Figure 1.

Figure 2.

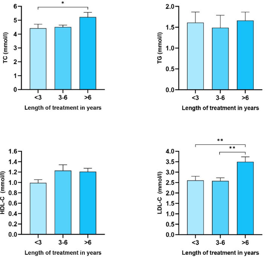
Figure 3.




© 2025 Nemanja Djordjevic, Sofija Sekulic Markovic, Natasa Minic, Dusica Petrovic Rodic, Biljana Popovska Jovicic, published by University of Kragujevac, Faculty of Medical Sciences
This work is licensed under the Creative Commons Attribution-NonCommercial-NoDerivatives 4.0 License.