species, pollution (McKeon et al., 2024; Nagelkerken et al., 2023; Ramasre et al., 2024). Moreover, these parameters often show spatial variability within and among marine regions. For this reason, the regular assessment of regional biological characteristics using up-to-date data is essential for effective fisheries management for ensuring the long-term sustainability of European pilchard stocks. The present study aims to provide current biological information from the Marmara Sea and the northern Aegean Sea, thereby supporting stock assessment efforts and contributing to the sustainable management of European pilchard in Turkish waters.
In this study, individual European pilchard specimens were collected from commercial fishers operating purse seine and gillnet fishing gears at landing points located in the southwest of Marmara Sea and north of Aegean Sea, Türkiye (Fig. 1). Purse seines with 8–10 mm mesh sizes were used between September 1st and April 15th. Multifilament gillnets with mixed mesh sizes of 12, 12.5, 12.75, and 13 mm were employed from April 15th to August 30th, 2024, in accordance with Turkish fisheries regulations prohibiting purse seine fishing during this period (GDFA, 2024). A minimum of 30 individuals was sampled each month. A total of 636 specimens were collected from southwest of the Marmara Sea, comprising 468 individuals caught by purse seines and 168 by gillnets. Similarly, a total of 662 specimens were obtained from the north of the Aegean Sea, comprising 482 individuals caught by purse seines and 180 by gillnets. All specimens were immediately transferred to the laboratory in an ice box for analysis.

Sampling points in the southwest of Marmara Sea and the north of Aegean Sea.
The total length (TL) was measured to the nearest 1 mm using a measuring board, and body weight (W) was recorded to the nearest 0.01 g using a precision scale. The length frequency distributions were determined. Independent two-sample t-tests were used to compare TL and W between purse seine and gillnet samples in the Aegean Sea and the Marmara Sea. A total of 447 individuals from the Aegean Sea and 460 individuals from the Marmara Sea were dissected for sex determination based on macroscopic examination of the gonads. Other individuals were not dissected. The independent two-sample t-test was used to compare differences between sexes in both regions. The female-to-male (F:M) ratio was calculated, and chi-square (χ2) test was used to assess statistical differences in sex ratios. Gonad weight (GW) was measured with a precision scale (0.01 g). The sexual maturity stages of the gonads were assessed macroscopically according to ICESç (2025), with maturity stages classified as: immature, developing, spawning, regressing/regenerating, omitted spawning, and abnormal.
The LWRs for males, females, and all individuals was estimated using the exponential regression equation:
The GSI, an indicator of gonadal development, was calculated following Gibson and Ezzi (1980):
The spawning period was estimated by evaluating the highest GSI value coinciding with the highest percentage of sexually mature individuals. The relative Kn of samples, which is an index of the extent to which W of a fish is high for its length, was assessed according to Le Cren (1951).
The length at first maturity (L50) was defined as the TL at which 50% of males and females were classified as mature (spawning, regressing/regenerating) for all months of sampling. The proportion of mature individuals by length class and sex was estimated by fitting a logistic function using the Newton algorithm:
where P(l) is the proportion of mature specimens at length 1, and a and b are parameters of the logistic equation (Piñeiro & Saínza, 2003). All statistical analyses were calculated using IBM SPSS 25 (IBM Corp, 2017).
In the Aegean Sea, the mean TL of European pilchard was 12.98 ± 0.05 cm, and the mean W was 15.40 ± 0.21 g from purse seine samples, whereas gillnet samples showed a mean TL of 12.50 ± 0.04 cm and a mean W of 14.14 ± 0.19 g. In the Marmara Sea, the total mean length was 12.42 ± 0.05 cm and mean W was 13.46 ± 0.16 g in purse seine samples, while gillnet samples had a mean TL of 12.49 ± 0.05 cm and a mean W of 13.55 ± 0.17 g. Significant differences in TL and W were detected between purse seine and gillnet samples in the Aegean Sea, whereas no significant differences were observed for these parameters in the Marmara Sea (Table 1).
The TL and W of European pilchard sampled by purse seine and gillnet in the Aegean Sea and the Marmara Sea.
| Areas | Sampling method | Sampling time | N | TLmean ± se (min-max) | p | Wmean ± se (min-max) | p |
|---|---|---|---|---|---|---|---|
| Aegean Sea | Purse seine | September–April | 482 | 12.98 ± 0.05 (11.0–17.1) | F:80.243 | 15.4 ± 0.21 (8.89–37.18) | F:51.607 |
| Gillnet | April–August | 180 | 12.5 ± 0.04 (10.6–14.5) | 14.14 ± 0.19 (7.52–20.87) | |||
| Marmara Sea | Purse seine | September–April | 482 | 12.42 ± 0.05 (10.0–15.6) | F:26.004 | 13.46 ± 0.18 (5.98–26.79) | F:28.433 |
| Gillnet | April–August | 180 | 12.49 ± 0.05 (10.7–15.1) | 13.55 ± 0.17 (9.62–21.58) |
Max: maximum, Min, minimum; N, number of individuals; p, significant differences; Se, standard error; TL, total length; W: total weight.
Total length-frequency distributions of the species differed between the Aegean Sea and the Marmara Sea, with variation observed among sexes and regions. Female, male and all individuals were predominantly within the 12–12.9 cm range for TL in both areas. In these length groups, males were dominant in the Aegean Sea, while females were dominant in the Marmara Sea. Individuals from the Aegean Sea exhibited a broader length distribution, extending up to the 17–17.9 cm class. The female-to-male ratio was estimated at 1.0:0.77 in the Aegean Sea and 1.0:1.12 in the Marmara Sea. A statistically significant deviation from the expected 1:1 sex ratio was observed in samples from the Aegean Sea (χ2calc 7.788 > χ2table 3.841, p:0.001 < 0.05), whereas no statistically significant deviation was detected in the sex ratio of individuals from the Marmara Sea (χ2calc 0.982 < χ2table 3.841, p:0.322 > 0.05).
The TL and W parameters of European pilchard for males, females, and all individuals, with comparison of previous studies, are presented in Table 2. Statistical analyses indicated that TL differed significantly between males and females (F:0.002, t:1.594, p:0.0112), but W differences (F:0.132, t:2.426, p:0.016) were not significant in the Aegean Sea. Statistical comparisons indicated no significant differences between sexes for either TL (F:1.314, t:0.252, p:0.513) or W (F:0.193, t:0.661, p:0.581) in the Marmara Sea (Table 2). The coefficient of determination (R2) was found to be high for females, males and all individuals in both regions. The b value was less than 3, indicating negative allometric growth except for females in the Aegean Sea (Table 2).
The comparison of total LWR parameters of European pilchard with previous studies in the Marmara Sea and the Aegean Sea.
| Areas | Sex | N | TLmean ± se (min-max) | Wmean ± se (min-max) | a | b | R2 | Se(b) | %95 Cl b | Growth type | Reference |
|---|---|---|---|---|---|---|---|---|---|---|---|
| Marmara Sea | ♀ | − | 13.3-13.76 | 14.1-39.76 | 0.0058 | 3.259 | − | − | − | − | Kocakaplan (1998) |
| ♂ | − | 11.0–13.48 | 11.38–31.9 | 0.0078 | 3.12 | − | − | − | − | ||
| C | 603 | 11.0–13.76 | 11.4–39.76 | 0.0102 | 3.016 | − | − | − | − | ||
| Küçükçekmece Lagoon, Marmara Sea | C | 11 | 9–15.3 | − | 0.0021 | 3.54 | 0.98 | 0.009 | − | − | Tarkan et al. (2006) |
| Izmir Bay | C* | 388 | 11.82 ± 1.02 | 20.74 ± 5.74 | 0.0076 | 3.19 | 0.89 | 0.059 | − | − | Özaydın and Taskavak (2006) |
| Edremit Bay, Aegean Sea | ♀* | 283 | − | − | 0.0004 | 2.731 | 0.80 | − | − | − | Gıcılı (2007) |
| ♂* | 218 | − | − | 0.0003 | 2.792 | 0.83 | − | − | − | ||
| C* | 501 | 8.7–14 | − | 0.0006 | 2.653 | 0.79 | − | − | − | ||
| Edremit Bay, Aegean Sea | ♀* | 285 | 8.7–14.3 | 7.02–32.66 | 0.0435 | 2.455 | 0.64 | − | − | A− | Erdoğan et al. (2010) |
| ♂* | 218 | 0.0274 | 2.642 | 0.63 | |||||||
| Greece, Aegean Sea | ♀ | 2849 | 13.9 ±5.37 | − | 0.0041 | 3.217 | 0.86 | − | − | A+ | Tsikliras and Koutrakis (2013) |
| ♂ | 1993 | 13.4 ± 5.02 | 0.0087 | 2.914 | 0.89 | − | − | A− | |||
| Izmir Bay, Aegean Sea | C | 77 | 9.39 ± 1.84 | 7.84 ± 4.07 | 0.0070 | 3.053 | 0.99 | 0.004 | − | A+ | Acarli et al. (2014) |
| Güllük Bay, Aegean Sea | C | 360 | 12.7 ± 2.5 | 17.44 ± 9.25 | − | − | − | − | − | − | Bilge (2018) |
| Aegean Sea | C* | 170 | 12.3 10.5–15 | 12.7 8.06–23.7 | 0.0071 | 2.97 | 0.92 | − | − | − | Taylan et al. (2019) |
| Izmir Bay, Aegean Sea | c | 567 | 12.1 9.5–15.3 | 13.0 5.2–20.8 | 0.0059 | 2.793 | 0.94 | 0.006 | − | A− | Şenbahar et al. (2020) |
| Kusadasi Bay, Aegean Sea | c | 162 | − | − | 0.0105 | 2.876 | 0.86 | − | − | A− | Keskin and Gürkan (2023) |
| Izmir Bay, Aegean Sea | c | 140 | − | − | 0.0147 | 2.737 | 0.93 | − | − | A− | |
| Edremit Bay, Aegean Sea | ♀ | 142 | 13.49 ± 1.16 | 20.29 ± 5.7 | 0.009 | 2.95 | 0.76 | 0.14 | 2.67–3.22 | A− | Erdoğan et al. (2025) |
| ♂ | 36 | 12.71 ±0.99 | 16.13 ±4.47 | 0.006 | 3.12 | 0.83 | 0.27 | 2.59–3.67 | I | ||
| C | 178 | 13.33 ± 1.17 | 16.13 ±4.47 | 0.007 | 3.04 | 0.78 | 0.12 | 2.80–3.31 | A− | ||
| Aegean Sea | ♀ | 194 | 13.1 ±0.08 | 16.3 ±0.34 | 0.0092 | 2.887 | 0.81 | 0.055 | 2.779–2.994 | I | This study |
| ♂ | 253 | 12.93 ±0.07 | 15.24 ±0.28 | 0.0093 | 2.892 | 0.85 | 0.087 | 2.721–3.063 | A− | ||
| C | 662 | 12.85 ±0.04 | 15.06 ±0.16 | 0.0089 | 2.897 | 0.82 | 0.087 | 2.725–3.068 | A− | ||
| Marmara Sea | ♀ | 243 | 12.48 ±0.06 | 13.79 ±0.21 | 0.0091 | 2.885 | 0.82 | 0.089 | 2.627–2.978 | A− | |
| ♂ | 217 | 12.48 ±0.07 | 13.77 ±0.23 | 0.0092 | 2.883 | 0.82 | 0.101 | 2.558–2.955 | A− | ||
| C | 656 | 12.44 ±0.04 | 13.48 ±0.13 | 0.0094 | 2.872 | 0.82 | 0.055 | 2.734–2.950 | A− |
A, allometric growth; C, all individuals; I, isometric growth; LWR, length–weight relationship; Max, maximum; Min, minimum; N, number of individuals; Se, standard error; TL, total length; W, total weight.
♀: Female, ♂: Male,
Fork length.
The GSI and Kn differences per area of European pilchard are summarized in Table 3. Independent samples t-tests revealed no significant differences in GSI values between females and males in the Marmara Sea and the Aegean Sea. Furthermore, no significant differences in GSI were detected comparing regions for females (F:2.916, t:0.493, p > 0.05) and males (F:4.524, t:0.827, p > 0.05). Independent samples t-tests found no significant difference in Kn between sexes in both regions. Similarly, no significant differences in Kn were detected between the Marmara Sea and the Aegean Sea in terms of females (F:2.068, t:2.538, p > 0.05) and males (F:0.004, t:2.043, p > 0.05).
The Kn and GSI differences of European pilchard in the Marmara Sea and the Aegean Sea.
| Area | Sex | Min | Max | Mean ± se | p | |
|---|---|---|---|---|---|---|
| Kn | Marmara Sea | ♀ | 0.758 (October) | 1.106 (January) | 0.961 ± 0.024 | F:1.866 |
| ♂ | 0.760 (October) | 1.176 (January) | 0.959 ± 0.027 | |||
| C | 0.762 (October) | 1.140 (January) | 0.959 ± 0.025 | |||
| Aegean Sea | ♀ | 0.634 (December) | 0.965 (May) | 0.855 ± 0.032 | F:0.038 | |
| ♂ | 0.692 (December) | 0.975 (May) | 0.882 ± 0.024 | |||
| C | 0.693 (December) | 0.980 (May) | 0.890 ± 0.025 | |||
| GSI | Marmara Sea | ♀ | 0.145 (August) | 4.963 (February) | 1.929 ± 0.567 | F:3.184 |
| ♂ | 0.147 (July) | 3.779 (February) | 1.423 ± 0.411 | |||
| C | 0.153 (August) | 4.659 (February) | 1.747 ± 0.510 | |||
| Aegean Sea | ♀ | 0.100 (July) | 4.0110 (March) | 1.568 ± 0.413 | F:5.02 | |
| ♂ | 0.097 (July) | 2.479 (January) | 1.146 ± 0.282 | |||
| C | 0.099 (July) | 2.956 (April) | 1.360 ± 0.340 |
C, all individuals; GSI, gonadosomatic index; Kn, condition factor; Max, maximum, Min, minimum, p, significant differences; Se: standard error. ♀: Female, ♂: Male.
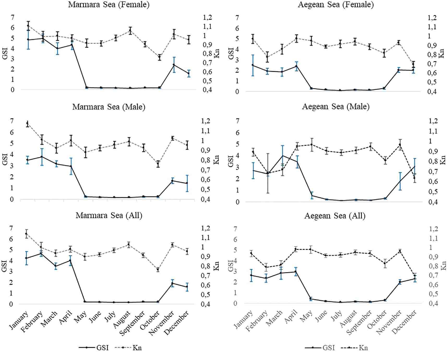
The monthly sexual maturity stages are presented in Fig. 2. In addition, monthly trends in Kn, GSI with confidence intervals (Cl) are presented in Fig. 3. The sexual maturity stages, GSI, and Kn values for European pilchard were evaluated together. The reproductive period extended from November to April, with peak spawning occurring in February. The resting time of the species was from May to October in both areas (Table 4).

Monthly sexual maturity stages of European pilchard in the Marmara Sea and the Aegean Sea.

Monthly trends in Kn, GSI with Cl of European pilchard in the Marmara Sea and the Aegean Sea. Cl, confidence intervals; GSI, gonadosomatic index; Kn, condition factor.
The spawning period and first maturity length of European pilchard with previous studies.
| Area | Spawning period | Spawning period peak | First maturity size (cm) | Sampling method | References |
|---|---|---|---|---|---|
| Edremit Bay, Aegean Sea | September–May | December, January, February | 11.3 (♀) | Purse seine | Cihangir (1991) |
| Izmir Bay, Aegean Sea | 12.2 (♀) | ||||
| Büyük Menderes Delta, Aegean Sea | 12.2 (♀) | ||||
| Marmara Sea | November–May | − | − | Purse seine | Kocakaplan (1998) |
| Edremit Bay, Aegean Sea | October–March | − | − | Plankton | Türker (1998) |
| Edremit Bay, Aegean Sea | October–May | December, January, February | 12.0* C | Commercial fishermen | Gıcılı (2007) |
| Adriatic Sea, Croatia | − | − | 7.9 C | Beach seine | Sinovčić et al. (2008) |
| Edremit Bay, Aegean Sea | September–May | February | − | Purse seine | Erdoğan et al. (2010) |
| Adriatic Sea, Croatia | October–May | − | − | Purse seine | Mustač and Sinovčić (2010) |
| Mediterranean Sea, Morocco | January–April | − | 13.29 C | Vessel | Keznine et al. (2020) |
| Mediterranean Sea | October–April | − | 11.37 (♀) | Purse seine | Tsikliras and Koutrakis (2013) |
| Mediterranean Sea | September–March | − | 10.8 (♀) | Purse seine, trawl | Basilone et al. (2023) |
| Kuşadası Bay, Aegean Sea | Winter | − | − | Commercial fishermen | Keskin and Gürkan (2023) |
| Izmir Bay, Aegean Sea | − | − | |||
| Saros Bay, Aegean Sea | September–May | February | − | Commercial fishermen | Cengiz et al. (2024) |
| Aegean Sea | November–April | February | 13.62 (♀) | Purse seine, gillnet | This study |
| Marmara Sea | 12.76 (♀) |
C, all individuals.
♀: Female, ♂: Male,
Fork length.
The length at first maturity of European pilchard males in the Aegean Sea was estimated at 13.62 cm (95% CI: 13.15–14.08 cm) for females and, 12.95 cm (95% CI: 12.6–13.2 cm) for. In the Marmara Sea, corresponding values were 12.76 cm (95% CI: 11.55–13.97 cm) for females and, 11.96 cm (95% CI: 9.44–14.46 cm) for males (Table 4).
When European pilchard specimens caught by two types of fishing gear were compared between the two study areas, notable differences were observed. In the Aegean Sea, individuals sampled with purse seines exhibited a slightly higher mean TL and W than those sampled with gillnets. Conversely, gillnet samples had a marginally higher mean TL and W compared to purse seine samples in the Marmara Sea. Several factors may explain these differences. One possible reason could be fisheries regulations in Türkiye. The use of light is permitted in purse seine fisheries in the Aegean Sea, while it is prohibited in the Marmara Sea (GDFA, 2024; Tosunoglu et al., 2021). Another reason could be the use of a sieve system in the Aegean Sea for purse seine fisheries (Düzbastilar et al., 2022). Although purse seines are generally expected to capture smaller individuals, the sieve system allows these small individual fish to be released back into the sea. Additionally, purse seines are less selective than gillnets due to their smaller mesh sizes (Şenbahar et al., 2020). The present study showed that purse seines used smaller mesh sizes than gillnets when targeting European pilchard.
The predominant TL group of European pilchard was 12–12.9 cm in both areas and with both fishing gears. The mean TL and W values were higher in the Aegean Sea than in the Marmara Sea. These values are generally comparable to those reported in previous studies conducted in both regions (Table 2). Where smaller length measurements were reported historically (Taylan et al., 2019; Erdoğan et al., 2010; Gıcılı, 2007; Özaydın & Taskavak, 2006), these differences are primarily attributable to the use of fork length measurement in those studies. Observed differences among studies may be related to sampling method, stock structure, and sample size.
The exponent b value typically approximates 3, but varies between 2.5 and 3.5 in different species (Tesch, 1971). In this study, LWR estimates generally yielded b values below 3 for both sexes in the two regions, reflecting predominantly negative allometric growth, except for females from the Aegean Sea. This suggests that this species grows faster in length than in weight (Karachle & Stergiou, 2012). Similar growth type supporting the prevalence of negative allometric growth in European pilchard populations was identified in recent studies conducted in Edremit Bay (Erdoğan et al., 2010), males in Greece (Tsikliras & Koutrakis, 2013), Izmir Bay and Kuşadasi Bay (Keskin & Gürkan, 2023), Izmir Bay (Şenbahar et al., 2020), and females and all individuals in Edremit Bay in the Aegean Sea (Erdoğan et al., 2025). Conversely, positive allometric growth was found in females in Greece (Tsikliras & Koutrakis, 2013), all individuals in Izmir Bay, Aegean Sea (Acarli et al., 2014), all individuals in the Adriatic Sea (Mustać et al., 2020), and males and females in the Egyptian Mediterranean coastline (Badreldin et al., 2025). In addition, isometric growth was reported for males in Edremit Bay in the Aegean Sea (Erdoğan et al., 2025). These variations in growth type may be related to sampling time, sampling method, sampling area, food scarcity, or interspecific competition with other planktivorous species (Schemmel et al., 2022). The coefficient of determination (R2) was higher for females, males, and all individuals in both areas, indicating a strong statistical fit for the LWR across all groups.
Hanson et al. (2008) emphasized that sex-biased patterns in fish populations can provide important insights for fisheries management and conservation. In the present study, sex ratio analysis indicated a male-biased structure in the Aegean Sea population of European pilchard, whereas no significant deviation from a 1:1 ratio was observed in the Marmara Sea. Similar spatial variability in sex ratio has been reported in previous studies from different regions of the Mediterranean and adjacent seas. Male dominance has been documented in Edremit Bay and other parts of the Aegean Sea (Erdoğan et al., 2010; Gıcılı, 2007; Taylan et al., 2019), while female-biased or near-balanced ratios have been reported from Izmir Bay, Kuşadası Bay, the Black Sea, and the Adriatic Sea (Dalgıç & Ceylan, 2012; Keskin & Gürkan, 2023; Mustač & Sinovčić, 2010; Sinovčić et al., 2008). The sex ratio differences between areas may be related to sampling time, sampling area, spawning behavior, migration patterns, mortality rates, and habitat preferences (Hanson et al., 2008).
The current study and previous studies showed that the spawning period for European pilchard is generally at the beginning of autumn and continues until mid-spring in different areas (Table 4). However, the spawning period may vary among regions or shift over time in response to some environmental and ecosystem changes (Fincham et al., 2013; Petitgas et al., 2013). In the current study, the spawning period occurred between November and April, and peaked in February in the Marmara Sea and Aegean Sea. Ichthyoplankton sampling conducted after the mucilage event reported that the spawning of European pilchard occurs from October to May, and peaks in December and January in the Marmara Sea (Daban et al., 2024). While February was frequently cited as the peak spawning month in Edremit Bay and Saros Bay (Cengiz et al., 2024; Erdoğan et al., 2010), previous studies in the broader Aegean Sea reported an extended peak period spanning December to February (Cihangir, 1991; Gıcılı, 2007).
Available data on the length at first maturity of European pilchard indicate considerable variability with values ranging from a minimum of 7.9 cm in the Adriatic Sea, Croatia to a maximum of 13.29 cm in the west Mediterranean Sea, Morocco (Table 4). The length at first maturity of this species in the Adriatic Sea was reported as 7.9 cm, which may be influenced by the capture of small-sized individuals using beach seine nets in coastal areas (Sinovčić et al., 2008). The length at first maturity was found to be greater for females than males in both areas, with generally higher values in the Aegean Sea compared to the Marmara Sea. The minimum landing size (MLS) of European pilchard is 11 cm according to current Türkiye fishing regulations (GDFA, 2024). The length at first maturity of the species was found to be more than 11 cm MLS in the current study and in previous studies conducted in the Aegean Sea (Cihangir, 1991; Gıcılı, 2007).
This study provides the first estimation of length at first maturity for European pilchard in the Marmara Sea. Only 24 individuals (3.7%) in the Marmara Sea and two individuals (0.3%) in the Aegean Sea were below the MLS. Although the current MLS suggests limited fishing pressure, the catch amounts during the spawning period are very important for the sustainability of the fisheries of this species. Furthermore, MLS can be increased to 12 cm in Türkiye according to the results of this study.
The present study provides current insights into the fisheries and reproductive biology of European pilchard in the southwest Marmara Sea and northern Aegean Sea, Türkiye. The findings reveal regional differences in key biological parameters, including TL, W, sex ratio, growth type, spawning period, and length at first maturity. In addition, significant differences in TL and W were observed between individuals sampled by purse seine and gillnet in the Aegean Sea. The length at first maturity of this species in the Marmara Sea was estimated for the first time in this study, and found to be higher in the Aegean Sea compared to the Marmara Sea. As this value was close to 12 cm in both areas and the dominant length group exceeded 12 cm, an increase of the MLS for European pilchard to 12 cm could be considered within Turkish fishing regulations. Additionally, length-based management alone may be insufficient to ensure the effective conservation, as its peak spawning period coincides with the most intensive purse seine fishing season. Therefore, implementing a seasonal restriction on purse seine fishing targeting this species during its peak reproductive period may represent an effective conservation measure. These results are essential for providing valuable insights to support strategic, region-specific stock assessment and management strategies, which are critical to ensure the sustainability of the European pilchard fishery within the dynamically changing marine ecosystems of Türkiye.