Figure 1

Figure 2

Figure 3

Figure 4

Figure 5

Figure 6

Shellfish spat of economic value on the surface collector
| P. radiata | O. edulis | A. inaequvalvis | M. varia | M. barbatus | C. tuberculatum | |
|---|---|---|---|---|---|---|
| Sep | 11.00 ± 2.00 | 0 | 0 | 0 | 0 | 0 |
| Oct | 291.00 ± 9.00 | 2.00 ± 1.00 | 48.00 ± 14.00 | 0 | 1.00 | 0 |
| Nov | 189.00 ± 21.00 | 7.00 ± 2.00 | 3.00 ± 2.00 | 0 | 0 | 0 |
| Dec | 160.00 ± 40.00 | 6.00 ± 5.00 | 11.00 ± 6.00 | 15.00 ± 10.00 | 1.33 ± 0.57 | 4.00 ± 2.00 |
| Jan | 153.00 ± 2.00 | 9.00 ± 4.00 | 71.00 ± 30.00 | 1.33 ± 0.57 | 1.33 ± 0.57 | 1.00 |
| Feb | 205.00 ± 10.00 | 23.00 ± 10.00 | 98.00 ± 30.00 | 4.00 ± 2.00 | 0 | 3.00 ± 2.00 |
| Mar | 166.00 ± 20.00 | 32.33 ± 20.00 | 26.00 ± 3.00 | 0 | 1.33 ± 0.57 | 0 |
| Apr | 112.00 ± 30.00 | 9.00 ± 8.00 | 1.33 ± 0.57 | 1.00 | 0 | 0 |
| May | 220.00 ± 12.00 | 65.00 ± 4.00 | 14.33 ± 10.01 | 8.00 ± 4.00 | 1.33 ± 0.57 | 0 |
| Jun | 180.00 ± 20.00 | 43.00 ± 30.04 | 5.00 ± 2.00 | 4.00 ± 3.00 | 1.00 | 0 |
| Jul | 210.00 ± 4.00 | 35.33 ± 7.50 | 3.00 ± 2.00 | 2.00 ± 1.00 | 1.00 | 0 |
| Aug | 250.00 ± 22.00 | 32.00 ± 6.00 | 2.00 ± 1.00 | 1.00 | 1.00 | 0 |
Shellfish spat of economic value on the bottom collector
| P.radiata | O. edulis | A. inaequvalvis | M. varia | M. barbatus | C. tuberculatum | |
|---|---|---|---|---|---|---|
| Sep | 19.00 ± 4.00 | 0 | 0 | 0 | 0 | 0 |
| Oct | 103.33 ± 22.54 | 2.00 ± 1.00 | 9.33 ± 3.51 | 0 | 0 | 0 |
| Nov | 182.33 ± 16.25 | 19.00 ± 4.00 | 6.33 ± 2.51 | 1.00 | 0 | 0 |
| Dec | 140.00 ± 20.00 | 3.00 ± 1.00 | 3.66 ± 2.08 | 21.66 ± 5.03 | 0 | 3.00 ± 2.00 |
| Jan | 110.00 ± 5.00 | 39.00 ± 9.00 | 4.33 ± 2.30 | 0 | 0 | 1.00 |
| Feb | 123.00 ± 10.00 | 16.66 ± 6.50 | 3.33 ± 1.52 | 0 | 0 | 0 |
| Mar | 50.00 ± 12.00 | 10.66 ± 5.50 | 9.66 ± 6.02 | 0 | 1.00 | 0 |
| Apr | 16.00 ± 10.00 | 11.33 ± 6.02 | 0 | 0 | 0 | 0 |
| May | 24.00 ± 10.00 | 5.66 ± 2.08 | 0 | 0 | 2.00 ± 1.00 | 1.00 |
| Jun | 49.00 ± 4.00 | 11.33 ± 5.50 | 0 | 0 | 0 | 2.00 ± 1.00 |
| Jul | 110.00 ± 8.00 | 10.66 ± 6.02 | 0 | 0 | 0 | 1.00 |
| Aug | 159.00 ± 20.00 | 9.33 ± 5.50 | 0 | 0 | 0 | 1.00 |
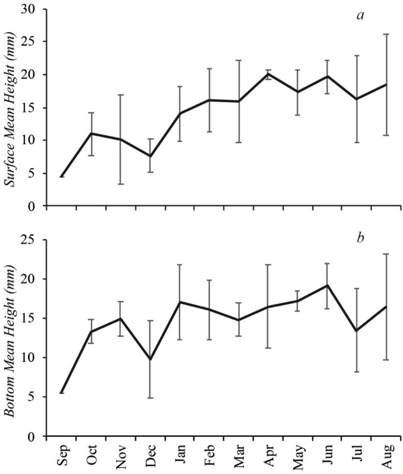
Height range of the smooth scallop on the surface collector P_S: (spat number ± SD)
| Surface | n (spat m ± Sd) | Height Range (mm) | <10 mm (%) | 10–20 mm (%) | >20 mm (%) |
|---|---|---|---|---|---|
| Sep | 1.33±0.57 | 4.50 | 100 | 0 | 0 |
| Oct | 15.00±2.00 | 6.32–18.73 | 46.66 | 53.33 | 0 |
| Nov | 2.00±1.00 | 5.27–14.96 | 50.00 | 50.00 | 0 |
| Dec | 18.66±1.52 | 4.00–13.40 | 84.21 | 15.78 | 0 |
| Jan | 19.00±2.00 | 8.02–28.07 | 10.52 | 84.21 | 5.26 |
| Feb | 12.00±2.00 | 7.40–23.40 | 16.66 | 66.66 | 16.66 |
| Mar | 13.00±2.00 | 10.19–34.48 | 0 | 92.30 | 7.69 |
| Apr | 2.66±2.08 | 19.50–20.50 | 0 | 50.00 | 50.00 |
| May | 6.33±3.05 | 13.00–22.20 | 0 | 66.66 | 33.33 |
| Jun | 4.00±2.00 | 17.00–22.20 | 0 | 50.00 | 50.00 |
| Jul | 12.00±4.58 | 8.60–25.60 | 33.33 | 25.00 | 41.67 |
| Aug | 20.00±3.00 | 8.50–28.90 | 30.00 | 20.00 | 50.00 |
Undesirable species on the bottom collector
| Ae | Ms | Li | Pl | Ph | Ml | Bs | Sc | |
|---|---|---|---|---|---|---|---|---|
| Sep | 6.33 ± 1.52 | 0 | 4.33 ± 1.52 | 0 | 0 | 0 | 0 | 0 |
| Oct | 81.33 ± 16.92 | 0 | 14.33 ± 8.08 | 7.33 ± 2.51 | 4.66 ± 2.08 | 0 | 0 | 0 |
| Nov | 276.66 ± 70.23 | 0 | 6.66 ± 2.08 | 2.00 ± 0.00 | 3.66 ± 2.08 | 0 | 0 | 0 |
| Dec | 21.00 ± 7.54 | 0 | 0 | 3.00 ± 1.00 | 4.33 ± 1.52 | 1.00 ± 0.00 | 0 | 0 |
| Jan | 253.33 ± 83.57 | 3.00 ± 2.00 | 5.66 ± 3.05 | 7.66 ± 2.08 | 1.00 ± 0.00 | 0 | 0 | 5.33 ± 3.51 |
| Feb | 35.00 ± 8.54 | 3.00 ± 2.00 | 0 | 3.33 ± 0.57 | 0 | 0 | 0 | 4.33 ± 1.52 |
| Mar | 187.33 ± 26.57 | 0 | 29.66 ± 7.63 | 1.00 ± 0.00 | 3.00 ± 1.00 | 0 | 0 | 0 |
| Apr | 9.66 ± 3.05 | 0 | 7.33 ± 2.51 | 1.00 ± 0.00 | 3.00 ± 1.00 | 0 | 0 | 0 |
| May | 0 | 0 | 11.33 ± 5.50 | 4.33 ± 2.51 | 4.66 ± 0.57 | 0 | 0 | 0 |
| Jun | 0 | 0 | 16.00 ± 8.54 | 5.66 ± 2.08 | 7.00 ± 1.00 | 0 | 0 | 3.66 ± 1.15 |
| Jul | 0 | 0 | 10.33 ± 8.08 | 6.00 ± 3.00 | 5.33 ± 1.52 | 0 | 0 | 1.33 ± 0.57 |
| Aug | 0 | 0 | 6.33 ± 3.05 | 3.66 ± 1.15 | 4.33 ± 0.57 | 0 | 0 | 1.33 ± 0.57 |
Studies on the collection of F_ glaber spat Location
| Location | Species | Temperature (°C) | Salinity (PSU) | Spat m−2 | Author(s) |
|---|---|---|---|---|---|
| Gulf of Taranto (The Mediterranean, Italy) | F. glaber | 12–27 | 37–38 | 181 | Prato et al. 2016 |
| Amvrakikos Gulf (Ionian Sea, Greece) | 18–29 | 22–32 | 31 | Tsotsios et al. 2016 | |
| Izmir Bay (Karantina Island, Aegean Sea, Türkiye) | 12.5–27 | 36–36.5 | 160 | Yigitkurt et al. 2017 | |
| Izmir Bay (Özbek Coast, The Aegean Sea, Türkiye) | 12–28.4 | 35.1–37.5 | 270 | This study | |
| Izmir Bay (The Aegean Sea, Türkiye) | 12–28.4 | 35.1–37.5 | 145 (Bottom) | This study | |
| Izmir Bay (The Aegean Sea, Türkiye) | 12–28.4 | 35.1–37.5 | 124 (Surface) | This study |
Height range of the smooth scallop on the bottom collector
| Bottom | n (spat m ± Sd) | Height Range (mm) | <10 mm (%) | 10 – 20 mm (%) | >20 mm (%) |
|---|---|---|---|---|---|
| Sep | 1.00 | 5.50 | 100 | 0 | 0 |
| Oct | 6.00 ± 3.00 | 11.16 – 15.47 | 0 | 100 | 0 |
| Nov | 9.00 ± 4.00 | 11.31 – 19.51 | 0 | 100 | 0 |
| Dec | 3.00 | 6.60 – 15.40 | 66.66 | 33.33 | 0 |
| Jan | 10.00 ± 1.00 | 12.43 – 28.56 | 0 | 80.00 | 20.00 |
| Feb | 8.00 | 9.99 – 22.66 | 0 | 87.50 | 12.50 |
| Mar | 19.00 ± 4.00 | 10.14 – 18.69 | 0 | 100 | 0 |
| Apr | 44.66 ± 1.26 | 7.40 – 35.40 | 6.66 | 82.22 | 11.11 |
| May | 5.00 ± 3.00 | 15.70 – 18.60 | 0 | 100 | 0 |
| Jun | 14.33 ± 0.57 | 15.60 – 23.50 | 0 | 64.28 | 35.71 |
| Jul | 12.33 ± 0.57 | 7.60 – 24.60 | 33.33 | 50 | 16.66 |
| Aug | 13.33 ± 0.57 | 8.40 – 28.90 | 23.08 | 30.76 | 46.15 |
Undesirable species on the surface collector
| Ae | Ms | Li | Pl | Ph | Ml | Bs | Sc | |
|---|---|---|---|---|---|---|---|---|
| Sep | 13.00 ± 8.00 | 0 | 0 | 0 | 0 | 0 | 1.00 ± 0.00 | 0 |
| Oct | 226.33 ± 100.59 | 1.00 ± 0.00 | 0 | 13.00 ± 4.00 | 2.33 ± 0.57 | 0 | 0 | 0 |
| Nov | 313.33 ± 100.16 | 2.00 ± 1.00 | 0 | 7.00 ± 4.00 | 2.00 ± 1.00 | 0 | 0 | 0 |
| Dec | 25.00 ± 3.00 | 1.00 ± 0.00 | 0 | 5.00 ± 4.00 | 7.00 ± 2.00 | 0 | 3.00 ± 2.00 | 0 |
| Jan | 240.00 ± 25.00 | 4.00 ± 1.00 | 0 | 2.33 ± 0.57 | 1.33 ± 0.57 | 0 | 0 | 0 |
| Feb | 457.00 ± 45.13 | 10.00 ± 2.00 | 0 | 2.00 ± 1.00 | 1.33 ± 0.57 | 0 | 0 | 0 |
| Mar | 534.00 ± 50.02 | 1.33 ± 0.52 | 0 | 2.66 ± 0.57 | 0 | 0 | 0 | 0 |
| Apr | 33.00 ± 10.00 | 0 | 2.00 ± 1.00 | 1.00 ± 0.00 | 2.33 ± 0.57 | 0 | 0 | 0 |
| May | 270.00 ± 100.00 | 0 | 1.00 ± 0.00 | 5.33 ± 2.51 | 3.33 ± 0.57 | 0 | 0 | 0 |
| Jun | 150.00 ± 25.00 | 0 | 1.00 ± 0.00 | 3.00 ± 2.00 | 3.33 ± 0.57 | 0 | 0 | 0 |
| Jul | 89.00 ± 10.00 | 0 | 1.33 ± 0.57 | 4.00 ± 3.00 | 2.00 ± 1.00 | 0 | 0 | 0 |
| Aug | 110.00 ± 15.00 | 0 | 1.00 ± 0.00 | 2.66 ± 0.57 | 2.00 ± 0.00 | 0 | 0 | 0 |